| Файл | | Индекс |
| | | | | Адрес |
| Имя | Дата рождения | Должность | | Имя | логической записи 0 |
| JONES | 082140 | A | | BAKER | 006 |
| SMITH | 122750 | K | | BARNS | 007 |
| WU | 041259 | Z | | CARSON | 008 |
| MARKLY | 111163 | T | | JOHNSON | 005 |
| PETERS | 070457 | C | | JONES | 000 |
| JOHNSON | 062753 | A | | MARKLY | 003 |
| BAKER | 031747 | C | | PETERS | 004 |
| BARNS | 090959 | B | | SMITH | 001 |
| CARSON | 013147 | B | | WU | 002 |
Рисунок 6.4. Пример простого файла и индекса
Точный формат логического адреса записи изменяется на AS/400 в зависимости от того, как используется индекс. Например, как уже говорилось, каждый элемент сегмента индекса области данных содержит ключ и относительный адрес, в свою очередь включающий в себя номер области данных, идентификацию сегмента области данных записей и порядковый номер записи. Данный относительный адрес уникальным образом идентифицирует запись, соответствующую ключу. В других случаях применения индекса используется иная форма относительных адресов.
Давайте с помощью этого индекса создадим дерево с двоичным основанием. На рисунке 6.5 показан индекс с рисунка 6.4 с представлением поля ключа в коде EBCDIC. Индекс представлен в шестнадцатеричной и двоичной формах. Например, первая буква имени Baker имеет шестнадцатеричное значение С2. В двоичной системе счисления С2 будет 11000010. Вторая буква имени Baker имеет шестнадцатеричное значение С1 (11000001 двоичное). Каждый ключ располагается в памяти в виде цепочки нулей и единиц, как показано на рисунке.
Теперь с помощью двоичного представления ключей можно создать дерево с двоичным основанием. При построении дерева ключи добавляются по одному. Сначала последовательность битов каждого нового ключа просматривается слева направо в поисках первого, отличающего данный ключ от всех ключей, уже вставленных в дерево. Предположим, что единственным элементом дерева является Baker и мы хотим добавить элемент Barns. Взглянув на рисунок 6.5, можно увидеть, что первым отли
чающимся битом (сканирование всегда идет слева направо) будет пятый в третьем байте. Если в дереве только два элемента Baker и Barns, то чтобы отличить один от другого, достаточно проверить пятый разряд третьего байта. Если разряд равен 0, то это элемент Baker, а если 1, то Barns.
Допустим, теперь мы хотим добавить к дереву Carson. Тогда первым битом, отличающимся и от Baker, и от Barns, будет восьмой первого байта.
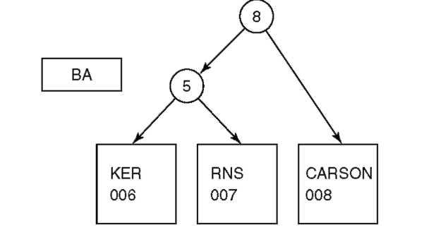
Последовательность построения дерева показана на рисунке 6.6. На первом шаге в дереве есть единственный окончательный узел для Baker. Окончательный узел содержит некоторый текст (в данном случае «Baker») и логический адрес записи 006. На втором шаге к дереву добавляется Barns. Здесь к дереву непосредственно над Baker добавляется тестовый узел для проверки пятого разряда третьего байта. Тестовый узел содержит общий текст ключей (BA) и номер бита, который должен проверяться в следующем байте. В нашем примере с двумя байтами совпадающего текста (ВА) ясно, что бит, нуждающийся в проверке, находится в следующем (третьем) байте, задавать который явно не обязательно. При выборе следующего узла всегда берется левый, если проверяемый бит равен 0, и правый — в противоположном случае. Справа от первого окончательного узла добавлен второй окончательный узел для Barns с логическим адресом записи 007. Обратите внимание, что после удаления общего текста, терминальные узлы содержат только остатки имен (KER и RNS для Baker и Barns соответственно).

Шаг 1: В дереве только BAKER
Шаг 2: Добавляем BARNES
Шаг 3: Добавляем CARSON
Рисунок 6.6. Построение дерева с двоичным основанием
На шаге 3 к дереву добавляется Carson. Создается новый тестовый узел для проверки восьмого бита первого байта. В новом тестовом узле нет общего текста. Если при проверке восьмой бит первого байта равен 0, то далее следует проверить расположенный левее тестовый узел для Baker/Barns. Если же восьмой бит первого байта равен 1, то следующим будет окончательный узел справа для Carson. Данный узел содержит текст (CARSON) и логический адрес записи 008.
На рисунке 6.7 дерево показано полностью, со всеми девятью элементами. Тестовый узел наверху дерева называется корневым узлом. Хотя в данном примере представлен относительно небольшой индекс, он иллюстрирует многие характеристики дерева с двоичным основанием.
Рисунок 6.7. Пример дерева с двоичным основанием
Любое имя в дереве может быть найдено уже описанным методом. Но как быть с именами, которых в дереве нет? Предположим, что мы пытаемся найти там имя Soltis. Проверяем третий бит первого байта и видим, что он равен 1, затем — шестой бит первого байта, который равен 0. Это приводит нас к окончательному узлу для Smith. Теперь понятна причина хранения текста в окончательных узлах — на один и тот же окончательный узел может отображаться много имен. При достижении окончательного узла необходимо сравнить хранящийся там текст с остатком имени, поиск которого мы ведем. Если они совпали — мы нашли правильный окончательный узел, если нет — искомое имя отсутствует в дереве.
Другая характеристика дерева связана со способом добавления к нему элементов. Мы всегда просматриваем строку битов для каждого нового элемента слева направо в поиске первого бита нового ключа, отличающего его от всех, уже находящихся в дереве. Таким образом, гарантируется, что при проходе по любому пути в дереве биты проверяются слева направо. В тестовом узле никогда не приходится возвращаться к началу имени: мы всегда движемся вперед.
Метод, используемый для вставки элементов, также гарантирует, что дерево всегда будет иметь одну и ту же конфигурацию, независимо от порядка добавления элементов. Более того, окончательные узлы всегда упорядочены в соответствии со значениями ключей слева направо. В нашем примере, окончательные узлы расположены в алфавитном порядке имен в ключевом поле. Это не случайность, а свойство дерева. Дерево само по себе обеспечивает логическую последовательность ключей, так что сортировка физических записей не нужна.
Элемент дерева можно также удалить. Это простая операция, так как на окончательный узел может указывать один и только один тестовый узел. Возьмите имя, подлежащее удалению, отыщите в дереве соответствующий ему окончательный узел, удалите его, вернитесь к расположенному выше тестовому узлу и объедините его со вторым окончательным узлом в новый окончательный узел.