Найти уравнения Максвелла нетрудно, но «вывести» их невозможно, так же как невозможно вывести законы Ньютона. Конечно, и уравнения Ньютона и уравнения Максвелла могут быть выведены из других принципов, которые приходится принимать без доказательства, но эти принципы, как и сами уравнения Максвелла или Ньютона, представляют собой обобщения опыта. «Теория Максвелла — это уравнения Максвелла»,— сказал Герц.
В «физических линиях силы» Максвелл прежде всего обосновывает выражение силы, действующей на каждый элемент среды, в которой находятся заряды, токи, магниты. Максвелл мыслит среду заполненной молекулярными вихрями, силы, действующие в этой среде в одной и той же точке, зависят от направления, они носят, как мы теперь говорим, тензорный характер. Далее Максвелл записывает свои знаменитые уравнения. Новым по сравнению с работой о фарадеевских линиях силы здесь является четкое установление связи между изменениями магнитного поля и возникновением электродвижущей силы. Его уравнение (точнее, «триплет» уравнений для компонентов) определяет «отношения между изменениями состояния магнитного поля и электродвижущими силами, ими обусловленными».
Другой важной новостью является введение понятий смещения и токов смещения. Смещение, по Максвеллу,— это характеристика состояний диэлектрика в электрическом поле. Полный поток смещения через замкнутую поверхность равен алгебраической сумме зарядов, находящихся внутри поверхности. «Это смещение, — пишет Максвелл,—не представляет собой настоящего тока потому, что, достигнув определенной величины, оно остается постоянным. Но это есть начало тока, и изменения смещения образуют токи в положительном или отрицательном направлении в зависимости от того, увеличивается смещение или уменьшается». Так вводится фундаментальное понятие тока смещения. Этот ток, так же как и ток проводимости, создает магнитное поле. Поэтому Максвелл обобщает то уравнение, которое ныне называется первым уравнением Максвелла, и вводит в первую часть ток смещения. В современных обозначениях это уравнение Максвелла имеет вид:

Далее Максвелл считает поле носителем энергии, которая распространяется по всему объему. Энергия электрического поля выражается следующей формулой:
И наконец, Максвелл находит, что в его упругой среде распространяются поперечные волны со скоростью света. Этот фундаментальный результат приводит его к важному выводу: «Скорость поперечных волновых колебаний в нашей гипотетической среде, вычисленная из электромагнитных опытов Кольрауша и Вебера, столь точно совпадает со скоростью света, вычисленной из оптических опытов физо, что мы едва ли можем отказаться от вывода, что свет состоит из поперечных колебаний той же самой среды, которая является причиной электрических и магнитных явлений. Таким образом, в начале 60-х годов XIX в. Максвелл уже нашел основы своей теории электричества и магнетизма и сделал важный вывод о том, что свет представляет собой электромагнитное явление.
Продолжая разработку теории, Маквелл в 1864—1865 гг. опубликовал свою «Динамическую теорию поля». В этой работе теория Максвелла принимает завершенный вид и новый объект научного исследования, введенный фараде-ем, — электромагнитное поле — получает точное определение. «Та теория, которую я предлагаю, — пишет Максвелл, — может быть названа теорией электромагнитного поля, потому что она имеет дело с пространством, окружающим электрические или магнитные тела, и она может быть названа также динамической теорией, поскольку она допускает, что в этом пространстве имеется материя, находящаяся в движении, посредством которой и производятся наблюдаемые электромагнитные явления.
Электромагнитное поле — это та часть пространства, которая содержит в себе и окружает тела, находящиеся в электрическом или магнитном состоянии».
Таково первое в истории физики определение электромагнитного поля, фарадей не употребляет термина «поле», он говорит о реальном существовании физических линий силы. Только со времени Максвелла в физике появляется понятие поля, которое служит носителем электромагнитной энергии.
Для описания поля Максвелл вводит скалярные и векторые функции координат. Векторы он обозначает заглавными буквами немецкого готического шрифта, но в вычислениях оперирует с их компонентами. Векторные уравнения он расписывает в координатах, получая соответствующие тройки («триплеты») уравнений.
В «Трактате по электричеству и магнетизму» он дает сводку главных величин, используемых в его электромагнитной теории. Термины, обозначения, самый смысл, вкладываемый Максвеллом в содержание вводимых понятий нередко значительно отличаются от современных. Так, величина «электромагнитный момент», или «электромагнитное количество движения» в точке, играющая в концепции Максвелла фундаментальную роль, в современной физике, является вспомогательной величиной, вектор — потенциалом А. Правда, в квантовой теории она вновь получила фундаментальное значение, но экспериментальная физика, радиотехника и электротехника придают ей чисто формальное значение.
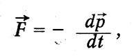
В теории Максвелла эта величина связана с магнитным потоком. Циркуляция вектора-потенциала по замкнутому контуру равна магнитному потоку через поверхность, охватываемую контуром. Магнитный поток обладает инерционными свойствами, и электродвижущая сила индукции по правилу Ленца пропорциональна скорости изменения магнитного потока, взятого с обратным знаком. Отсюда напряженность индукционного электрического поля:
Максвелл считает это выражение аналогичным выражению для силы инерции в механике:
где
- механический импульс, или количество движения. Эта аналогия объясняет термин, введенный Максвеллом для вектор-потенциала. Сами уравнения электромагнитного поля в теории Максвелла имеют вид, отличный от современного.
В современной форме система уравнений Максвелла имеет следующий вид:
Этими уравнениями вектор магнитной индукции B и вектор напряженности электрического поля Е выражаются через векторный потенциал А и скалярный потенциал V. Максвелл выписывает далее выражение пондеромоторной силы f, действующей со стороны поля с магнитной индукцией В на единицу объема проводника, обтекаемого током с плотностью j:
К этому выражению он добавляет «уравнение намагничивания »:
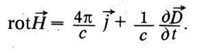
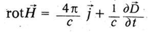
и «уравнение электрических токов» (ныне первое уравнение Максвелла):
Связь между вектором смещения D и напряженностью электрического поля E у Максвелла выражается уравнением:
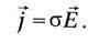
Максвелл выписывает далее закон Ома в дифференциальной форме:
Затем выписывает уравнение divD = р и уравнение где
,а также пограничное условие:
Такова система уравнений Максвелла. Важнейший вывод из этих уравнений заключается в существовании поперечных электромагнитных волн, распространяющихся в намагниченном диэлектрике со скоростью: где