Литмир - Электронная Библиотека
Содержание  
A
A

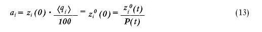
Отсюда получаем для главного ценового паритета:

Денежное обращение в эпоху перемен - _367b.jpg

Таким образом, на основании ценового мониторинга мы получаем главный вектор цен, с помощью которого, используя отношения (8), легко получить и всю матрицу ценовых паритетов A = a ij.

Таким образом, задача определения матрицы ценовых паритетов базисных товаров определена полностью.

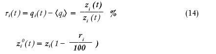
Отметим полезные соотношения:

Денежное обращение в эпоху перемен - _368.jpg

rt(t) дает отклонение реальной цены от уместной в процентах.

Вернемся вновь к смыслу индекса интегральной инфляции. Величина Z(t)=P(t) дает динамику изменения стоимости некоторого товара, который в принципе реально может быть предложен покупателю.

С другой стороны, величину

Денежное обращение в эпоху перемен - _368a.jpg

можно рассматривать как показатель, характеризующий динамику денег – Индекс покупательной силы (способности) денег.

В этой двойственности как раз и находит отражение специфика бумажных денег, отличающая их от золотых, абсолютных. В этом и есть специфика релятивистского денежного пространства, на котором разворачиваются экономические процессы.

Как легко понять, повышение цены базисного товара на q процентов лишь на долю q(l-Cj) идет на реальное повышение цены товара, а величина ctq идет на обесценение денег. Если же повышают одновременно к производителей на q процентов, то на повышение цен идет доля q(l – ΣKct), а остальное на обесценение денег. Таким образом, наиболее выгадывает тот, кто первым начинает повышение цен. Отсюда и следует стратегия борьбы с инфляционным движением – бить первого, кто высунется. Другими словами, от стратегии интегрального воздействия на всех участников процесса желательно перейти к стратегии выборочного, целевого воздействия и именно на того или тех, кто наиболее в данный момент «опасен».

Можно привести такой образный пример. Предположим движется пелотон велосипедистов, движение которого мы хотим затормозить. Вместо того чтобы запрещать двигаться быстро всем, накладывать на их колеса какие-то ограничители, гораздо проще направить на них встречную струю ветра. Тогда только первый будет встречать сопротивление воздуха, а остальные за его спиной будут двигаться совершенно свободно. И тем не менее движение замедлится, ибо как только кто-то выскочит вперед, так на него обрушивается сила ветра.

Параметр г, и есть параметр, по которому можно осуществлять воздействие. Установив пороговое значение

r › 0, при превышении которого воздействие осуществляется, мы тем самым установим конус цен, рекомендуемых государством.

Механизмы государственной ценовой политики

На основе разработанной теории базисных товаров можно предложить конкретный механизм государственной ценовой политики в области базисных цен. Цель этой политики:

1. Снизить, а постепенно и ликвидировать инфляцию.

2. Ввести все цены базисных товаров в конус экономически обоснованных цен, основанного на разумных ценовых паритетах.

Ценовая политика должна включать в себя два этапа:

1. Создание системы ценового мониторинга.

2. Создание системы воздействия на рынок базисных товаров с целью направления его в желаемом направлении.

Создание ценового мониторинга возможно как на государственной, так и на негосударственной, общественной основе.

При создании ценового мониторинга на негосударственной основе желательно, чтобы его осуществляла авторитетная в глазах общества организация, возможно, при поддержке различных торговых палат, объединений экспортеров и предпринимателей.

Этот ценовой мониторинг должен сводиться к регулярной, например еженедельной, публикации каталога уместных цен в сопоставлении с реальными ценами. Думается, даже сама по себе публикация такого рода каталогов уже окажет определенное воздействие на рынок, ибо даст всем субъектам этого рынка определенную и важную информацию не только о собственных товарах, но и о товарах их экономических контрагентов, которой они, естественно, начнут активно пользоваться в своих деловых отношениях.

О важности такого рода информации свидетельствует опыт проведения экономических реформ в Западной Германии. Хозяйственным управлением, руководимым Людвигом Эрхардом, начиная с конца 1948 года регулярно публиковался Каталог уместных цен. Этот каталог вырабатывался совместно с торгово-промышленными кругами и профсоюзами. Этот каталог не имел никакого директивного наполнения, а носил чисто информационный характер, но он сыграл большую роль в стабилизации экономики в ФРГ, о чем говорит сам Людвиг Эрхард в своей книге (см. выше).

Нужно понять, что сейчас потребитель (даже производственный) не имеет фактически никакой ценовой информации о товарах своих деловых партнеров кроме той, что дают сами эти деловые партнеры. Появление независимой информации, которая не только регистрирует то, что есть в действительности, но и в определенной степени дает ориентиры для отстаивания своих интересов, будет, бесспорно, чрезвычайно полезным.

Для осуществления этого мониторинга должна быть сначала создана соответствующая корзина базисных товаров. Вряд ли она должна быть слишком велика. Думается, пятидесяти единиц товаров различных товарных групп, являющихся наиболее представительными в этих группах, будет вполне достаточно. А затем по ним по приведенной выше технологии и осуществляется ценовой мониторинг с регулярной публикацией уместных цен и периодической публикацией матрицы ценовых паритетов.

Возможно и придание этой работе государственного статуса, поручив эту работу воссозданному Комитету по ценам при Кабинете министров или Минэкономики.

Базисные товары, не вошедшие в фундаментальную корзину базисных товаров, могут быть привязаны к своим представителям. Например, если нефть вошла в корзину, то бензин, дизтопливо, керосин, масла могут быть для определения уместных цен привязаны к цене нефти.

В результате на основе главной корзины товаров может быть создан целый куст систем ценовых мониторингов для различных типов товарных рынок.

Второй этап, после отладки и запуска системы ценового мониторинга, – создание системы проведения активной государственной политики в области цен базисных товаров. Такая политика должна быть направлена не на ограничение прибыльности предприятий, а на сверхцену. Для этого можно ввести налог на сверхцену базисных товаров. Например, если отклонение цены от уместной превышает установленный порог, то определенная и значительная часть дохода предприятия, полученного за счет сверхцены, должна изыматься у предприятия в качестве налога.

Сейчас используется регулирование цен за счет ограничения уровня рентабельности. Нет ничего более порочного. Ведь рентабельность можно получить не только за счет цен, но и за счет модернизации и совершенствования производства. Ограничение уровня рентабельности ведет к тому, что предприятия становятся мало заинтересованными в повышении экономической эффективности своего производства, так как они оказываются наказанными за это наравне с теми, кто просто накручивает цены. Более того, ограничение уровня рентабельности, наоборот, стимулирует расточительность, повышение себестоимости, так как при этом при нормированной рентабельности можно получить большую массу прибыли. И это хорошо показала система регулирования цен в последние два-три года, когда именно в условиях госрегулирования цен они растут даже быстрее, чем в отсутствии всякого регулирования. Плохое регулирование хуже всякого отсутствия регулирования.

Например, возможно установление налога на сверхцену в размере 50 процентов от сверхприбыли, полученной за счет сверхцены.

113
{"b":"91647","o":1}