Литмир - Электронная Библиотека
Содержание  
A
A

Как правило, опоры должны собираться около фундамента с одновременным креплением основания опоры к фундаменту шарнирами, с помощью которых производится подъем опоры. Выкладку опоры осуществляют на деревянных подкладках высотой не менее 30 см. Подкладки устанавливают под стыками опор.

Сборку болтовых опор, если они поступили в разобранном виде, осуществляют двумя методами:

1) сначала собирают нижнюю плоскость стойки, начиная от фундамента, затем в обратном порядке – посекционно три остальные плоскости. После окончательной сборки стойки отдельно собирают траверсы и крепят их к опоре. При наличии в конструкции опоры диафрагм плоскости опоры собирают в следующем порядке: на нижнюю плоскость устанавливают предварительно собранные элементы диафрагм, после чего к ним присоединяют поясной уголок и обрешетку боковой плоскости; аналогично собирают вторую боковую плоскость и, наконец, верхнюю обрешетку;

2) собирают две боковые плоскости секций, затем их устанавливают на ребро и расчаливают, после этого между боковыми плоскостями устанавливают диафрагмы и собирают нижнюю и верхнюю обрешетки. На собранную стойку крепят отдельно собранные траверсы и тросостойки.

Для укрупнительной сборки секций стальных промежуточных опор на оттяжках с параллельными поясами ВЛ 500 кВ и выше институтом «Оргэнергострой» разработан проект полигона. Полигон является передвижным быстромонтируемым и представляет собой комплект нестандартизированного оборудования, с помощью которого выполняется механизированная сборка секций опор. В комплект полигона входят грузоподъемные средства, кондукторы, кантователи, рольганги для подачи элементов секций на сборку и другое необходимое оборудование и инструменты. На полигоне имеются площадки для разгрузки и складирования элементов секций и собранных секций.

Технические характеристики полигона:

Производительность в смену опор 500 кВ, шт………… 2

Численность работающих в смену, чел………………….. 16

Наибольшая масса собираемых узлов, т:

секций………………………………………………………………. 2

траверс……………………………………………………………… 3

Установленная мощность полигона, кВт……………….. 27,9

Площадь полигона, м2…………………………………………… 27 х 44 = 1148

Масса металлоконструкций полигона, т……………….. 3,16

Монтаж стальных опор в зависимости от назначения, типа, высоты, условий монтажа, массы производится следующими методами: свободного монтажа стреловыми кранами, поворотом, наращивания и комбинированного монтажа (табл. 3.17).

Таблица 3.17

Оптимальная область применения методов монтажа стальных опор ВЛ

Справочник по строительству и реконструкции линий электропередачи напряжением 0,4–750 кВ - i_294.png
Справочник по строительству и реконструкции линий электропередачи напряжением 0,4–750 кВ - i_295.png

Строповку элементов стальных опор необходимо осуществлять в узлах соединения секций опоры. При монтаже опор методом поворота А-образную стрелу сначала устанавливают в вертикальное положение или с наклоном 5—15° в сторону подъема опоры.

Опорные части монтажной стрелы устанавливают в подготовленные приямки глубиной 30 см для предохранения ее при подъеме опоры от сдвига. Затем оголовок стрелы со стороны траверс опоры соединяют двумя тросами (вожжами) расчетной длины с опорой, а с другой стороны – тяговым тросом (тросами) или полиспастом (полиспастами) с тяговыми механизмами. Трос (тросы) к опоре крепят выше центра тяжести опоры на расстояние не менее чем 1,5 м.

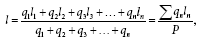
Центр тяжести опоры определяют следующим образом: опору разбивают на отдельные секции (рис. 3.2), имеющие простую геометрическую фигуру (треугольник, прямоугольник, трапеция). Расстояние от основания до центра тяжести опоры определяют по формуле

Справочник по строительству и реконструкции линий электропередачи напряжением 0,4–750 кВ - i_296.png

где q1, q2, q3….qk – масса секций;

L1,L2,L3….Lk – расстояния от центров тяжести секций до основания опоры;

Р – масса опоры.

