Литмир - Электронная Библиотека
Содержание  
A
A

Это явление может быть интерпретировано с позиций лингвистики двояко, а именно:

· как выражение основной зависимости эмоционального компонента от оценочного или

· как признак интеграции оценочного и эмоционального компонентов.

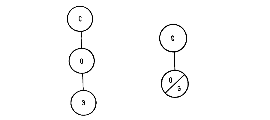
Характер подчинения смыслового, оценочного и эмоционального компонентов можно проиллюстрировать следующими схемами:

Актуальные проблемы языкознания ГДР: Язык – Идеология – Общество - i_001.png

· С – О – Э

· С – (О / Э)

При наличии также волюнтативного компонента необходимо в каждом случае конкретно проверить, не основывается ли он на смысловом, оценочном и (или) эмоциональном компоненте, если нельзя вообще предположить, что данный волюнтативный компонент значения слова вытекает из оценочного и (или) эмоционального компонентов и поэтому одному из них (или им) подчинен.

4.2. Идеологический аспект

Идеологический аспект политической лексики весьма тесно связан с семантическим. Это вытекает из самой сущности идеологии и ее роли в общественном сознании. Рассмотрение идеологических проблем с позиций философии не входит в задачи лингвистического исследования, однако разрешение вопросов лингвистики должно опираться на философский базис. В основу последующего анализа положено определение, данное Гаральдом Шливой:

«…Идеологией называют, по существу, ту часть результатов умственно-практического освоения, которая является прямым или косвенным выражением классовых интересов ивоздействует на общественно значимое поведение классов и классовых индивидуумов»[134].

Поэтому в нашем лингвистическом исследовании мы должны исходить из рассмотрения отражательного и семиотического аспектов идеологической проблемы[135]. Вопрос может быть сформулирован так: как влияет идеология на семантику языковых знаков и как она воздействует через посредство языка на общественное поведение людей?

Приведенное выше определение идеологии как «части результатов умственно-практического освоения» подводит нас к проблеме соотношения идеологии и науки как специфической формы теоретического освоения действительности. Франк Фидлер и Гельмут Зайдель в своей работе «Der Marxsche Wissenschaftsbegriff» указывают на то, что наука и идеология как результат и выражение разных форм освоения действительности принадлежат разным сферам соответствующей общественной системы и потому являются предметом разных дисциплин, входящих в состав марксистско-ленинской философии.

«Наука является предметом теории познания, а идеология – предметом теории социалистического сознания и этики… Но поскольку эти дисциплины изучают теоретическое или соответственно духовно-практическое освоение действительности как моменты в целостном процессе общественного освоения действительности, то в системе марксистской философии они являются взаимообусловленными… Это, наконец, вытекает из объективного положения вещей, характеризующихся взаимным проникновением и взаимной обусловленностью идеологии и науки»[136].

Согласно марксистско-ленинскому мировоззрению, следовательно, не существует «чистого», или безоценочного, познания, идеология также не выступает в «чистом» виде, а существует всегда в определенных формах сознания, включающих познание.

«Всякое общественное сознание отражает… соответствующее ему бытие и связанные с ним духовные потребности и познавательные возможности»[137].

Марксистско-ленинская философия говорит в этой связи об «отношении к действительности, характеризующемся двойным отражением»[138], и о «внутренних связях между познанием и идеологией в философии»[139].

Ответ на вопрос о конкретных формах существования и проявления идеологии сводится к тому, что идеология некоторой общественной формации не представляет собой

«особую сферу общественного сознания наряду с философией, моралью, правом и т.д.»[140].

«Идеология, следовательно, не является самостоятельной конкретной формой общественного сознания, а подчеркивает наличие определенных свойств в этих формах. Будучи понятием, идеология отражает обозначаемые ею свойства как инвариантные признаки в тех или иных формах общественного сознания»[141].

С этих позиций определенные формы общественного сознания, как, например, политика и философия, представляются особенно «идеологически насыщенными», то есть обладают высокой степенью «идеологической релевантности»[142].

