Литмир - Электронная Библиотека
Содержание  
A
A

Таблица 6.21

Пусковые жидкости

Справочник по строительству и реконструкции линий электропередачи напряжением 0,4–750 кВ - i_535.png

Таблица 6.22

Амортизационные жидкости

Справочник по строительству и реконструкции линий электропередачи напряжением 0,4–750 кВ - i_536.png

6.2. КОМПЛЕКТУЮЩИЕ ИЗДЕЛИЯ

6.2.1. Рукава

Рукава резиновые напорно-всасывающие (ГОСТ 5398—76*) предназначены для всасывания и нагнетания различных газов и жидкостей; по назначению их подразделяют на пять классов: Б – для керосина, бензина, дизельных и реактивных топлив, мазута, нефти, масел на нефтяной основе; В – для технической воды; Г – для воздуха, углекислого газа, азота, инертных газов; Кщ – для слабых растворов кислот и щелочей; П – для пищевых жидкостей.

Температура работоспособности рукавов в районах с умеренным климатом (от —35 до +90 °C), тропическим (от—10 до +90 °C) и холодным (для класса Б от —50 до +90 °C и для классов В, Г, Кщ и П от —50 до +70 °C). Рукава всех классов изготавливают двух групп: 1 – всасывающие и 2 – напорно-всасывающие, рассчитанные на давление 0,3; 0,5 и 1 МПа и рабочий вакуум 80 МПа с внутренними диаметрами 16, 20, 25, 32, 38, 50, 65, 75, 100, 125, 160, 175, 180, 200, 250, 275,

300 и 325 мм и длиной 2, 3, 4, 6, 9 и 10 м при длине манжет 75, 85, 100, 150 и 200 мм.

Рукава резиновые напорные с текстильным каркасом (ГОСТ 18698—79*) используют в качестве гибких трубопроводов для подачи под давлением жидкостей, насыщенного пара, газов и сыпучих материалов в районах с умеренным, тропическим и холодным климатом (при температуре до —50 °C). По назначению рукава подразделяют по видам перемещаемых веществ на семь классов: Б – для керосина, бензина, минеральных масел при рабочем давлении 0,1–0,25; 0,63; 1,6 и 2 МПа; В – для технической воды и слабых растворов щелочей и неорганических кислот, кроме азотной, при тех же давлениях; ВГ – для горячей воды до 100 °C при давлении до 0,1 МПа; Г – для воздуха, углекислого газа, азота и других инертных газов при давлении до 0,1 МПа; П – для пищевых веществ; Ш – для абразивных материалов (песка) и водных растворов для штукатурных работ; Пар – для насыщенного пара до 143 °C при давлении до 0,3 МПа; для насыщенного пара до 175 °C при давлении до 0,8 МПа. Рукава выпускают диаметром (внутренним): 9; 10; 12,5; 16; 18; 20; 25; 31,5; 38; 40; 50; 63; 65; 75; 80; 100; 125; 150; 160; 200 мм с известными ограничениями для отдельных классов и рабочих давлений.

Рукава резиновые напорные неармированные (ГОСТ 10362—76*) применяют в качестве гибких трубопроводов для подачи под давлением воздуха, инертных газов и жидкостей. Рукава для подачи жидкостей изготавливают диаметром (внутренним): 4; 5; 6; 6,3; 8; 10; 12; 12,5; 14; 16; 18; 20; 25; 31,5; 32; 38; 40; 50; 63; 80 и 100 мм на давление до 0,25; 0,4; 0,63; 1; 1,6; 2,5; 6,3 и 10 МПа; для газообразных сред – диаметром 4; 5; 6,3; 8; 10; 12,5; 16; 20 и 25 мм на давление 0,63; 1; 1,6; 2,5 МПа. Длина рукавов диаметром 4 мм – 2000 мм, 5—16 мм – 10 000 мм и свыше 16 мм – 20 000 мм.

Рукава для газовой сварки и резки (ГОСТ 9356—75*) делятся на три класса: I – для ацетилена, городского газа, пропана и бутана, под давлением до 0,63 МПа, красного цвета; II – для бензина, бензина-растворителя, керосина и их смеси, до 0,63 МПа, желтого цвета; III – для кислорода, до 2 МПа, синего цвета. Рукава изготавливают внутренним диаметром 6,3; 8; 9; 10; 12; 12,5; 16 мм с нитяным каркасом из резин для районов с умеренным, тропическим и холодным климатом.

Рукава резиновые высокого давления с металлическими оплетками неармированные (ГОСТ 6286—73*) в зависимости от разрывного усилия применяемой проволоки изготавливают трех групп: А – проволока с разрывным усилием не менее147 Н; Б – с разрывным усилием не менее 175 Н; В – не менее 200 Н. Рукава каждой группы выпускают двух типов: I – с одной, II – с двумя оплетками. Рукава изготавливают различных диаметров, рассчитанные на рабочее статическое давление от 3 до 50 МПа. Характеристики рукавов приведены в табл. 6.23 и 6.24.

