Литмир - Электронная Библиотека
Содержание  
A
A

В основу современной теории самосогласованного поля легла работа Фока [39], впервые доложенная им 17 декабря 1929 г. на заседании Русского физико-химического общества и напечатанная в 1930 г. в журнале "Zeitschrift fur Physik" и в 1931 г. в "Трудах ГОИ". Фок показал, что при использовании функции Уолера-Хартри и вариационного начала "для волновой функции отдельных электронов получаются уравнения, которые отличаются от уравнений Хартри тем, что содержат члены, передающие так называемый квантовый обмен" [39, с. 126].

При сопоставлении двух методов построения волновой функции Гоунта-Слэтера и Уолера-Хартри необходимо отметить следующее:

а) первый обладает перед вторым тем преимуществом, что он строже учитывает антисимметрию полной многоэлектронной волновой функции относительно перестановок, а именно: однодетерминантная функция Гоунта-Слэтера антисимметрична относительно перестановок электронов не только с одинаковыми, но и с различными значениями спиновых переменных, в то время как в методе Уолера-Хартри электроны с различными значениями спиновых переменных считаются различимыми, и многоэлектронная функция в этом методе не обладает определенной симметрией относительно перестановок координат таких электронов[32];

б) с другой стороны, как показал Фок, функция Уолера-Хартри может быть домножена на многоэлектронную спиновую функцию, являющуюся собственной функцией оператора к в то время как детерминантная функция Слэтера в общем случае не удовлетворяет этому условию. Второе из указанных обстоятельств обусловливает преимущество функции Уолера-Хартри, особенно при обобщении метода ССП на системы с ненулевым полным спиновым моментом. Такие системы широко изучаются в современной химии и биохимии как экспериментально, так и теоретически, поэтому интерес к методу Уолера-Хартри в последнее время возрос. Плодотворность идеи Фока об использовании вариационного начала также проявилась в полной мере в последние годы, когда были развиты методы прямой минимизации функционала электронной энергии.

В 1930-1940 гг. метод Хартри-Фока использовался в основном при расчетах атомных структур, что объясняется возможностью введения дополнительных упрощений, связанных со сферической симметрией задачи (приближение центрального поля).

В 1951 г. ученик Малликена Рутан сформулировал метод Хартри-Фока для молекулярных систем с замкнутыми оболочками [75]. Особенность метода Рутана, отличающая его от исходного метода ССП, состояла в представлении молекулярных орбиталей в виде линейной комбинации атомных. Таким образом, идеи, разработанные в 1920-1930 гг. в теориях Хунда-Малликена, Хартри-Фока, Леннард-Джонса и Слэтера, нашли свое выражение в рамках единого формализма.

С внедрением в начале 50-х годов в практику квантовохимических исследований быстродействующих ЭВМ начался качественно новый этап развития теории строения молекул. Основное внимание исследователей сосредоточилось не столько на качественных аспектах теории химической связи, сколько на развитии методов количественного расчета молекулярных свойств. Однако рассмотрение этой стороны развития теории не входит в нашу задачу. Мы ограничимся в дальнейшем обсуждением лишь некоторых новых результатов, относящихся к описанию структуры химической связи, а также квантовомеханической интерпретации понятий классической теории химического строения.

Глава 4. Современные методы исследования структуры химической связи

Матрица плотности и некоторые замечания о квантовомеханическом описании одкозяектронных и многоэлектронных состояний

В квантовой механике состояние частицы с энергией е описывается волновой функцией ψ(r), которая удовлетворяет уравнению Шредингера

Квантовая химия — ее прошлое и настоящее. Развитие электронных представлений о природе химической связи - img_210.jpeg
(4.1)

При этом любому физическому состоянию частицы можно сопоставить множество волновых функций, отличающихся друг от друга множителем exp(iα) с вещественным параметром а, не зависящим от координат частицы. Иными словами, волновая функция ψ'(r) = exp (iα)ψ(r), и в частности ψ'(r) = — ψ(r) (α = π), так же как и ψ(r), будет собственной функцией гамильтониана с тем жезначением энергии ε. Если волновая функция ψ(r) нормирована на единицу:

Квантовая химия — ее прошлое и настоящее. Развитие электронных представлений о природе химической связи - img_211.jpeg
(4.2)

то такому же условию нормировки будет удовлетворять волновая функция ψ'(r). Математические ожидания всех физических величин, представленных операторами

Квантовая химия — ее прошлое и настоящее. Развитие электронных представлений о природе химической связи - img_212.jpeg
и вычисляемых как интегралы

Квантовая химия — ее прошлое и настоящее. Развитие электронных представлений о природе химической связи - img_213.jpeg
(4.3)

также не меняются при рассматриваемом преобразовании. Именно это обстоятельство и доказывает, что волновые функции ψ и ψ' описывают одно и то же состояние частицы.

