Литмир - Электронная Библиотека
Содержание  
A
A

Квантовая химия — ее прошлое и настоящее. Развитие электронных представлений о природе химической связи - img_364.jpeg

и ГАО атома В2, отличающиеся от указанных лишь знаком коэффициента при 2pz-орбитали.

Гибридные АО бора h1 и h2, ориентированные к периферийным атомам водорода H1 и Н2, образуют угол 120°; угол h'j-орбиталями, ориентированными к мостиковым атомам водорода H'j, существенно меньше и составляет 102° (ср. с углами на рис.19).

Интересный елучай представляет молекула циклопропана, особенностью которой, отличающей ее от молекул большинства других органических соединений, является аномально-малый угол между связями С-С. Три атома углерода в циклопропане образуют правильный треугольник с углами в 60°, что существенно меньше обычных значений 109,5° для насыщенных и 120° для сопряженных ненасыщенных соединений (рис. 20).

Квантовая химия — ее прошлое и настоящее. Развитие электронных представлений о природе химической связи - img_365.jpeg

Рис. 20. Молекула циклопропана

Для описания структуры химической связи в циклопропане были предложены две модели. Согласно модели Коулсона и Моффита [36], в циклопропане реализуются три локализованные двухцентровые двухэлектронные связи углерод-углерод. Образующие эти связи гибридные АО ориентированы навстречу друг другу, но не строго по линии С-С, а под некоторым углом к ней (рис. 21). Из условия ортогональности вещественных гибридных АО следует, что этот угол не может быть меньше 15°. Особые химические свойства циклопропана, близкие к свойствам алкенов (хотя он относится к насыщенным углеводородам), объясняются в рамках модели Коулсона и Моффита тем, что "банановые" МО циклопропана подобны эквивалентным банановым МО, которые получают — π-типа в алкенах.

Квантовая химия — ее прошлое и настоящее. Развитие электронных представлений о природе химической связи - img_366.jpeg

Рис. 21. Модель Коулсона и Моффита для молекулы циклопропана

Согласно модели Уолша [84], в циклопропане реализуются две трехцентровые межуглеродные связи, одна — двухэлектронная, а другая — четырехэлектронная (рис. 22). Двухэлектронной связи соответствует полносимметричная трехцентровая МО, четырехэлектронной — две вырожденные МО, образованные "чистыми" 2р-орбиталями углерода и преобразующиеся по двумерному неприводимому представлению группы симметрии молекулы D3h).

Квантовая химия — ее прошлое и настоящее. Развитие электронных представлений о природе химической связи - img_367.jpeg

Рис. 22. Модель Уолша для молекулы циклопропана

Метод эталонной матрицы плотности позволяет сравнить качество альтернативных моделей и вычислить отвечающие им коэффициенты гибридизации АО углерода. Вычисленный s-xaрактер ГАО, реализующих двухцентровые углерод-углеродные связи в модели Коулсона и Моффита, χs = 18%, и вычисленное значение угла между этими ГАО (принадлежащими общему атому углерода) равно 102°, что означает их отклонение на 21° от линии, связывающей атомные ядра. Гибридные АО, реализующие трехцентровые двухэлектронные связи в модели Уолша, определяются значением χs = 35% и ориентацией к центру молекулы циклопропана. Наконец, гибридные АО, реализующие углерод-водородные связи, как свидетельствуют вычисления, почти не зависят от выбора модели и ориентированы вдоль линии С-Н.

Погрешности, вносимые в одноэлектронную матрицу плотности молекулы циклопропана локализацией МО, характеризуются величинами:

Квантовая химия — ее прошлое и настоящее. Развитие электронных представлений о природе химической связи - img_368.jpeg

Таким образом, модель Коулсона-Моффита, предполагающая более высокую степень локализации МО, не уступает по точности модели Уолша и даже несколько превосходит ее. Однако различие в точности рассматриваемых моделей достаточно мало, и ни одну из них нельзя считать ошибочной.

