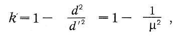
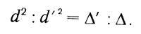
Эта гипотеза частичного увлечения эфира помогла Френелю объяснить, почему «видимая рефракция не изменяется с изменением направления световых лучей по отношению к движению Земли», как это обнаружил Араго и позднее Эйри (1801-1892). При этом Френель полагает, что квадраты длин волн в эфире и преломляющей среде относятся как плотности этих двух сред:
Отсюда коэффициент увлечения
где μ —показатель преломления среды.(Если брусок с плотностью эфира А' перемещается со скоростью v параллельно своей образующей, то в нем ежесекундно происходит изменение плотности эфира v(Д' — д). Jo же изменение происходит, если предположить, что весь эфир А' движется со скоростью v1 = kv. Приравняв оба выражения v(Д'— Д) —Л»Д', получим формулу Френеля)
Френель показывает, что аберрационный эффект не изменится, если трубу телескопа заполнить водой, что и было подтверждено опытом Эйри в 1871 г. Идея этого опыта принадлежала Бошко-вичу. формула же коэффициента увлечения была подтверждена в 1851 г. опытом физо, повторенным в 1886 г. Майкельсоном, производившим этот опыт с Морли, и в 1914 г. Зееманом.
Таковы важнейшие результаты, полученные Френелем в оптике. Следует добавить, что Френель не ограничивался теоретическими исследованиями, он стремился сочетать их с экспериментом. Так, всемирную известность приобрела изобретенная им система освещения маяков, в которой важнейшей составной частью была сконструированная им ступенчатая линза, описанная в ме-муаре, представленном в Академию наук 29 июля 1822 г.
Фраунгофер. Современником Френеля был немецкий оптик Йозеф фраунгофер (1787—1826). Сын бедного баварского стекольщика, он рано начал трудовой путь, работая вместе с отцом по стекольному делу, фраунгофер до 14 лет был неграмотным. Оставшись к 12 годам круглым сиротой, он был определен учеником в зеркальную и стекольную мастерскую. Он попал в аварию, когда рухнули два ветхих дома, в том числе и дом с мастерской, и жильцы оказались погребенными под обломками. Все погибли, и лишь четырнадцатилетнего фраунго-фера откопали в очень тяжелом состоянии. Этот случай имел, однако, и благоприятные для Фраунгофера последствия. Очевидец катастрофы банкир Утцшнейдер стал оказывать покровительство фраунгоферу, и тот смог, продолжая работать в мастерской, посещать воскресную школу. Упорный труд превратил фраунгофера в хорошего мастера оптического стекла, и в 1806 г. Утцшнейдер определил его в Оптико-механический институт, принадлежавший фирме Рейхенбаха, Утцшнейдера и Либгерра.
Мастерство и талант помогли Фраунгоферу быстро сделать карьеру. Через год, в 1807 г. он становится оптиком института, через два — совладельцем фирмы, еще через два года он стоит во главе всей баварской оптической промышленности. Созданная им оптическая фирма «Утцшнейдер и Фраунгофер» получила мировую славу, производя первоклассные оптические инструменты. Так фраунгофер прошел путь от бедного неграмотного сироты, ученика стекольного ремесленника, до владельца мировой оптической фирмы, профессора и академика.
Два открытия в оптике обессмертили имя фраунгофера. В 1802 г. Волластон наблюдал в спектре Солнца семь темных линий. Он считал их границами отдельных цветных участков и не исследовал подробно. Только после того как фраунгофер детально изучил это явление (1814—1815) и описал его в 1817 г., в физике появился термин «фраунгоферовы линии», который сохранился до настоящего времени, фраунгофер зафиксировал большое число темных линий и важнейшие из них обозначил буквами.
Вторым фундаментальным открытием фраунгофера была дифракция в параллельных лучах и изобретенная им дифракционная решетка.( Американец Риттенхауз открыл принцип дифракционной решетки в 1785 г (См.. Вольф Э., Борн М Основы оптики. — М.: Наука, 1970, с. 443) ) Теория решетки с волновой точки зрения была дана в монографии Шверда (1792 — 1871) «Явления дифракции, выведенные аналитически из фундаментальных законов волновой теории», вышедшей в свет в 1835 г., через 9 лет после смерти фраунгофера. Таким образом, фраунгофер сделал после Ньютона новый важный шаг в развитии спектроскопии, подготовив почву для открытия Кирхгофа и Бунзена.
Скорость света. Успехи оптики первой половины XIX столетия не ограничились открытиями, описанными выше. Совершенствование экспериментальной техники позволило взяться за решение задачи, поставленной Галилеем: определить прямыми методами скорость света. Задача эта была решена в середине века почти одновременно двумя французскими физиками: Ипполитом физо (1819-1896) и Леоном Фуко (1819-1868). физо разработал технически идею Галилея. Прерывание светового потока, идущего от источника света, он осуществил автоматически — вращением зубчатого колеса.
Пучок света, пройдя через промежуток между зубцами, распространяется на некоторое расстояние (в опыте физо около 9 км), отражается от зеркала и идет обратно. Если колесо неподвижно, он попадет в тот же промежуток и направится в глаз наблюдателя. Если же колесо вращается, то в зависимости от скорости вращения отраженный пучок попадет либо на зубец, либо в следующий промежуток.
Меняя скорость вращения колеса и измеряя число его оборотов, можно определить промежуток времени между двумя прохождениями света и скорость света.
физо провел свой опыт в 1849 г., получив для скорости света значение 313000км/с.
В установке Фуко применен метод вращающегося зеркала. Особенностью этого метода была возможность сравнения скорости света в воздухе и воде. Первые же наблюдения, проведенные в 1850 г., показали, что скорость света в воде меньше, чем в воздухе. Этот результат рассматривался в то время как решающий аргумент в пользу волновой теории, так что первая половина XIX в. ознаменовалась решительной победой волновой оптики Гюйгенса— Френеля. Корпускулярная теория была сдана в архив. Но через полвека ее идеи вновь привлекли внимание физиков.
Рис. 29. Параллелепипед Френеля
Рис. 30. Призма Френеля
Возникновение электродинамики и её развитие до Максвелла
Успехи электростатики, завершившиеся открытием количественного закона электрических взаимодействий, казалось, предопределили дальнейший путь развития науки об электричестве: накопление экспериментальных фактов в области электростатики, усовершенствование электростатических машин и электрометров, построение математической теории электростатических и магнитостатических взаимодействий. Все это, действительно, и происходило: накапливались новые факты, усовершенствовались приборы и аппараты, появились чувствительные электроскопы, в частности электроскоп Вольты с соломинками, снабженный конденсатором (1782), электроскоп Беннета с золотыми листочками (1787). Вольта установил связь между количеством электричества, емкостью и напряжением. Под термином «напряжение» он понимал «усилие, производимое каждой точкой наэлектризованного тела, чтобы избавиться от имеющегося в ней электричества и передать его другим телам, каковому усилию соответствуют, вообще говоря, проявления притяжения, отталкивания и т. д. и, в частности, степень расхождения листочков электрометра».

Рис. 31. Схема опыта измерения скорости света по Физо
Физики впоследствии отметили заслугу Вольты во введении в науку такого важного понятия, как «напряжение», присвоением единице электрического напряжения наименования вольт.
Вольта подготовил и создание электрической машины, основанной на новом принципе, изобретением своего электрофора в 1775 г. Этот прибор и Доныне составляет принадлежность Школьных физических кабинетов. Электрофорные машины появились в середине XIX в.