Действие оператора

Квантовая химия — ее прошлое и настоящее. Развитие электронных представлений о природе химической связи - img_214.jpeg
на ψ(r) определяется по формуле

Квантовая химия — ее прошлое и настоящее. Развитие электронных представлений о природе химической связи - img_215.jpeg
(4.4)

Функция μ в (4.4) называется ядром оператора

Квантовая химия — ее прошлое и настоящее. Развитие электронных представлений о природе химической связи - img_216.jpeg
в его интегральном представлении. При таком представлении операторов
Квантовая химия — ее прошлое и настоящее. Развитие электронных представлений о природе химической связи - img_217.jpeg
легко видеть, что математическое ожидание

Квантовая химия — ее прошлое и настоящее. Развитие электронных представлений о природе химической связи - img_218.jpeg
(4.5)

определяется фактически не функцией ψ(r), а произведением двух ψ-функций

Квантовая химия — ее прошлое и настоящее. Развитие электронных представлений о природе химической связи - img_219.jpeg
(4.6)

которое называется матрицей плотности для частицы, нахо дящейся в определенном состоянии. Строго говоря, матрица плотности ρ(r|r') не может быть матрицей в обычном смысле этого слова, если координаты r, нумерующие ее строки, и координаты r', нумерующие ее столбцы, не дискретны. Тем не менее термин "матрица плотности" для ρ(r|r') является общепринятым.

Матрица плотности становится истинной матрицей, если она представлена в некотором базисе функций Xk(r), т. е. определяется совокупностью матричных элементов Pkl, по которым можно воспроизвести ρ(r|r') согласно равенству

Квантовая химия — ее прошлое и настоящее. Развитие электронных представлений о природе химической связи - img_220.jpeg
(4.7)

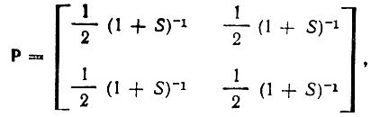
В качестве функций Xk(r) в квантовой химии чаще всего используются атомные орбитали, центрированные на ядрах атомов, образующих молекулу. Например, для молекулы Н2+ матрица плотности в двухцентровом базисе 1s-орбиталей атомов водорода имеет вид

Квантовая химия — ее прошлое и настоящее. Развитие электронных представлений о природе химической связи - img_221.jpeg

где S — интеграл перекрывания базисных АО.

Матричные элементы Рkl получаются из коэффициентов разложения МО в базисе АО:

Квантовая химия — ее прошлое и настоящее. Развитие электронных представлений о природе химической связи - img_222.jpeg

по формуле

Квантовая химия — ее прошлое и настоящее. Развитие электронных представлений о природе химической связи - img_223.jpeg

Зависимость матрицы плотности ρ(r|r') от r и r' не следует понимать в том смысле, что она зависит от координат двух частиц.

В действительности r и r' представляют собой две различные (но возможно и совпадающие) точки пространства, в которых может быть локализована одна рассматриваемая частица. При этом плотность вероятности локализации ее в некоторой точке r равна диагональному элементу

Квантовая химия — ее прошлое и настоящее. Развитие электронных представлений о природе химической связи - img_224.jpeg
. Именно эту функцию характеризуют часто используемые в квантовой химии карты распределения электронной плотности. Функция ρ(r) содержит информацию, достаточную для вычисления математических ожиданий тех весьма многочисленных физических величин, операторы которых не включают интегрирования или дифференцирования. Например, дипольный момент d электронной системы относительно центра координат представлен одноэлектронным оператором с ядром[33]:

вернуться

32

В этом смысле она не является ни симметричной, ни антисимметричной при перестановке координат, стоящих в выражении (3.62) по разную сторону от вертикальной черты, т. е. в разных детерминантах, а подчиняется циклической симметрии, установленной, как уже отмечалось, Фоком в 1940 г.

вернуться

33

Функция Дирака σ(r — r') относится к классу так называемых обобщенных функций и определяется равенством

Квантовая химия — ее прошлое и настоящее. Развитие электронных представлений о природе химической связи - img_225.jpeg
)

25
{"b":"820476","o":1}