Литмир - Электронная Библиотека
Содержание  
A
A

(y)|π(p

1

)⟩.

(27.9)

Квантовая хромодинамика: Введение в теорию кварков и глюонов - _46.jpg
Квантовая хромодинамика: Введение в теорию кварков и глюонов - _47.jpg
Квантовая хромодинамика: Введение в теорию кварков и глюонов - _48.jpg
Квантовая хромодинамика: Введение в теорию кварков и глюонов - _49.jpg
Квантовая хромодинамика: Введение в теорию кварков и глюонов - _50.jpg

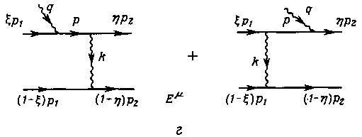
Рис. 24. Диаграммы, описывающие эксклюзивные процессы (а — г — пионный формфактор).

Различные комбинации порождают диаграммы рис. 24, а и б. Члены, соответствующие диаграммам рис. 24, а, опущены, так как они не дают вклада в конечный результат. Используя для обозначения цветовых индексов символы i, j, k, а в качестве дираковских индексов символы α, β и δ и опуская индекс 0, обозначающий свободные поля, вклад диаграммы рис. 24, б можно записать в виде

V

μ

(p

1

,p

2

)

=

-(2π)³g

2

∑∫

𝑑

4

x 𝑑

4

y

×

⟨π(p

2

)|

u

i

α

(0)

d

k'

δ'

(y)γ

μ

αα'

S

α'β

(-x)t

a

ii'

t

b

kk'

×

γ

ρ

ββ'

γ

σ

δδ'

D

ρσ

(x-y)δ

ab

u

i'

β'

(x)

d

k

δ

(y)|π(p

1

)⟩

+

"кросс"-член,

где "кросс" обозначает свертку с другой комбинацией индексов. Можно произвести пространственно-временной сдвиг на величину y. Тогда получаем z=x-y

V

μ

(p

1

,p

2

)

=

(2π)³g²

∑∫

𝑑4z

(2π)4

𝑑4y

(2π)4

𝑑

4

k

𝑑

4

p

×

e

iz⋅(p-k)

e

iy⋅(p+p2-p1)

×

⟨π(p

2

)|

u

i

α

(-y)d

k'

δ

(0)

 

F

|F⟩

⟨F|u

i

β'

(z)

d

k

δ

(0)|π(p

2

)⟩γ

μ

αα'

×

-pα'β

p²k²

γ

ρ

ββ'

γ

σ

δδ'

g

ρσ

t

c

ii'

t

c

kk'

+(p

1

↔p

2

),

где (p1↔p2) возникает из "кросс"-члена. Вклад калибровочных членов явно не выписан, так как в ведущем порядке теории возмущений он обращается в нуль. При получении последнего выражения введен полный набор состояний; в ведущем порядке вносят вклад только вакуумные состояния:

 

F

|F⟩⟨F|≃|0⟩⟨|+O(α

s

).

Глюонный пропагатор Dρσ использован в калибровке Ферми — Фейнмана, но результат (после добавления члена p1↔p2), конечно, является калибровочно-инвариантным. Далее в случае трех цветов (число цветов nc=3)

u

i

β'

(z)

d

k

δ

(0)

=

δik

4nc

λ

γ

5

)

β'δ

d

(0)γ

λ

γ

5

u

z

-

δik

4nc

5

)

β'δ

d

(0)γ

5

u(z)+…;

(27.10)

другие члены не дают вклада, так как пион представляет собой синглетное по цвету псевдоскалярное состояние. В самом деле, оператор dγ5u является оператором твиста 3 и, следовательно, в ведущем порядке теории возмущений может быть опущен. Таким образом, получаем

V

μ

(p

1

,p

1

)

=

(2π)³

CF

48

𝑑4z

(2π)4

𝑑4y

(2π)4

𝑑

4

k

𝑑

4

e

×

e

iz⋅(p-k)

e

-iy⋅(p+p2-p1)

×

Tr γμpγργλγ5γργτγ5

p2k2

⟨0|

d

(0)γ

λ

γ

5

u(z)|π(p

1

)⟩

×

⟨π(p

2

)|

u

(y)γ

τ

γ

5

d(0)|0⟩+(p

1

↔p

2

).

(27.11)

Сосредоточим внимание на вычислении членов ⟨0|…|π⟩. Их можно разложить в ряд по степеням переменных z и y: например,

⟨0|

d

(0)γ

λ

γ

5

u(z)|π(p

1

)⟩

=

 

n

zμ1…zμn

n!

𝚂⟨0|

d

(0)γ

λ

γ

5

D

μ1

…D

μn

u(0)|π(p

1

)⟩;

(27.12 а)

если пренебречь членами, пропорциональными массе пиона, то получаем

(2π)

2/3

⟨0

d

(0)γ

λ

γ

5

D

μ1

71
{"b":"570039","o":1}