Литмир - Электронная Библиотека
Содержание  
A
A

Особенности обучения взрослых

Мы уже говорили, что коучинг – партнерство двух взрослых людей. И хотя коучи могут работать и с детьми, но это особая аудитория, которая требует своего подхода. Мы же сконцентрируемся на специфике работы со взрослыми.

Главная задача коуча – адаптировать человека к новым целям, научить его мозг мыслить по-новому. Фактически – научить его учиться, а это для взрослого человека оказывается весьма непросто.

Мы привыкли ассоциировать процесс обучения с детским возрастом, однако это не совсем так. Умение запоминать и использовать новые знания определяется нейропластичностью, то есть способностью мозга меняться под действием опыта. И она сохраняется на протяжении всей жизни, хотя разные функции мозга имеют различный пик активности.

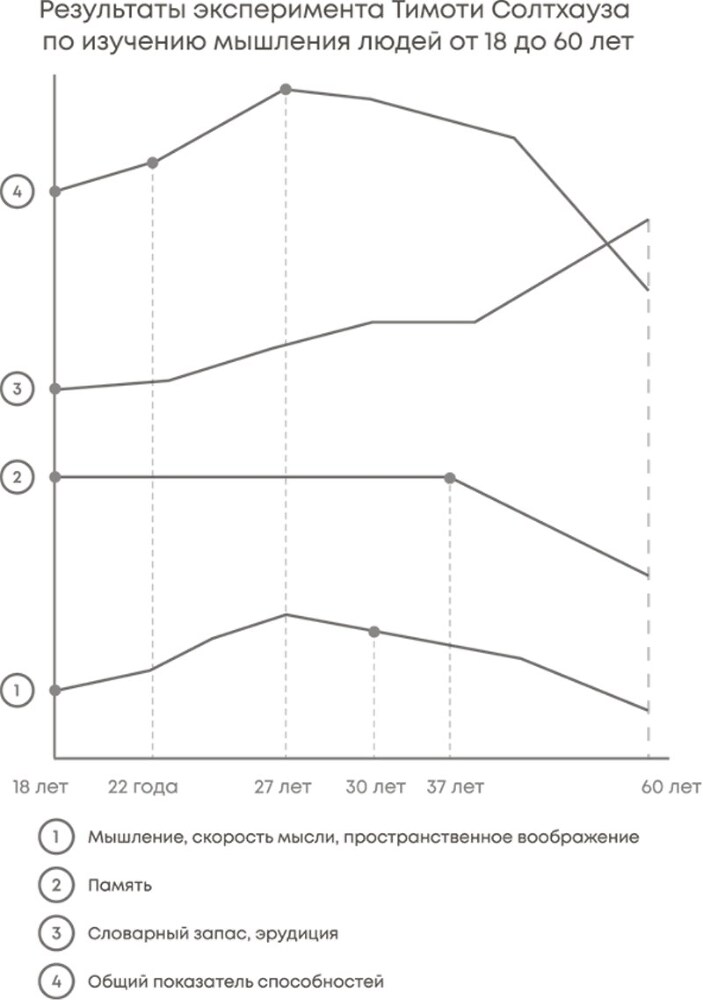
Профессор Тимоти Солтхауз из университета Виржинии выяснил, что с возрастом увеличиваются способности, основанные на накопленных знаниях, в то время как мышление, скорость мысли и пространственное воображение начинают постепенно ухудшаться ближе к тридцати годам.

На протяжении восьми лет он провел ряд экспериментов, в которых приняли участие около 2000 человек в возрасте от 18 до 60 лет. Им предлагалось решать головоломки, находить закономерности в последовательности букв и цифр и вспоминать определенные слова и символы. Результаты показали, что наилучшие способности проявляют люди в возрасте от 22 до 27 лет. При этом память человека оставалась неизменной до 37 лет, после чего начинала незначительно снижаться. А вот такие способности, как объем словарного запаса и эрудиция, улучшались вплоть до 60 лет.

Делай как коуч. Книга для тех, кто хочет достичь гениальных результатов в жизни - i_014.jpg

Другие исследования показали, что обучение во взрослом возрасте способствует здоровью мозга.

Нейробиологи Калифорнийского университета в Ирвине представили первые наглядные доказательства того, что повседневные формы обучения оживляют нейронные рецепторы, которые помогают поддерживать работу клеток мозга на оптимальном уровне.

«Сохранение умственной активности по мере старения способствует поддержанию постоянной скорости передачи сигналов нейронами, что влияет на сохранение когнитивных функций», – отмечает Кристин Галл, профессор анатомии и нейробиологии.

Люди, которые занимаются умственным трудом, сохраняют когнитивные функции намного дольше. Вспомним, сколько таких примеров мы знаем из истории: Александр Флеминг открыл пенициллин в возрасте 47 лет, Мария Кюри получила чистый радий в возрасте 42 лет, Альберт Эйнштейн работал над теорией относительности, когда ему было 50 лет, а Николай Коперник завершил теорию движения планет в возрасте 60 лет.