Таблица 6.23

Размеры резиновых рукавов высокого давления с металлическими оплетками неармированных (ГОСТ 6286—73*)

Справочник по строительству и реконструкции линий электропередачи напряжением 0,4–750 кВ - i_537.png

Таблица 6.24

Максимальное рабочее статическое давление, МПа, в рукавах высокого давления с металлическими оплетками неармированных (ГОСТ 6286—73*)

Справочник по строительству и реконструкции линий электропередачи напряжением 0,4–750 кВ - i_538.png

6.2.2. Шины пневматические

По устройству пневматические шины делятся на диагональные и радиальные (R), последние, в свою очередь, на камерные и бескамерные.

Для автомобилей и машин специального назначения применяются шины широкопрофильные с регулируемым давлением воздуха. Шины обычного профиля в подавляющем большинстве имеют двойное обозначение (в дюймах и миллиметрах), широкопрофильные – в миллиметрах.

Примеры условного обозначения шин:

обычного профиля —8,25R20(240R508) или 8,25–20 (240–508), где 8,25 – ширина профиля шины, дюйм; 20 – посадочный диаметр, дюйм; 240 – ширина профиля шины, мм; 508 – посадочный диаметр, мм; R – радиальные;

широкопрофильная шина 1300x530—533, где 1300 – условный наружный диаметр; 530 – условная ширина профиля; 533 – условный диаметр обода.

Технические характеристики шин пневматических, применяемых для автомобильного транспорта и строительно-дорожных машин, приведены в табл. 6.25—6.28.

Таблица 6.25

Шины пневматические для грузовых автомобилей и автоприцепов (ГОСТ 5513-97)

Справочник по строительству и реконструкции линий электропередачи напряжением 0,4–750 кВ - i_539.png
Справочник по строительству и реконструкции линий электропередачи напряжением 0,4–750 кВ - i_540.png

Таблица 6.26

Шины пневматические для строительных, дорожных, подъемно-транспортных и рудничных машин (ГОСТ 8430–2003)

Справочник по строительству и реконструкции линий электропередачи напряжением 0,4–750 кВ - i_541.png
Справочник по строительству и реконструкции линий электропередачи напряжением 0,4–750 кВ - i_542.png

Примечания. 1. Шины с дорожным рисунком протектора предназначены для эксплуатации на дорогах с усовершенствованным покрытием I, II, III категорий.

2. Шины с рисунком протектора повышенной проходимости предназначены для эксплуатации в условиях бездорожья и на мягких грунтах.

3. Шины с карьерным рисунком протектора предназначены для эксплуатации в карьерах, рудниках и шахтах.

Таблица 6.27

Шины пневматические для тракторов (ГОСТ 7463–2003)

Справочник по строительству и реконструкции линий электропередачи напряжением 0,4–750 кВ - i_543.png
Справочник по строительству и реконструкции линий электропередачи напряжением 0,4–750 кВ - i_544.png

Таблица 6.28

Гарантийная эксплуатация и наработка шин в пределах гарантийного срока (ГОСТ 8430–2003)

Справочник по строительству и реконструкции линий электропередачи напряжением 0,4–750 кВ - i_545.png

6.2.3. Аккумуляторные батареи

Технические характеристики стартерных аккумуляторных батарей приведены в табл. 6.29.

Таблица 6.29 Стартерные аккумуляторные батареи (ГОСТ 959—2002)

Справочник по строительству и реконструкции линий электропередачи напряжением 0,4–750 кВ - i_546.png

* Масса с электролитом; остальные данные для батарей без электролита.

6.2.4. Канаты

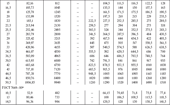
На монтаже опор во всех ответственных элементах такелажа применяются стальные канаты (табл. 6.30).

Таблица 6.30

Стальные канаты

Справочник по строительству и реконструкции линий электропередачи напряжением 0,4–750 кВ - i_547.png
Справочник по строительству и реконструкции линий электропередачи напряжением 0,4–750 кВ - i_548.png
Справочник по строительству и реконструкции линий электропередачи напряжением 0,4–750 кВ - i_549.png
Справочник по строительству и реконструкции линий электропередачи напряжением 0,4–750 кВ - i_550.png
Справочник по строительству и реконструкции линий электропередачи напряжением 0,4–750 кВ - i_551.png

Канаты типа ТК (с точечным касанием), имеющие одну органическую сердцевину следующих видов, различающихся по числу проволок в прядях.

47
{"b":"117380","o":1}