Литмир - Электронная Библиотека
A
A

— Пожалуй, ради этого тоже, — Лео покраснел, слегка сконфуженный. — И все-таки она добра ко мне. Я вижу, что к происходящему в лагере она относится иначе, чем ее муж. Мне кажется, ей противно то, чем он занимается. Поэтому она и помогает в лазарете.

— Ты так думаешь? Ну-ну. Это она сама тебе рассказала?

— Да, во время игры.

— Мне кажется, что, играя с тобой в шахматы, она просто успокаивает свою совесть, — заметил Альфред. — Ты для нее — освобождение от грехов.

— А вы, я вижу, не просто доктор Мендль, вы еще и доктор Фрейд, — фыркнул Лео.

— В данной ситуации, молодой человек, изучение атома не отличается от изучения мозга. В конечном итоге, она — жена заместителя начальника лагеря, а ты — всего лишь еврей, — он тронул Лео за руку, — с номером на руке. Она присмотрит за тобой, пока не наступит твое время. Потом она о тебе даже не вспомнит.

— Увидим, — бросил Лео. — Но пока что меня вполне устраивают пирожные и шоколад.

— Ну да, ты прав. Посмотрим. — После приступа кашля на губах Альфреда появилась мокрота, и он отер ее рукой. — Пока суд да дело, вернемся к нашим баранам. — С каждым днем его кашель становился все хуже, кости и ребра проступали все сильней. — Извини, что тебе приходится лицезреть не ее, а меня.

— Ну да, зрелище гораздо менее привлекательное. Вот, давайте я накрою вас одеялом, старик. Извините, — он улыбнулся. — Я хотел сказать профессор. — Лео принес одну из тех засаленных тонких холстин, которые нисколько не спасали от холода.

За эти недели Альфред полюбил его. И он видел, что юноша тоже привязался к нему. Хотя в лагере с первого дня приучаешься не проявлять сочувствие к другим людям и не интересоваться их историей. Никогда не знаешь, что произойдет завтра.

— Ничего, — произнес Альфред. Тем не менее он закутался в ветошь и на какой-то момент даже перестал мерзнуть. — Спасибо, мой мальчик.

Как и предупреждал Альфред, материал с каждым днем становился все сложнее. Настало время объяснить Лео так называемые функции Бесселя — понять эти уравнения было равносильным тому, чтобы удержать в голове сразу всю шахматную партию. Даже десяток партий. Причем, как казалось Лео, концентрация должна была быть как при игре с гроссмейстером, Альфред же выкладывал подробные расчеты и цифры с такой легкостью, как будто называл дату своего рождения или домашний адрес.

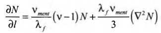
— Помни, речь идет о высокорадиоактивных материалах, — объяснял он, — которые находятся в процессе перехода из одной стадии в другую, и они диффундируют сквозь ограниченное пространство, в данном случае сквозь цилиндры. Мы должны ввести общее уравнение нейтронной диффузии для этой стадии.

Он написал на обратной стороне медицинской памятки:

Одиночка - i_004.jpg

— Да… — Лео смотрел на него слегка отупело. — Вижу.

— Ты должен это выучить, Лео. Заучить наизусть. Это азы.

— Я стараюсь, Альфред.

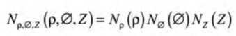
— Лучше старайся. Сконцентрируйся. Целью является, — Альфред кашлянул в холщовую тряпицу, — направить поток нейтронов внутрь цилиндра. Пространственная составляющая плотности нейтронов, обозначенная буквой N, будет функцией от цилиндрических координат (p, o, z), подразумевается, что она сепарабельна и может быть выражена следующим образом.

Он порылся в обрывках бумажек, которые они использовали накануне:

Одиночка - i_005.jpg

Лео смотрел на него растерянно.

— Ты здесь, сынок?

Парень надул щеки и тяжело выдохнул.

— Вы говорите слишком быстро, Альфред. Я не уверен, что все понял.

— Не уверен? Я считал, что мы вчера с этим разобрались.

— Я знаю. Но это не шахматы, я не совсем понимаю, почему это важно.

— Прямо сейчас это важно, потому что я так говорю. Давай повторим все еще раз. Если не возражаешь, что в данном уравнении обозначает координата о?

— О?..

— Да, строчная «о». О чем ты думаешь, юноша? Мы обсуждали это несколько раз. Это угол между шириной и радиусом цилиндра. А p?