Справочник по строительству и реконструкции линий электропередачи напряжением 0,4–750 кВ - i_297.png

Рис. 3.2.

Схема определения центра тяжести опоры

Центры тяжести отдельных секций определяют исходя из следующего:

центр тяжести треугольника находится на пересечении его медиан; расстояние от центра тяжести до основания равно 1/3 соответствующей высоты;

центр тяжести прямоугольника расположен в его геометрическом центре, и расстояние от него до основания равно половине высоты;

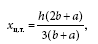
центр тяжести трапеции находят следующим образом – на продолжении меньшего основания трапеции откладывается отрезок, равный большему основанию, на продолжении большего основания с противоположной стороны трапеции откладывается отрезок, равный меньшему основанию, и концы отложенных отрезков соединяют прямой линией, пересечение которой с осью трапеции дает центр тяжести. Аналитически расстояние от основания трапеции до ее центра тяжести определяется по формуле

Справочник по строительству и реконструкции линий электропередачи напряжением 0,4–750 кВ - i_298.png

где h – высота трапеции;

а и b – соответственно большее и меньшее основания трапеции.

Тормозные и тяговые машины устанавливают от центра опоры на расстоянии от полутора до двух высот поднимаемой опоры. Высоту монтажной стрелы определяют расчетом, но она должна быть не меньше расстояния от шарнира до центра тяжести опоры.

Подъем собственно опоры производят после окончательной установки и выверки монтажной стрелы. Вначале отрывают опору от земли на расстояние 20–30 см и тщательно осматривают стрелы, опоры, такелаж и т. д. По окончании осмотра опору опускают и устраняют дефекты. При повторном подъеме на высоте 20–30 см от земли вторично проводят осмотр и при отсутствии дефектов опору устанавливают в проектное положение.

При прохождении центра тяжести опоры через вертикаль шарнира тяговый механизм (трактор) выключают и включают тормозной механизм (трактор). Окончательная установка опоры на анкерные болты происходит под собственным весом опоры, с удержанием ее от резкого «качка» тормозным механизмом. В некоторых случаях для предохранения от деформаций стойки опоры внизу связываются элементами, образующими временную жесткую диафрагму. В местах вязки тросов элементы опоры усиливают распорками из бревен. Окончательную выверку опоры в вертикальном положении производят с помощью металлических прокладок. Они должны иметь размеры пяты опоры. Общая высота прокладок под одну ногу опоры не должна превышать 40 мм.

Установка опор методом поворота с помощью крана (кранов) и тракторов производится аналогично способу монтажа стреловыми кранами. Функции монтажной стрелы выполняет стреловой кран, который должен соответствовать массе и габаритам опоры во избежание контакта элементов опоры со стрелой крана. Кран поднимает опору до отметки, когда ось опоры составляет с плоскостью земли угол в 35–40°. Далее включаются в работу тяговый и тормозной тракторы, а стреловой кран из работы выводится.

При использовании двух кранов для предварительного подъема опоры их располагают симметрично относительно оси опоры.

Опоры на оттяжках, опирающиеся на фундамент в одной точке (одностоечные, трехстоечные, V-образные) и не имеющие шарнира, устанавливают в вертикальное положение при помощи стрелового крана с подтаскиванием на санях опорной части стойки.

Установка опор методом наращивания осуществляется совместно с ее сборкой. При этом низ опоры собирают на земле и устанавливают на фундамент. Затем на установленные секции опоры крепят специальный ползучий кран, с помощью которого последовательно монтируются следующие секции опоры. По мере наращивания секций ползучий кран перемещается выше. Вместо ползучего крана в отдельных случаях применяется кран-стрела, также перемещающийся по мере наращивания секций вверх. Этот метод монтажа осуществляется в соответствии с проектом производства работ.

25
{"b":"117380","o":1}