Анализ заселенности атомных орбиталей

[23]

В квантовой химии функции Ψ, описывающие состояния многоэлектронных систем, обычно выражаются через АО или подобные им более элементарные функции, центрированные на различных ядрах молекулы. Такой выбор одноэлектронного базиса {φ} основан на предположении, что атом, представленный определенным набором орбиталей в таком базисе, сохраняет в молекуле свою индивидуальность. В связи с этим встает задача построения формализма, позволяющего характеризовать состояния химически связанных атомов и установить корреляции между этими состояниями и состояниями невзаимодействующих атомов.

Анализ заселенностей орбиталей, представляющих атом в молекуле, в значительной степени определяет его валентное состояние и является Эффективным средством исследования природы химической связи, ее анатомии, аддитивности и трансферабельности связанных с атомами молекулярных свойств или их зависимости от окружения рассматриваемого атома в различных соединениях. Анализ заселенностей АО позволяет осуществить выбор базисных функций, соответствующих валентным состояниям атомов, и необходим при расчете электронной структуры молекул и кристаллов полуэмпирическими методами с самосогласованием по формальным зарядам и валентным конфигурациям

атомов. Однако анализ заселенностей осложняется перекрыванием атомных орбиталей в молекуле.

Если последние ортогональны, т. е. не перекрываются, то их заселенности определяются однозначно. При этом заселенность па имеет смысл вероятности нахождения электрона в состоянии, заданном атомной орбиталью φа, и может быть выражена как математическое ожидание:

Квантовая химия — ее прошлое и настоящее. Развитие электронных представлений о природе химической связи - img_369.jpeg
(4.58)

Если атомные орбитали неортогональны, то положение осложняется. Понятие заселенности отдельной АО становится неоднозначным и распадается на дополняющие друг друга понятия полной, неподеленной и аддитивной заселенности и заселенности перекрывания, которые связаны с различными способами ортонормировки атомно-орбитального базиса {φ}.

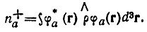
Полные заселенности (n+а) орбиталей φа неортогонального базиса {φ} определяются аналогично заселенностям ортогонального базиса:

Квантовая химия — ее прошлое и настоящее. Развитие электронных представлений о природе химической связи - img_370.jpeg
(4.59)

Предполагая, что оператор электронной плотности ρ представлен в базисе {φ} матрицей

Квантовая химия — ее прошлое и настоящее. Развитие электронных представлений о природе химической связи - img_371.jpeg
, определение (4.59) можно переписать также в виде

Квантовая химия — ее прошлое и настоящее. Развитие электронных представлений о природе химической связи - img_372.jpeg
(4.60)

Детальное исследование заселенностей n+a было проведено Дэвидсоном [37] и Роби [74], которые показали, в частности, что

Квантовая химия — ее прошлое и настоящее. Развитие электронных представлений о природе химической связи - img_373.jpeg

где n1 — наибольшая из естественных заселенностей. Это неравенство, как и аналогичные неравенства для определяемых ниже заселенностей n-a и n0а, следует из условия антисимметрии многоэлектронной функции Ψ(х1,..., хN) относительно перестановок электронных координат.

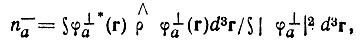
Неподеленную заселенность (n-а) орбитали φа можно определить как заселенность ее компоненты, которая ортогональна ко всем прочим орбиталям φ:

Квантовая химия — ее прошлое и настоящее. Развитие электронных представлений о природе химической связи - img_374.jpeg
(4.62)

где

Квантовая химия — ее прошлое и настоящее. Развитие электронных представлений о природе химической связи - img_375.jpeg
(4.63)

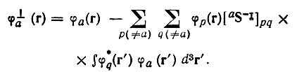
aS в формуле (4.63) обозначает матрицу перекрывания, полученную из полной матрицы S вычеркиванием интегралов перекрывания Sab, включающих рассматриваемую орбиталь φа.Такая ортогонализация (аналогичная ортогонализации по методу Шмидта) исключает из полной заселенности n+а ту ее часть, которая принадлежит не только φа, но и остальным орбиталям неортогонального базиса (рис. 23).

Квантовая химия — ее прошлое и настоящее. Развитие электронных представлений о природе химической связи - img_376.jpeg

Рис. 23. Геометрическая иллюстрация к определению неподеленной электронной заселенности

32
{"b":"820476","o":1}