— P?.. P — это, должно быть, его высота, — неуверенно предположил Лео.

— Да. Это высота. Я считал тебя умным. Я считал тебя сообразительным. Ты должен сконцентрироваться, это — легкий материал. Иначе учить придется слишком долго.

— Мы можем прерваться, профессор? У меня голова сейчас лопнет. Да и не понимаю я, к чему все это? Это вы открыли? Эту драгоценную газовую диффузию? Мы все повторяем и повторяем одни и те же скучные темы!

— Потому что ты должен все это выучить, парень. Чтобы от зубов отскакивало. Ты меня понимаешь?

— Да, я вас понимаю! — Лео вскочил с койки. — Понимаю. Понимаю… — Его голова была забита бесконечными цифрами, и его захлестнуло чувство безысходности и бесполезности всех этих усилий. — Может, на сегодня закончим?

Глядя на него, Альфред почувствовал, что зашел слишком далеко. Он дал мальчишке успокоиться, а затем, отложив обрывок бумаги с формулами, объяснил:

— Нет, это открыл не я. На самом деле над этим уже какое-то время работают британцы. Я слышал, что в том же направлении идут ученые Колумбийского университета в Нью-Йорке.

— Так, может, пусть они это и изучают? — предложил Лео.

— Это ведь легко, правда? — кивнул Альфред и откинулся назад. — Я всего лишь проанализировал данные на следующей стадии. Вот смотри, — он снова взял памятку, на которой были расписаны меры профилактики тифа, и набросал на обороте схему. Это была система трубок с длинными цилиндрами, переходившими в более узкие трубки через сеть спиралей и насосов. — Если газообразный уран, гексахлорид-6, а он крайне едкий, прокачивать через некий пористый барьер, более легкие молекулы газа, содержащие обогащенный уран-235, будут преодолевать барьер быстрее, чем более тяжелые молекулы урана-238. Правильно?

Лео кивнул: это ему было понятно.

— Вот что выражает формула. Ты должен зазубрить ее, Лео. И неважно, насколько скучной или сложной она тебе видится. Это основа.

— Основа чего? Кому вообще есть дело до идиотского процесса диффузии? Или, как там правильно — эффузии? — Лео схватил листовку со схемой и, скомкав, швырнул ее в угол. — Знаете, что я сегодня видел? Я видел, как шестерых заключенных вытащили из колонны и заставили лечь на землю. Потом приказали встать, потом лечь, быстрее, быстрее! Потом велели бежать на месте, потом присесть, десять приседаний, встать, лечь, быстро, быстро. Schnell! Schnell! Быстрей! Пока они не попадали один за другим от изнеможения. И когда они пытались перевести дух, их просто прикончили дубинками. Последний, весь красный, едва мог поднимать ноги, а охранники гоготали над ним, как над марионеткой из кукольного театра. Потом его тоже забили. Так скажите мне, как им помог ваш закон Грэма?

Альфред молча смотрел на Лео.

— А вы слышали, что два дня назад ночью весь сорок шестой барак выгнали на улицу и увели, и больше никто их не видел? Спасли их ваши цилиндры и уравнения диффузии? А скоро придут за нами. Вы глупец, если верите, что немцы оставят хоть одного из нас в живых. Мы все здесь умрем! И вы, и я. Так что какая разница, строчная «p» или прописная, уран-235 или 238? У меня голова пухнет, Альфред. Мы каждый день занимаемся. Повторяем все опять и опять. А зачем? Вы вбиваете эти штуки мне в голову и даже не говорите, в чем их смысл.

Альфред кивнул. Он откинулся к стене и понимающе вздохнул.

— В них великий смысл, мой мальчик. Ты прав, я, скорее всего, умру здесь, но ты… В войне произошел перелом. Это очевидно следует из слов недавно прибывших заключенных. На востоке немцы разбиты в пух и прах. Вот-вот начнется наступление союзников. Это видно по охранникам — в их глазах растет тревога. Однажды ты сможешь выйти отсюда, я дам тебе имена людей, к которым надо будет обратиться. Уважаемых людей. То, что я пишу тебе на этих клочках бумаги и на оборотах этикеток от консервов, стоит намного больше, чем все золотые зубы, которые немцы выдрали у нас. В тысячи раз больше.

28
{"b":"822051","o":1}