Литмир - Электронная Библиотека
Содержание  
A
A
Общая экология - i_114.png

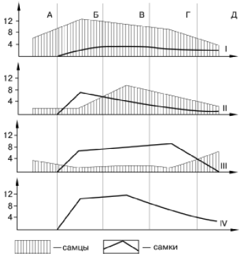
Рис. 112. Участие самцов и самок в постройке гнезда в семейных парах воробьев (по В. В. Иваницкому, 1977).

Виды воробьев: I – испанский; II – индийский; III – саксаульный; IV – каменный.

По горизонтальной оси – стадии репродуктивного цикла: А – холостой самец; Б, В, Г – время от образования пар до насиживания; Д – насиживание.

По вертикальной оси – средняя частота приноса материала в час

Выбор партнеров сопровождается у животных особым брачным поведением, часто достигающим большой сложности. У пауков-скакунчиков самцы добиваются спаривания с самкой после своеобразного танца, в продолжение которого они описывают возле нее суживающиеся полукруги, принимая особые позы, а приблизившись, начинают быстро вертеться, увлекая самку. Считают, что предкопуляционное поведение самцов пауков тормозит инстинкт агрессии у самок, которые иначе реагируют на них как на добычу. Дальнейшее поведение пауков различно: у многих всеядных видов самец после введения им спермы в половые пути самки становится ее жертвой, у бегающих Lycosidae – поспешно спасается бегством, у большинства скакунчиков Salticidae самец и самка расходятся спокойно, а у ряда видов семейства Dictinidae некоторое время мирно уживаются в одном гнезде.

Широко известное «ухаживание» у птиц и млекопитающих также предотвращает агрессивные и оборонительные реакции особей противоположного пола, приводит к синхронизации процессов полового созревания и стимулирует у партнеров готовность к спариванию (рис. 113). Это имеет большое значение для осуществления размножения, к которому самец и самка должны быть готовы в одно и то же время.

Общая экология - i_115.png

Рис. 113. Элементы брачного поведения обыкновенной чайки (по Н. Тинбергену, 1970)

Выбор половых партнеров часто сопровождается усилением конкурентных отношений в популяциях животных. В период, предшествующий размножению, у многих видов возникают драки самцов, ритуальные демонстрации и другие типы специализированного поведения, направленного на устранение конкурентов. Эти столкновения, несмотря на частую ожесточенность, редко приводят к серьезным ранениям соперников, обычно ограничиваясь изгнанием одного из них с территории, где находятся самки. У рыб, например, в таких сражениях преобладает ритуал угрозы или противники кусают друг друга в пасть – наименее уязвимую часть тела, но никогда не наносят более опасных укусов в бок. Токующие турухтаны стремительно бросаются друг на друга, но затем внезапно замирают с взъерошенным «воротником», после чего вновь повторяют броски.

Таким образом, период, предшествующий размножению в популяциях животных, характеризуется активным поиском и резким усилением контактов между особями.

Семейный образ жизни. При семейном образе жизни усиливаются также связи между родителями и их потомством. Простейший вид такой связи – забота одного из родителей об отложенных яйцах: охрана кладки, инкубация, дополнительное аэрирование и т. п. Так, среди земноводных мраморная амбистома откладывает яйца в ямки во влажной лесной подстилке и остается их сторожить. Самка темной саламандры обвивает кладку своим телом и не покидает ее до выклева личинок. Самец трехиглой колюшки после охраны кладки и заботы о ней некоторое время оберегает и мальков. У птиц сложные заботы о птенцах продолжаются до поднятия их на крыло, а у ряда крупных млекопитающих, например у медведей, тигров, детеныши воспитываются в семейных группах в течение нескольких лет, до наступления их половой зрелости.

Различают семьи отцовского, материнского и смешанного типа, в зависимости от того, кто из родителей берет на себя уход за потомством. В семьях с устойчивым образованием пар в охране и выкармливании молодняка принимают обычно участие и самец и самка.

При семейном образе жизни территориальное поведение животных выражено наиболее ярко: различные сигналы, маркировка, ритуальные формы угрозы и прямая агрессия обеспечивают владение участком, достаточным для выкармливания потомства.

Более крупные объединения животных – стаи, стада и колонии. В основе их формирования лежит дальнейшее усложнение поведенческих связей в популяциях.

Колонии. Это групповые поселения оседлых животных. Они могут существовать длительно или возникать лишь на период размножения, как, например, у многих птиц – грачей, чаек, гагар, тупиков и т. п. По сложности взаимосвязей между особями колонии животных чрезвычайно разнообразны – от простых территориальных скоплений одиночных форм до объединений, где отдельные члены выполняют, как органы в целостном организме, разные функции видовой жизни.

Поселения морских желудей, например, можно рассматривать и как агрегации одиночных особей, и как элементарную форму колонии, так как одновидовые скопления возникают у них не случайно, а на основе хемотаксиса, свойственного личинкам. Взаимоотношения между особями в таких примитивных объединениях сводятся к стимуляции синхронного полового созревания химическими выделениями членов колонии, а конкуренция за облавливаемое пространство в известной мере предотвращается ориентировочной реакцией личинок перед прикреплением.

Более сложная форма колонии – такие поселения животных, в которых некоторые функции их жизни выполняются сообща, что увеличивает вероятность выживания отдельных особей. Чаще всего такими общими функциями становятся защита от врагов и предупредительная сигнализация. Чайки, кайры, некоторые гуси, ласточки и другие птицы обычно с шумом набрасываются на хищника, угрожающего птенцам или кладкам. Тревога, поднятая любой заметившей опасность птицей, мобилизует остальных. Сообща птицам удается изгонять даже крупных хищников, с которыми они не справились бы поодиночке, – песцов, ястребов, сов и др.

В колониальных поселениях птиц часто сохраняются индивидуальные гнездовые участки (рис. 114). У серебристых чаек, например, колонии рыхлые – между гнездами сохраняется расстояние в 3–5 м. При выборе участков затеваются драки. В поселениях некоторых других птиц подобные территориальные инстинкты не проявляются совсем. Например, городские ласточки лепят свои гнезда часто вплотную одно к другому.

А

Общая экология - i_116.jpg

Б

Общая экология - i_117.jpg

В

Общая экология - i_118.jpg

Г

Общая экология - i_119.jpg

Puc. 114. Разные варианты колониальных гнездовий у птиц:

А – колония белых гусей в тундре (с фотографии А. В. Кречмара);

Б – гнездовье альбатросов на Сандвичевых островах (по А. Э. Брему, 1911);

В – колония грачей (по А. В. Михееву, 1960);

Г – общее гнездовое сооружение африканского общественного воробья (по Н. Н. Карташову, 1974)

Общественные ткачики (Philacterus socius) строят на деревьях большое общее гнездо из травы с многочисленными отверстиями, ведущими в индивидуальные гнездовые полости. Южноамериканские кукушки-личинкоеды ани строят совместные гнезда, в которые откладывают яйца около десятка самок. Эту общую кладку насиживают одновременно несколько птиц, периодически сменяемые другими.

Среди млекопитающих колониальны сурки, вискачи, пищухи, пеструшки. Колонии млекопитающих чаще возникают не как территориальные объединения разных семей, а на основе разрастания семейных групп, с сохранением связей между отпочковывающимися семьями. Зверьков из других колоний при полной занятости территории изгоняют, но в период низкой численности популяции они могут вливаться в состав поселения, которое, таким образом, приобретает смешанный характер.

61
{"b":"112408","o":1}