Для работы лингвиста раскрытие этих зависимостей очень важно. Если исходить из того, что значения языковых знаков являются по содержанию отражением предметов, явлений и отношений объективной реальности[143], тогда точное описание этого процесса отражения становится обязательной предпосылкой для научно обоснованных суждений об идеологическом аспекте политической лексики. Так познание единства когнитивного и идеологического освоения действительности определяет наши взгляды на процесс языковой объективизации идеологических образов.

Уже было справедливо отмечено, что точно так же, как идеология не может рассматриваться в качестве автономной формы общественного сознания, так не существует и особой группы языковых знаков, которые являлись бы

«исключительно материальной формой существования идеологии и выполняли бы исключительно соответствующие функции»[144].

Это не требует дальнейшего обсуждения. Лингвистическая проблема заключается в первую очередь в том, каким образом идеологическое наполнение языковых знаков находит свое выражение в их семантической структуре. Можно ли говорить об «идеологическом значении» или об особом идеологическом компоненте значения слова? Очевидно, нет, если согласиться с положением о единстве познавательного и идеологического освоения действительности. Согласно этому положению, идеологическое отражение происходит в единстве с когнитивным; лингвистическим следствием отсюда является то, что смысловой компонент значения слова уже идеологически оформлен, «идеологически связан».

Идеологическая обусловленность уже затрагивалась мною в другом месте[145], здесь она будет охарактеризована кратко.

«Система общественных (политических, экономических, правовых, педагогических, художественных, моральных, философских и др.) взглядов, выражающих определенные классовые интересы и включающих соответствующие нормы поведения, отношения и оценки»[146],

находит свое языковое претворение в соответствующих терминологиях, образующих сравнительно замкнутые подгруппы в словарном составе языка. В целом эта специальная лексика в ее общественном аспекте носит классовый характер. Значения отдельных терминов в качестве образов объективно существующих явлений детерминированы также принадлежностью терминов к определенной идеологии, точнее, их местоположением в идеологической лексике. Эта ситуация может быть охарактеризована как идеологическая обусловленность.

вернуться

134

H. Schliwa. Der marxistisch-leninistische Begriff der Ideologie und Wesen und Funktionen der sozialistischen Ideologie. – «Sozialismus und Ideologie». Hrsg. von W. Müller, Berlin, 1969, S. 81.

вернуться

135

Ср. H. Schliwa. Op. cit., S. 86 ff, S. 97 ff.

вернуться

136

Ср.: F. Fidler / H. Seidel. Der Marxsche Wissenschaftsbegriff und die sozialen Grundlagen des wissenschaftlichen Erkennens. – «Deutsche Zeitschrift für Philosophie», Sonderheft, 1968.

· Probleme und Ergebnisse der marxistisch-leninistischen Erkenntnistheorie, S. 87.

вернуться

137

D. Wittich. Widerspiegelung und gesellschaftliche Praxis. Über zwei erkenntnistheoretisch relevante Widerspiegelungsbeziehungen. – «Deutsche Zeitschrift für Philosophie», Sonderheft, 1968, S. 40.

вернуться

138

Там же.

вернуться

139

Ср.: H. Schliwa. Erkenntnis und Ideologie. – «Deutsche Zeitschrift für Philosophie», Sonderheft, 1969, S. 113.

вернуться

140

H. Schliwa. Der marxistisch-leninistische Begriff der Ideologie. – Op. cit., S. 93.

вернуться

141

H. Schliwa. Op. cit., S. 94.

вернуться

142

Ср.: H. Schliwa. Op. cit., ibid.

вернуться

143

Ср.: W. Schmidt. Lexikalische und aktuelle Bedeutung. – Op. cit., S. 16.

вернуться

144

H. Schliwa. Ор. cit., S. 97.

вернуться

145

См. сноску 4.

вернуться

146

Philosophisches Wörterbuch. Hrsg. von G. Klaus und M. Buhr. 10. Aufl., Leipzig, 1974, Bd. 1, S. 546.

23
{"b":"941972","o":1}