Литмир - Электронная Библиотека
Содержание  
A
A

Поэтому в социалистической экономике цены устанавливались нормативно на основании определенных экспертных оценок, а также используя и внеэкономические соображения. А затем происходило административное перераспределение прибыли. Со сверхприбыльных отраслей она изымалась, а в убыточные отрасли вкладывалась.

Отметим, что этот способ регулирования не чужд и экономике свободного рынка западных стран. Действительно, все сельское хозяйство в этих странах (а основная сельхозпродукция, без сомнения, относится именно к сфере базисной продукции) специально поставлено в ценовую ситуацию ниже уровня экономически приемлемых цен, а затем его дотируют из бюджета, то есть чисто социалистическим способом перераспределения прибыли. Массовость этого явления показывает, что это не случайность, а некоторая закономерность.

Почему это так?

Сельскохозяйственное производство наиболее специфично по сравнению с производством всех иных базисных товаров. Производство промышленных базисных товаров организовано в виде крупных и немногочисленных концернов или предприятий. Ясно, что они руководятся специалистами высокой квалификации, хорошо сознающими ту меру ответственности, которая лежит на них.

Но сельскохозяйственное производство – единственное базисное производство, являющееся предельно диверсифицированным, раздробленным. Поэтому какие-то совместные решения в сельском хозяйстве принять сложно. И в свободной конкурентной борьбе оно всегда будет проигрывать предельно концентрированному и монополизированному промышленному базисному производству. Да просто потому, что процессы принятия решений для одного человека или группы в три-пять человек, а также для массы в десятки, сотни тысяч и даже миллионы действующих лиц совершенно различны. У них совершенно разная динамика, как различна динамика у катера и морского лайнера. Ясно, что нельзя в одной гонке ставить их на одну дистанцию. Вот почему сельскохозяйственное производство специально выведено из общей системы экономического взаимодействия рынка базисных товаров путем создания специальных условий, когда себестоимость сельхозпродукции выше рыночной цены, а убытки покрываются государством.

Когда же сельскохозяйственное производство включено на формально равных правах в рынок базисных товаров, то оно всегда будет проигрывать другим секторам экономике, что Россия продемонстрировала в полной и абсолютной степени. Промышленность – сельскохозяйственное машиностроение, химическая индустрия и пр. всегда выигрывают у него. Ведь заводу комбайнов, являющемся монополистом, для принятия решения о повышении цен на комбайны требуется два часа. Но чтобы все сельское хозяйство с его миллионами конкурирующих друг с другом сельхозпроизводителей смогло преодолеть сопротивление рынка и добиться повышения цен на свою продукцию, нужны месяцы. Оно всегда отстает и просто не может не отставать от сегодняшней экономической ситуации.

Таким образом, капитализм оказывался отнюдь не безразличным к опыту социализма, и все полезное из этого опыта активно использовал. И потому совершенно нелепа ситуация, когда Россия отвергает собственный опыт прошлого с порога. Поэтому ситуацию в сельском хозяйстве необходимо из общего рассмотрения рынка базисных товаров пока вынести за скобку, и решать в первую очередь проблему рынка промышленных базисных товаров. И выясняется, что ни опыт Запада, ни прошлый опыт тут оказывается непригодными, хотя и должны учитываться.

Фактически стоит двуединая задача.

1. Создание системы определения уместных цен и пространства экономически допустимых цен для базисных товаров. Эту проблему можно назвать «проблема ценового мониторинга». Ее можно решать как на государственном уровне, так и используя авторитетные независимые экспертные институты.

2. Создание системы целенаправленного воздействия на рынок базисных товаров с целью введения его в конус допустимых цен и дальнейшего поддержания его в этом состоянии. Очевидно, что это воздействие может иметь временный характер, пока сами производители не приобретут опыт, не почувствуют свою ответственность и не смогут уже сами управлять собственным рынком без внешней помощи. Речь идет о создании экономики переходного периода. И, естественно, это воздействие должно быть уже сугубо государственным. Таким образом, мы можем сказать, что экономика переходного периода, по крайней мере в области базисного производства, должна сочетать рынок с некоторым целенаправленным государственным воздействием на этот рынок.

Теория ценового мониторинга

Обобщим наше рассмотрение для случая произвольной мощности множества базисных товаров.

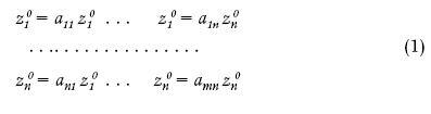
Соотношения между уместными ценами для случая, когда имеется n базисных товаров, будет иметь вид:

Денежное обращение в эпоху перемен - _363.jpg

Соответственно и для интервала экономически обоснованных цен имеем систему неравенств:

Денежное обращение в эпоху перемен - _363a.jpg

Система уравнений (1) создает в многомерном пространстве линию, которую мы также будем называть лучом уместных цен (ЛУЦ). Система уравнений (2) создает в многомерном пространстве {z1,z2… zn} конус допустимых цен. Таким образом, переход от простейшей модели двухмерного ценового пространства базисных цен к многомерному не приводит к новым явлениям, а лишь усложняет задачу и делает ее менее обозримой.

Мы видим, что вся информация о рынке базисных товаров содержится в системе коэффициентов

{a ik}, i,k = 1,2…, которые можно записать в виде матрицы A.

Денежное обращение в эпоху перемен - _363b.jpg

Матрица А называется матрицей ценовых паритетов, а коэффициент a ik этой матрицы – ценовым паритетом товара i по товару k. Смысл коэффициента a ik состоит в том, что он определяет, сколько единиц товара k необходимо отдать за единицу товара i при экономически равноправном обмене. Либо еще проще – во сколько раз единица товара i дороже единицы товара k.

Коэффициенты a ik не независимы, а подчиняются некоторым соотношениям. Эти соотношения легко получить из системы (1), если в уравнение для z 0i в зависимости от z0 j подставить значение z 0j в зависимости от z 0k и так делать сколь угодно долго, заканчивая подстановку величиной z 0i. Тогда мы получаем следующее условие на коэффициенты матрицы А:

aij aik . . . alm ami = 1 (4)

Это прямо следует из принципа паритета при обмене – если по этой матрице обменять некоторый товар на другой, второй товар на третий, третий на четвертый и т. д., то при любой длине цепочки обменов, возвратясь к исходному товару, мы получим то же самое его количество. Другими словами матрица паритетов A есть матрица с нулевой прибылью. Такие матрицы еще называются уравновешенными матрицами.

Матрица ценовых паритетов является частным случаем более общего типа курсовых матриц, широко используемых в финансовой и экономической науке и практике. Простейший пример – матрица валютных курсов. Отметим, что используются курсовые матрицы как с нулевой, так и с ненулевой прибылью, то есть как уравновешенные, так и неуравновешенные.

Матрица ценовых паритетов имеет значения 1 на главной диагонали. С точки зрения теории матриц матрица ценовых паритетов – это эрмитова матрица ранга 1.

111
{"b":"91647","o":1}