Литмир - Электронная Библиотека
Содержание  
A
A

Максвелл был разносторонним ученым: теоретиком, экспериментатором, техником. Но в истории физики его имя прежде всего ассоциируется с созданной им теорией электромагнитного поля, которая так и называется теорией Максвелла или максвелловской электродинамикой. Она вошла в историю науки наряду с такими фундаментальными обобщениями, как ньютоновская механика, релятивистская механика, квантовая механика, и знаменовала собой начало нового этапа в физике. В соответствии с законом развития науки, сформулированным Аристотелем, она поднимала познание природы на новую, высшую ступень и вместе с тем была более непонятной, абстрактной, чем предшествующие теории, «менее явной для нас», по выражению Аристотеля.

Это обстоятельство обусловило сравнительно долгое неприятие теории Максвелла физиками, и только после опытов Герца началось ее признание. Она получила «права гражданства» в физике после опыта Майкельсона, после первых работ Лоренца по электронной теории. Таким образом, ее усвоение совпало с началом создания электронной и релятивистской физики. История созданной Максвеллом теории переплетается с историей этих областей физики, ведущих к ее современному состоянию.

Максвелл начал разрабатывать свою теорию в 1854 г. 20 февраля этого года он в письме к своему старшему другу В.Томсону пишет о своем намерении «атаковать электричество». В письме из Кембриджа от 13 ноября 1854 г. он пишет, что ему, «новичку в электричестве», удалось разрешить «огромную массу сомнений», используя немного простых идей. «Я достаточно легко получил фундаментальные принципы электричества напряжения» (т. е. электростатики), — говорит он и сообщает Томсону, что ему очень помогла аналогия с теплопроводностью, найденная Томсоном. Далее Максвелл сообщает, что хотя он восхищался, читая труды Ампера, но хотел бы сам исследовать его воззрения «философски». Ему кажется, что метод магнитных силовых линий фарадея очень полезен для этой цели, однако другие предпочитают пользоваться понятием непосредственного притяжения элементов тока. Максвелл разрабатывает картину магнитных силовых линий, генерируемых током, говорит о магнитном поле, вводит соответствующие понятия и пишет математические уравнения.

Мысли, высказанные Максвеллом в этом письме, были разработаны в первой его работе «О фарадеевских силовых линиях», написанной в Кембридже в 1855—1856 гг. Он ставит целью этой работы «показать, каким образом непосредственным применением идей и методов фарадея лучше всего могут быть выяснены взаимные отношения различных классов открытых им явлений». В работе «О фарадеевских силовых линиях» Максвелл строит гидродинамическую модель среды, передающей электрические и магнитные взаимодействия. Ему удается описать стационарные процессы с помощью наглядной картины движущейся жидкости. Заряды и магнитные полюса в этой картине представляют собой источники и стоки текущей жидкости. «Я старался, — писал Максвелл, — ...представить математические идеи в наглядной форме, пользуясь системами линий или поверхностей, а не употребляя только символы, которые и не особенно пригодны для изложения взглядов фарадея и не вполне соответствуют природе объясняемых явлений».

Однако для описания индукционных процессов фарадеевского электротонического состояния модель оказалась непригодной, и Максвелл вынужден прибегнуть к математической символике. Он характеризует электротоническое состояние с помощью трех функций, которые называет электротоническими функциями или составляющими электротонического состояния. В современных обозначениях эта векторная функция соответствует вектору-потенциалу. Криволинейный интеграл этого вектора вдоль замкнутой линии Максвелл называет «полной электротонической интенсивностью вдоль замкнутой кривой». Для этой величины он находит первый закон электротонического состояния: «Полная электротоническая интенсивность вдоль границы элемента поверхности служит мерой количества магнитной индукции, проходящей через этот элемент, или, другими словами, мерой числа магнитных силовых линий, пронизывающих данный элемент». В современных обозначениях этот закон может быть выражен формулой:

Курс истории физики - img_156.jpeg

где A - компонента вектора потенциала

в направлении элемента кривой dl, Bn ~ нормальная компонента вектора индукции В в направлении нормали к элементу поверхности dS.

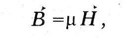
Далее Максвелл пишет «уравнение магнитной проводимости»:

Курс истории физики - img_157.jpeg

связывающее магнитную индукцию В с вектором напряженности магнитного поля Н.

Третий закон связывает напряженность магнитного поля Н с силой создающего ее тока I. Максвелл формулирует его так: «Полная магнитная интенсивность вдоль линии, ограничивающей какую-нибудь часть поверхности, служит мерой количества электрического тока, протекающего через эту поверхность». В современных обозначениях это предложение описывается формулой

Курс истории физики - img_158.jpeg
,

которая ныне называется первым уравнением Максвелла в интегральной форме. Она отражает экспериментальный факт, открытый Эрстедом: ток окружен магнитным полем.

Четвертый закон — это закон Ома:

Курс истории физики - img_159.jpeg

Для характеристики силовых взаимодействий токов Максвелл вводит величину, называемую им магнитным потенциалом. Эта величина подчиняется пятому закону: «Полный электромагнитный потенциал замкнутого тока измеряется произведением количества тока на полную электротоническую интенсивность вдоль цепи, считаемую в направлении тока:

Курс истории физики - img_160.jpeg
».

Шестой закон Максвелла относится к электромагнитной индукции: «Электродвижущая сила, действующая на элемент проводника, измеряется производной по времени от электротонической интенсивности, независимо от того, обусловлена ли эта производная изменением величины или направления электротогмческого состояния». В современных обозначениях этот закон выражается формулой:

Курс истории физики - img_161.jpeg

представляющей собой второе уравнение Максвелла в интегральной форме. Заметим, что электродвижущей силой Максвелл называет циркуляцию вектора напряженности электрического поля. Максвелл обобщает закон индукции фарадея — Ленца— Неймана, считая, что изменение во времени магнитного потока (электротонического состояния) порождает вихревое электрическое поле, существующее независимо от того, есть ли замкнутые проводники, в которых это поле возбуждает ток, или нет. Обобщения же закона Эрстеда Максвелл пока не дает.

формулировку шести законов Максвелл заканчивает следующими словами: «Я сделал попытку дать в этих шести законах математическое выражение той идеи, которая, по моему мнению, лежит в основе хода мыслей фарадея в его «Экспериментальных исследованиях». Это утверждение Максвелла совершенно справедливо, как справедливо и другое утверждение, что введение «математических функций для выражения фарадеевского электротонического состояния и для определения электродинамических потенциалов и электродвижущих сил» сделано им впервые.

Следующий шаг в развитии теории электромагнитного поля Максвелл сделал в 1861—1862 гг., опубликовав ряд статей под общим заглавием «О физических силовых линиях». И здесь Максвелл прибегает к механической модели электромагнитного поля. Но эта модель значительно сложнее, чем картина поля скоростей движущейся жидкости, которую он разрабатывал в предыдущей работе. Максвелл разрабатывал эту модель, используя в полной мере свой талант механика и конструктора, и пришел к своим знаменитым уравнениям. «Максвелл,—писал Больцман, — нашел свои уравнения в результате стремления доказать при помощи механических моделей возможность объяснения электромагнитных явлений, исходя из концепции близко действия, и только эти модели впервые указали путь к тем экспериментам, которые окончательно и решительно установили факт близко-действия и в настоящее время образуют наиболее простой и наиболее достоверный фундамент найденных другим путем уравнений».

94
{"b":"285927","o":1}