2. Безусловно, ошибочным является исключение из рассмотрения разрыхляющего уровня, когда он заполнен только одним электроном, т. е. предположение о невозможности образования трехэлектронных связей, характеризуемых диаграммой вида
Существование таких связей с точки зрения простого метода Гайтлера-Лондона невозможно, но в действительности они реализуются (например, в ионе Не+2 и т. п.).
Историческая роль работы Леннард-Джонса состоит в том, что, во-первых, сопоставление одноэлектронных состояний в молекуле с соответствующими одноэлектронными состояниями разъединенных атомов и приписывание молекулярным электронам квантовых чисел образующих молекулу атомов заложило фундамент для развития метода МО ЛКАО — основного метода современной квантовой химии. Во-вторых, Леннард-Джонсом была высказана идея о разделении всех молекулярных электронов на электроны внутренних, замкнутых атомных оболочек и валентные электроны, определяющие в основном химические свойства молекулы аналогично тому, как это делалось в методе ВС. Эта идея используется, в частности, в современных полуэмпирических методах квантовой химии.
Формирование метода самосогласованного поля
Фундаментальное значение для разработки теории многоэлектронных систем имели работы Хартри, Гоунта и Фока, в которых был сформулирован метод самосогласованного поля (ССП). Основная идея этого метода по Хартри [47] состояла в том, что каждому электрону атома сопоставлялась некоторая одноэлектронная функция (орбиталь), аналогично тому, как в полуклассической теории атома Бора-Зоммерфельда предполагалось, что каждый атомный электрон движется по определенной орбите. Следует отметить, что в рамках квантовоме-ханической теории молекулярных спектров эта идея независимо развивалась Хундом и Малликеном, которые, однако, не предприняли попыток вычисления одноэлектронных функций, ограничиваясь, как мы видели выше, их классификацией по симметрии и энергии посредством задания соответствующих квантовых чисел.
Хартри опирался на трактовку одноэлектронной волновой функции ψ, данную Шредингером и развитую затем Клейном, согласно которой квадрат модуля |ψ|2 дает объемную плотность распределения электрического заряда в состоянии, описываемом функцией ψ. Отмечая, что такая интерпретация не является бесспорной, Хартри указывает в то же время, что она позволяет построить физически разумную модель как для стационарных состояний электронных оболочек атомов, так и для процессов излучения[28]. Принимая во внимание доказанную ранее Унзольдом теорему о сферической симметрии распределения заряда в замкнутых оболочках атомов, Хартри отмечает, что приближение центрального поля в квантовой механике является более удовлетворительным, чем в старой квантовой теории.
Хартри показал далее, что указанные допущения (одноэлектронное приближение и приближение центрально-симметричного поля) позволяют свести задачу к одномерному уравнению, определяющему движение одного электрона в центрально-симметричном некулоновском поле, создаваемом ядром и всеми прочими электронами:
(3.58)
где введенная Хартри радиальная функция Р(r) определяет радиальную плотность заряда на расстоянии г от ядра, т. е. P2dr при соответствующей нормировке функции Р является зарядом, локализованным в пространстве между двумя сферами радиусов r и r+δr; V — потенциал притяжения рассматриваемого электрона к ядру (с учетом его отталкивания от других электронов); величинае характеризует энергию электрона в состоянии, определяемом функцией Р; l — квантовое число орбитального момента импульса.
Основная трудность решения уравнения (3.58) состояла в том, что потенциал V определяется через искомые функции Р, так что уравнение оказывается нелинейным.
Хартри разработал метод решения таких уравнений, названный им процедурой самосогласования. Согласно этому методу сначала задается некоторое исходное поле (initial field), затем в это поле вносится поправка, учитывающая то, что данный электрон взаимодействует лишь с другими электронами, но не сам с собой, в результате чего получается соответствующий исходному полю потенциал V. С этим потенциалом уравнение (3.58) решается как линейное относительно Р. Соответствующее вычисленным радиальным функциям распределение заряда в атоме обусловливает новое поле, являющееся конечным для данной итерации процедуры самосогласования. Если это конечное поле достаточно близко к исходному, то решение уравнения (3.58) считается завершенным. В противном случае процедура повторяется с использованием конечного поля предыдущей итерации в качестве исходного поля последующей. Таким образом, процедура самосогласования может быть охарактеризована приводимой ниже диаграммой:

Разработанный им метод Хартри иллюстрировал расчетами для атома Не и ионов
. Выбор объектов не случаен, ибо теория была сформулирована лишь для атомов и ионов с замкнутыми оболочками. Кроме того, в ней не фигурирует явно полная многоэлектронная функция, методы построения которой были развиты позднее.
Теория Хартри, как было впервые показано Гоунтом в феврале 1928 г. [41], соответствует представлению полной N-электронной функции в виде простого произведения одноэлектронных функций
(3.59)
где xi — совокупность пространственных (xi, yi, zi) и спиновой (σi) переменных для i-го электрона.
Гоунт подчеркивает, что "полная волновая функция должна быть антисимметричной относительно любой перестановки пространственных и спиновых координат двух электронов, тогда как функции, не включающие спиновые переменные, могут иметь различный характер симметрии" [41, с. 329]. Простая же мультипликативная функция (3.59), очевидно, не удовлетворяет сформулированному условию антисимметрии. Гоунт показал, что в первом приближении полную антисимметричную функцию системы N электронов можно аппроксимировать суммой
(3.60)
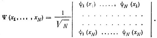
где ∑ — символ суммирования по всем перестановкам переменных (x1, x2,..., xN), причем xi = (ri, σi); знак "+" относится к четным, а "-" — к нечетным перестановкам. Очевидно, что данное Гоунтом выражение (3.60) определяет детерминант, составленный из спин-орбиталей ψp(xa):
(3.61)
Независимо от Гоунта (и почти на год позже) такое представление многоэлектронной функции было предложено Слэтером (1929 г,) [80] и названо его именем (детерминант Слэтера)[29].
В начале 1928 г. появилась работа Уолера и Хартри [83], в которой был дан анализ перестановочной симметрии многоэлектронной функции для систем как с замкнутыми, так и с открытыми оболочками. При этом полная функция системы строилась из бесспиновых орбиталей в виде произведения двух детерминантов. В один из них включались орбитали со спином вверх, а в другой — со спином вниз:
Такое представление функции
обеспечивает ее антисимметричность относительно перестановок в каждой из двух групп аргументов r
i, разделенных вертикальной чертой. (Заметим, что волновая функция Уолера-Хартри не содержит спиновых переменных!
[30]) Однако функция (3,62) необладает определенной симметрией относительно перестановок аргументов между указанными двумя группами
[31].