Литмир - Электронная Библиотека
Содержание  
A
A

Квантовая химия — ее прошлое и настоящее. Развитие электронных представлений о природе химической связи - img_17.jpeg
(2.7)

Собственные функции η(σ), соответствующие положительному cобственному значению

Квантовая химия — ее прошлое и настоящее. Развитие электронных представлений о природе химической связи - img_18.jpeg
обозначаются как α(σ), a отрицательному
Квантовая химия — ее прошлое и настоящее. Развитие электронных представлений о природе химической связи - img_19.jpeg

Слэтеровский детерминант, составленный из N спин-орбиталей, является N-электронной функцией, удовлетворяющей принципу Паули и соответствующей определенным проекциям N-электронных орбитального и спинового моментов, определяемых квантовыми числами ML и MS. Однако однодетерминантная волновая функция не обязательно будет собственной для операторов квадрата полного орбитального и полного спинового моментов. Собственные функции этих операторов представляются линейными комбинациями детерминантов Слэтера, соответствующих одним и тем же значениям квантовых чисел

Квантовая химия — ее прошлое и настоящее. Развитие электронных представлений о природе химической связи - img_20.jpeg
в пределах выбранной конфигурации.

Под электронной конфигурацией атома понимается определенное распределение электронов по nl-оболочкам:

Квантовая химия — ее прошлое и настоящее. Развитие электронных представлений о природе химической связи - img_21.jpeg
(2.8)

Каждая (nрlр)-оболочка представляет набор

Квантовая химия — ее прошлое и настоящее. Развитие электронных представлений о природе химической связи - img_22.jpeg
спин-орбиталей, из которых νp заселены, т. е. включены в детерминант Слэтера. Эти νp спин-орбитали можно выбрать из (nрlр)-оболочки
Квантовая химия — ее прошлое и настоящее. Развитие электронных представлений о природе химической связи - img_23.jpeg
способами. Следовательно, конфигурации К соответствует
Квантовая химия — ее прошлое и настоящее. Развитие электронных представлений о природе химической связи - img_24.jpeg
однодетерминантных функций, причем их число определяется фактически лишь незамкнутыми оболочками, для которых νp<
Квантовая химия — ее прошлое и настоящее. Развитие электронных представлений о природе химической связи - img_25.jpeg
. Например, для конфигурации ls22s22p2 атома углерода можно построить
Квантовая химия — ее прошлое и настоящее. Развитие электронных представлений о природе химической связи - img_26.jpeg
детерминантов. Из них можно составить далее 15 линейных комбинаций, соответствующих определенным значениям квантовых чисел L и S и образующих атомные термы.

Термом называется совокупность многоэлектронных функций определенной конфигурации, характеризующаяся общими для; всех функций терма значениями квантовых чисел полных орбитального и спинового моментов (L и S). Отдельные волновые функции терма различаются по квантовым числам проекций указанных моментов (ML и MS). Если не принимать во внимание взаимодействие орбитального и спинового моментов, то все волновые функции терма отвечают одному и тому же (2L + 1)(2S + 1) — кратно вырожденному энергетическому уровню атома. Спин-орбитальное взаимодействие приводит к расщеплению этого вырожденного уровня на уровни тонкой структуры, характеризуемые квантовым числом полного спин-орбитального момента J. Поправка на спин-орбитальное взаимодействие определяется приближенным выражением

Квантовая химия — ее прошлое и настоящее. Развитие электронных представлений о природе химической связи - img_27.jpeg
(2.9)

из которого следует правило Ланде для константы спин-орбитального взаимодействия

Квантовая химия — ее прошлое и настоящее. Развитие электронных представлений о природе химической связи - img_28.jpeg
(2.10)

Легко убедиться, что

Квантовая химия — ее прошлое и настоящее. Развитие электронных представлений о природе химической связи - img_29.jpeg
(2.11)

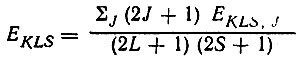
т. е. энергия терма равна средневзвешенному значению энергетических уровней тонкой структуры:

Квантовая химия — ее прошлое и настоящее. Развитие электронных представлений о природе химической связи - img_30.jpeg
(2.12)

Согласно правилам Хунда, энергия EKLS,J будет наименьшей, если: 1) квантовое число S максимально; 2) при равных S максимально квантовое число L; 3) при равных S и L квантовое число J максимально при AKLS<0 и минимально при AKLS> 0.