Экономисты Бенджамин Джонс из Северо-Западного университета и Брюс Вайнберг из Университета Огайо проанализировали возраст нобелевских лауреатов XX–XXI веков, чтобы определить пик продуктивности. Оказалось, что большинство изобретений и открытий совершались в возрасте около сорока лет.

Научная деятельность предполагает умение быть открытыми новому, видеть нетривиальные пути решения задач, и эти функции оказываются доступными взрослому человеку. При этом процесс обучения взрослых отличается от обучения детей.

Термин «андрагогика», то есть наука об образовании взрослых людей, ввел еще в 1833 году немецкий учитель Александр Капп, но автором андрагогического подхода считается американский педагог Малкольм Ноулз. Он сформулировал основные принципы, которые должны помогать обучаться зрелым людям, и изложил их в своей книге «Взрослый ученик» (The Adult Learner), которая была впервые издана в 1973 году.

Согласно концепции Ноулза, есть несколько ключевых отличий обучения взрослых от обучения детей.

Во-первых, это практико-ориентированный подход. Зрелый человек просто не будет учиться, пока не поймет, как он сможет внедрить новые знания в свою жизнь, чтобы повысить ее качество. Кроме того, для него важно, чтобы новый материал был представлен на примере конкретных жизненных ситуаций, которые бы вписывались в его картину мира.

Оказалось, для того чтобы процесс получения новых знаний стал максимально эффективным, необходимо, чтобы человек выступал «движущей силой» обучения, то есть сам определял сроки и место обучения, брал на себя ответственность за процесс, а также устанавливал критерии оценки результата.

Для успешного обучения взрослому следует найти внутреннюю мотивацию к получению новых знаний, то есть изначально определить, за чем конкретно он идет в этот процесс. Мотивы могут быть самыми разными: продвижение по службе, выход на новый финансовый уровень, гармонизация сфер жизни. Главное – четкое понимание, как новые навыки помогут закрыть его актуальные потребности.

Треугольник партнерства Рыбиной – Мурадяна

Эти принципы легли в основу структуры профессиональной коуч-сессии, которая определяется списком ключевых компетенций.

Список необходимых действий коуча для создания контракта на сессию

1. В партнерстве с клиентом и заинтересованными сторонами формирует общий план и цели на коучинг.

2. В партнерстве с клиентом определяет совместимость коуча и клиента.

3. В партнерстве с клиентом определяет или подтверждает, чего клиент хочет достичь в ходе сессии.

4. В партнерстве с клиентом определяет, на что, по мнению клиента, нужно обратить внимание или что нужно рассмотреть, чтобы достичь желаемого результата сессии.

5. Выступает партнером для клиента при определении или уточнении критериев измерения успеха всего коучингового процесса или отдельной сессии

6. Выступает партнером клиента в управлении временем и фокусом внимания в сессии.

7. Продолжает вести коучинг в направлении желаемого для клиента результата до тех пор, пока клиент не выберет другое направление.

8. В партнерстве с клиентом завершает коучинговые отношения, отдавая должное ценности этого опыта.

Список необходимых действий коуча для развития клиента в процессе коучинга

1. Выступает партнером для клиента при постановке целей, проектировании действий и определении параметров ответственности, которые интегрируют и расширяют новые знания (выводы).

2. Признает и поддерживает автономию клиента при постановке целей, проектировании действий, определении способов управления ответственностью.

3. Поддерживает клиента в выявлении возможных результатов или выводов из определенныхпошаговых действий.

4. Приглашает клиента подумать, как двигаться вперед, включая размышления о ресурсах, поддержке и возможных препятствиях.

5. Выступает партнером для клиента, чтобы резюмировать, чему научился клиент и что он узнал в рамках сессий или между сессиями.

6. Отмечает прогресс и успехи клиента.

Известный американский психолог Карл Роджерс сформулировал психологические особенности взрослых людей, которые следует учитывать при построении процесса обучения.

Люди изначально обладают большим потенциалом к обучению. Необходимо создать среду, в которой этот потенциал сможет раскрыться. Для эффективного обучения важно, чтобы человек чувствовал себя в безопасности и его личности ничего не угрожало. В процессе обучения задействуются все аспекты личности человека, в результате чего происходят изменения в самоорганизации и самовосприятии. Большая часть обучения заключается в практике.

Эти принципы также нашли свое отражение в коучинговых компетенциях. Таким образом, коуч в процессе проведения сессии способствует созданию условий, которые максимально раскрывают способности к обучению именно у взрослых людей.

Процесс совершенствования навыков никогда не прекращается. Его можно представить в виде спирали, где каждый последующий виток похож на предыдущий, но проходит на более высоком уровне.

Психолог Альберт Бандура, основатель социальной теории обучения, выделил четыре этапа, которые человек проходит на каждом витке этой спирали.

11
{"b":"917138","o":1}