Литмир - Электронная Библиотека
Содержание  
A
A

Вследствие антисимметричности многоэлектронной функции Ψ(x1,...,xN) относительно перестановок

Квантовая химия — ее прошлое и настоящее. Развитие электронных представлений о природе химической связи - img_253.jpeg
естественные заселенности орбиталей лежат в пределах 0≤nν≤2, т. е. каждое бесспиновое состояние может быть занято не более чем двумя электронами, причем этим двум электронам сопоставляются спин-орбитали с разными спиновыми множителями, а именно ψν(r)α(σ) и ψν(r)β(σ). Нормировка одноэлектронной матрицы плотности на число электронов в системе (N) означает, что сумма всех естественных заселенностей равна N.

Многоэлектронные функции Ψ(x1,...,xN) содержат очень большую информацию, значительная часть которой, как правило, не представляет физического интереса. Дело в том, что операторы, соответствующие наблюдаемым физическим величинам, являются суммами одно- и двухчастичных операторов

Квантовая химия — ее прошлое и настоящее. Развитие электронных представлений о природе химической связи - img_254.jpeg
(4.22)

Каждый из операторов

Квантовая химия — ее прошлое и настоящее. Развитие электронных представлений о природе химической связи - img_255.jpeg
i действует только на одну переменную (xj), и каждый из операторов
Квантовая химия — ее прошлое и настоящее. Развитие электронных представлений о природе химической связи - img_256.jpeg
ij действует только на две переменные (хi и хj. Поэтому при вычислении ожидаемых значений одноэлектронные физические величины определяются исключительно одноэлектронной, а дьухэлектронныефизические величины — двухэлектронной матрицей плотности. Последняя заключает в себе фактически всю необходимую информацию о состоянии многоэлектронной системы.

Из всего сказанного выше можно сделать вывод, что использование формализма матрицы плотности в. квантовохимических расчетах должно существенно упрощать их физическую и химическую интерпретацию.

Наиболее полное и строгое изложение метода матрицы плотности в теории молекул дано в монографии М. М. Местечки на [17].

Канонические и локализованные молекулярные орбитали

Молекулярные орбитали fiопределяются обычно как собственные функции некоторого одноэлектронного гамильтониана

Квантовая химия — ее прошлое и настоящее. Развитие электронных представлений о природе химической связи - img_257.jpeg
:

Квантовая химия — ее прошлое и настоящее. Развитие электронных представлений о природе химической связи - img_258.jpeg
(4.23)

В качестве

Квантовая химия — ее прошлое и настоящее. Развитие электронных представлений о природе химической связи - img_259.jpeg
должен использоваться в принципе оператор Хартри-Фока (фокиан), оптимальным образом учитывающий согласованное взаимодействие электронов в молекуле (см. гл. 3). Этот оператор часто аппроксимируется полуэмпирическими модельными одноэлектронными гамильтонианами. В любом случае предполагается, что симметрия гамильтониана
Квантовая химия — ее прошлое и настоящее. Развитие электронных представлений о природе химической связи - img_260.jpeg
соответствует симметрии молекулы. При этом собственные функции гамильтониана, инвариантного относительно преобразований некоторой точечной группы симметрии, должны преобразовываться по неприводимым представлениям этой группы. Молекулярные орбитали, обладающие такими свойствами симметрии и определяемые как собственные функции одноэлектронного гамильтониана, называются каноническими молекулярными орбиталями. Уже из свойств симметрии канонических МО ясно, что их нельзя сопоставить отдельным химическим связям в молекуле. Канонические МО существенно делокализованы и не отражают экспериментально подтверждаемые аддитивность и транс-ферабельность (т. е. переносимость из одной, в другую родственную молекулу) многих молекулярных свойств.

В то же время каждой канонической МО соответствует одно-электронная энергия εi, которая, согласно теореме Купманса, определяет потенциал ионизации молекулы, то есть энергию удаления электрона из i-гo одноэлектронного состояния в молекуле. Эти орбитали могут успешно использоваться и при оценках энергий электронных возбуждений.