В качестве примера использования правил Хунда рассмотрим структуру энергетических уровней атома углерода для конфигурации ls22s22p2 (рис. 4). Из пятнадцати однодетерминантных шестиэлектронных функций этой конфигурации можно составить девять функций терма 3Р (L = 1 и S = 1), пять функций терма 1D (L = 2 и S = 0) и единственную функцию терма 1S (L = 0 и S = 0). Наименьшей энергии отвечает терм 3Р, обладающий максимальной мультиплетностью по спину. За ним следует терм 1D, поскольку он характеризуется большим значением квантового числа L, чем терм 1S, при равной спиновой мультиплетности.

Квантовая химия — ее прошлое и настоящее. Развитие электронных представлений о природе химической связи - img_31.jpeg

Рис. 4. Структура энергетических уровней атома углерода

Спин-орбитальное взаимодействие приводит к расщеплению лишь терма 3Р, так как для остальных термов полный спиновый момент равен нулю (а мультиплетность — единице). Для терма 3Р константа А > 0 и, следовательно, уровни тонкой структуры этого терма возрастают в последовательности 3Р0, 3P1, 3Р2, где нижний индекс указывает значения квантового числа J.

Строго говоря, орбитальные энергии εnl различны для разных термов одной конфигурации. Согласно расчету Клементи, атомным орбиталям 1s22s22p2-конфигурации углерода в зависимости от терма соответствуют анергии εnl (в атомных единицах):

Квантовая химия — ее прошлое и настоящее. Развитие электронных представлений о природе химической связи - img_32.jpeg

Таким образом, расстояние между энергетическими уровнями 2s- и 2p-АО при переходе от терма 3Р к терму 1S увеличивается почти на 0,16 ат. ед., что соответствует 4,3 эВ или 98 ккал/моль.

В большей степени орбитальные энергии зависят от атомной конфигурации. Эту зависимость можно показать на примере рассмотренной выше 1s22s22p2-конфигурации и возбужденных 1s22s22p3- и 1s24-конфигураций атома углерода [70]. Из множества термов, соответствующих этим конфигурациям, выберем термы 3Р и 1D:

Квантовая химия — ее прошлое и настоящее. Развитие электронных представлений о природе химической связи - img_33.jpeg

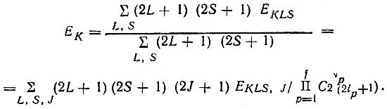
Под полной электронной энергией атомной конфигурации следует понимать средневзвешенное значение энергии ее термов:

Квантовая химия — ее прошлое и настоящее. Развитие электронных представлений о природе химической связи - img_34.jpeg
(2.13)

Было бы ошибкой отождествлять энергию конфигурации с суммой орбитальных энергий

Квантовая химия — ее прошлое и настоящее. Развитие электронных представлений о природе химической связи - img_35.jpeg
(2.14)

Эта величина, как и орбитальные энергии, определяется не только конфигурацией, но и термом атомного состояния. Кроме того, Eoрб составляет лишь часть, причем меньшую часть, полной электронной энергии термов.

По мере увеличения заряда атомного ядра погрешности, связанные с пренебрежением одноэлектронным спин-орбитальньм взаимодействием, увеличиваются, и приходится учитывать расщепление каждой (nl)-оболочки на две подоболочки, различаю щиеся новым спин-орбитальным квантовым числом j:

Квантовая химия — ее прошлое и настоящее. Развитие электронных представлений о природе химической связи - img_36.jpeg

При этом атомные спин-орбитали уже не могут быть представлены как произведение орбитали и спиновой функции (α или β), и конфигурация атома характеризуется распределением электронов по (nlj)-оболочкам:

Квантовая химия — ее прошлое и настоящее. Развитие электронных представлений о природе химической связи - img_37.jpeg

Рис. 5. Структура энергетических уровней атома свинца

Многоэлектронные волновые функции, соответствующие уровням тонкой структуры, строятся в этом приближении, называемом приближением j-j-связи, непосредственно из детерминантов "расщепленной" конфигурации.

6
{"b":"820476","o":1}