Литмир - Электронная Библиотека
Содержание  
A
A

В стране создается параллельная (валютная) сеть торговли и обслуживания. В свое время запрет на использование иностранной валюты в торговле был совершенно ошибочным. Как известно, валютные магазины так и остались валютными, зато приобщение их к рублевому пространству вызвало резкий рост цен на отечественные товары, причем рост цен на отечественные товары зачастую был стимулятором роста и валютных цен, в результате чего Россия стала одной из самых дорогих стран в мире, даже в валютной сфере.

Именно развязка валютного и рублевого сектора позволит вновь понизить цены и в рублевом секторе, и в валютном. Таким образом, валютные магазины должны торговать только на валюту в виде МВС, они относятся к предприятиям класса «А» и даже не имеют рублевого счета. Они за валюту закупают товары, за валюту их продают, валютой платят зарплату и налоги.

За валюту они расплачиваются не только с иностранными поставщиками, но и с отечественными. Более того, с целью стимулирования валютных закупок у отечественного производителя создается специальная система налогового стимулирования. Например, налоги уменьшаются пропорционально увеличению доли отечественных товаров в закупках. Таким образом, создается система стимуляции экспорта без пересечения границы. Действительно, для предприятия, продающего товар за валюту, это есть экспорт. А если при этом не происходит пересечения границы, то это вторично. И вот такой экспорт и должен стимулироваться.

В настоящее время валютная политика в России парадоксальна. Валюту нельзя заработать. Ее можно только купить.

Новая валютная политика состоит в том, что теперь валюту можно заработать. Ее можно и купить. Но дорого. Таким образом, основными пользователями валюты становятся те, кто ее зарабатывает, а не те, кто украл каким-то образом рубли и купил на них валюту. Украсть валюту очень сложно. А заработать ее можно только действительно товаром высокого качества, необходимыми и конкурентоспособными услугами. И те, кто смогут это делать, и станут героями «новой России». Станут «суперновыми русскими».

Куда легче украсть рубли в России. Тем более что само государство уже получило название «криминально-капиталистическое». А так как на эти же рубли можно по чрезвычайно низкой цене купить валюту, то и получается, что главными героями нашего времени стали именно бандиты, авторитеты, взяточники и кидалы из пирамид. Таковы «новые русские».

В новой валютной стратегии Россия превратится в самую дешевую страну мира (в смысле валютных цен), в некотором смысле вся Россия становится беспошлинной зоной. Ввоз товаров для валютной торговли полностью освобождается от ввозных пошлин (за исключением акцизов). Вместо ввозной пошлины на товары вводится вывозная пошлина на валюту. Фактически это обычный коммуникационный сбор за пересылку валюты из ЦБ РФ в Международный банк, так как выход валюты из России идет именно и исключительно через Мировой обменно-депозитный банк.

Потоку товаров из-за рубежа соответствует противоток валюты из России. И вместо того чтобы контролировать поток товаров, легче контролировать противоток валюты и на нем собирать пошлины. Но они должны быть умеренны, чтобы валютный рынок в России был самым дешевым в мире. Это необходимо, чтобы сами россияне могли свои небольшие валютные резервы потратить с наибольшей пользой, чтобы россиянам было выгодней тратить валюту внутри страны, а не вне ее, чтобы даже иностранцам было выгодно покупать в России собственные товары. Другими словами, необходима политика привлечения в Россию валютных средств всеми цивилизованными способами.

Отметим, что сейчас от того, сколько валюты находится в России, государство практически никаких выгод не имеет. Поэтому оно заинтересовано только в налоговой стрижке. В новой системе государство получает доходы от валюты, которая находится на территории России. Ведь реальная валюта находится в западных банках, причем проценты по корреспондентским счетам – это чистый доход МОДБ, который по Уставу есть учредительская прибыль, то есть прибыль государств-учредителей.

Создание параллельной валютной системы на основе мирового валютного средства станет окончательным завершением преобразования денежной системы России и главным фактором экономического подъема России в XXI веке.

Теория цен и проблемы ценоустановления

Теория цен товаров массового спроса

В настоящее время существует несколько теорий цен. Наиболее распространенными являются две теории.

Теории производственных цен (Рикардо, Смит, Маркс) исходят из того, что в основе цены лежат производственные затраты.

В теории потребительских цен упор делается на потребителя и на его предпочтения.

В наиболее распространенной в настоящее время теории цен демонстрируется, как цены устанавливает рынок на основе равенства спроса и предложения.

Однако к проблеме цен можно подойти и по-иному.

Цены устанавливает продавец, а не рынок и не покупатель. Реакция покупателя, а через него и рынка является вторичной. И теория цены должна прежде всего дать инструмент установления цены для производителя, а не только описывать коллективное взаимодействие всего рыночного механизма. Ведь конкретному продавцу или производителю мало утешения от того, что рынок сам «определит» цену, ибо к тому времени он может разориться. Значит, теория цены должна дать конкретному продавцу или производителю некоторые определенные советы и рекомендации, как установить цену на товар прежде, чем вынести его на рынок.

Порок все прошлых теорий цен состоит в том, что в них действуют не субъекты, а объекты рыночных отношений. Но рынок – это не ансамбль молекул, а поле взаимодействия разумных людей. И вот человеческий разум как раз и отсутствует в этих теориях.

1. Кривые и области производственного предложения

Рассмотрим производство некоторого товара.

Прежде чем произвести товар, его необходимо разработать. Например, прежде чем начать производство зубной пасты, телевизора или стиральной машины, необходимо затратить определенные средства на разработку этих товаров. Пусть эти затраты равны A. Естественно, что затраты на разработку не зависят от объема производства самого товара.

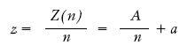
В процессе непосредственного производства существуют производственные затраты – на сырье, полуфабрикаты, электроэнергию, амортизационные затраты, на зарплату и т. д. Эти затраты можно отнести на производство единицы продукции. Пусть затраты на изготовление единицы товара равны a. Отметим, что в эти затраты мы сразу включили и некоторую нормальную производственную прибыль. Тогда полные затраты Z на производство n единиц товара будут функцией количества произведенного товара, для которой можно написать уравнение:

Z(n) = A + n a

Соответственно для полных производственных затрат на единицу товара можно записать следующее уравнение:

Денежное обращение в эпоху перемен - _341.jpg

Величину z мы назовем ценой производителя. Цена производителя не есть какая-то определенная величины, а есть функция объема производства. Чем больше объем производства, тем ниже цена производителя. На рис. 21 изображен график цены производителя в зависимости от объема производства, где Z – производственные затраты, a – цена изготовления.

График этой кривой представляет собой гиперболу, которая плавно спадает с ростом объема производства. При достаточно большом объеме производства она стремится асимптотически к затратам на чистое изготовление a. Если взять некоторый объем производства n 0, то общие производственные затраты будут Z = z n0, которые на диаграмме выразятся в виде заштрихованного прямоугольника.

105
{"b":"91647","o":1}