В однодетерминантном приближении канонические МО являются одновременно естественными молекулярными орбиталямц в том смысле, что одноэлектронная плотность представима в виде естественного разложения:

Квантовая химия — ее прошлое и настоящее. Развитие электронных представлений о природе химической связи - img_261.jpeg
(4.24)

Весьма существенным обстоятельством является (N/2)-кратное вырождение естественных заселенностей n1 = ...nN/2 = 2. Это вырождение обусловлено однодетерминантным приближением и может быть названо случайным в отличие от вырождения, наблюдаемого при достаточно высокой симметрии молекулы. Иными словами, в одноэлектронном (точнее однодетерминантном) приближении все МО, определяемые уравнением (4.23), классифицируются на "занятые" МО, заселенные парами электронов, и "свободные" или виртуальные МО, не включаемые в детерминант Слэтера и характеризуемые нулевыми электронными заселенностями.

Очевидно, что в силу указанного вырождения естественное разложение и распределение электронной плотности не изменяются при унитарном преобразовании орбиталей fi. В частности, унитарным преобразованием канонических МО можно попытаться построить МО, локализованные на отдельных атомах и связях. Такие локализованные молекулярные орбитали могут преобразовываться по приводимым представлениям точечной группы симметрии молекулы и в этом отношении существенно отличаются от канонических МО. Если некоторое преобразование симметрии меняет местами эквивалентные атомы или связи, то локализованные на этих атомах и связях МО также должны поменяться местами.

В качестве примера рассмотрим молекулу метана СН4. Канонические МО, представленные линейными комбинациями валентных АО для молекулы метана, могут иметь вид:

Квантовая химия — ее прошлое и настоящее. Развитие электронных представлений о природе химической связи - img_262.jpeg

Орбиталь f0 является полносимметричной (неприводимое представление a1 тетраэдр и ческой группы симметрии Td). Орбитали f1, f2, f3 преобразуются по трехмерному неприводимому представлению t2 и соответствуют одному и тому же трехкратно вырожденному одноэлектронному уровню εt2, определяющему первый потенциал ионизации молекулы метана.

Указанные канонические МО можно преобразовать в четыре эквивалентные относительно преобразований группы Тd, локализованные МО:

Квантовая химия — ее прошлое и настоящее. Развитие электронных представлений о природе химической связи - img_263.jpeg

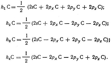
где i = 1, 2, 3, 4 и hiC — гибридные АО атома углерода, определяемые равенствами:

Квантовая химия — ее прошлое и настоящее. Развитие электронных представлений о природе химической связи - img_264.jpeg

Как гибридные АО hiC, так и локализованные

Квантовая химия — ее прошлое и настоящее. Развитие электронных представлений о природе химической связи - img_265.jpeg
преобразуются по приводимому четырехмерному представлению группы Тd: при операциях симметрии, образующих эту группу,
Квантовая химия — ее прошлое и настоящее. Развитие электронных представлений о природе химической связи - img_266.jpeg
либо не изменяется, либо переводится в другую локализованную МО. Именно в этом смысле гибридные АО hiC и локализованные
Квантовая химия — ее прошлое и настоящее. Развитие электронных представлений о природе химической связи - img_267.jpeg
называются эквивалентными. Легко видеть, что
Квантовая химия — ее прошлое и настоящее. Развитие электронных представлений о природе химической связи - img_268.jpeg
могут быть отнесены к отдельным связям С-Hi, и их локализация на отдельных связях будет тем более строгой, чем меньше разность |b-d|. Локализацию можно считать абсолютной, если а = с и b = d, но в действительности эти равенства не выполняются строго.

Каждой из эквивалентных локализованных МО соответствует одно общее значение одноэлектронной энергии:

Квантовая химия — ее прошлое и настоящее. Развитие электронных представлений о природе химической связи - img_269.jpeg
(4.25)

27
{"b":"820476","o":1}