Проиллюстрируем этот тезис на примере молекулы бензола. В методе ВС для описания π-электронной системы молекулы бензола необходим учет пяти независимых структур, характеризуемых диаграммами I-V (см. рис. 16). Эти диаграммы могут быть построены с использованием схем и таблиц Юнга.
Антисимметричная собственная функция оператора
может быть получена из произведения координатной Φ и спиновой Χ функций действием оператора Годдарда
(3.50)
где
(3.51a)
(3.51б)
(3.51в)
где
— операторы перестановки пространственных координат;
— операторы перестановки спиновых переменных;
— матричные элементы неприводимого представления [λ] группы перестановок N-электронов; f — размерность этого представления.
В методе Годдарда используется специальный выбор функций Φ и Χ в виде произведений одноэлектронных функций:
(3.52)
(3.53)
Многоэлектронной волновой функции метода Годдарда можно сопоставить определенную схему спинового спаривания, которой будет соответствовать некоторая обобщенная диаграмма Румера[20]. Действительно, как показал Годдард, действие оператора
на произведение Φ и Χ эквивалентно действию оператора Юнга
на X с последующей антисимметризацией:
(3.54)
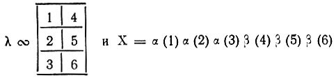
что при соответствующем выборе X полностью соответствует построению многоэлектронной функции метода ВС. Например, для π-электронной системы бензола выбору
будет соответствовать схема спинового спаривания, выражаемая следующей диаграммой:
(3.56)
Таким образом, вместо пяти диаграмм в обобщенном методе ВС мы имеем только одну. Эта диаграмма совпадает по внешнему виду с диаграммой V (см. рис. 16). Однако в то время как диаграммы I-V характеризуют спаривание атомных π-орбиталей, в диаграмме (3.56) спаренными следует считать линейные комбинации последних (молекулярные орбитали) φk, которые определяются уравнениями вида[21]
(3.57)
Существенно, что этим уравнениям может быть дана интерпретация в рамках модели независимых частиц (МНЧ), т. е. отдельному электрону можно приписать определенное состояние, характеризуемое орбиталью φk. Следуя Годдарду, можно указать три условия, обеспечивающие возможность такой интерпретации:
1. N электронам сопоставляется не более чем N различных орбиталей;
2. каждая орбиталь должна быть собственной функцией некоторого эффективного гамильтониана, определяющего движение электрона в поле ядер и в усредненном поле других электронов;
3. это усредненное поле может быть нелокальным, но оно должно быть самосогласованным.
В отличие от метода Годдарда метод ВС в своей обычной формулировке не удовлетворяет условиям (2) и (3) и поэтому не может быть интерпретирован в терминах МНЧ. В то же время он допускает обобщение в рамках метода Годдарда, удовлетворяющее всем трем указанным выше условиям, в силу чего его интерпретация в терминах МНЧ становится возможной.
Разумеется, в начале30-х годов (и позже) сформулированный выше подход не мог быть реализован, главным образом, потому, что ввиду отсутствия необходимой вычислительной техники теория развивалась в основном на базе полуэмпирических и эмпирических методов, а также интуитивного обобщения методов, развитых для простых систем и близких (по крайней мере, в семантическом плане) классической теории строения. Конечно, отсутствие вычислительной техники, обеспечивающей преодоление математических трудностей многоэлектронной задачи, при стремлении к прогрессу в понимании электронной структуры атомов и молекул способствовало развитию фундаментальных концепций, сохранивших свое значение и до настоящего времени. Однако при этом наибольшее развитие получали те идеи и методы, которые могли плодотворно использоваться в условиях существования большого разрыва между качественными и количественными сторонами теории.
Обратимся теперь к другому вопросу — о реальности резонансных структур. Сначала несколько замечаний о терминологии. Мы считаем, что термин "резонансные структуры" можно применять лишь в том случае, если речь идет об эквивалентных структурах метода ВС. Например, нельзя называть резонансными структуры бутадиена
или циклооктатетраена
.
В каждом из этих примеров первая структура может использоваться в качестве структурной формулы соединения, а вторая — не может, так как ее вес пренебрежимо мал. Действительно, длина одинарной связи в такой структуре оказывается меньше, чем длина двойной, что противоречит известным эмпирическим закономерностям, связывающим кратность связи с ее длиной. О резонансе и резонансных структурах имеет смысл говорить, когда соответствующие этим структурам квантовомеханические средние значения энергии[22] равны или близки. Однако не следует связывать резонанс, понимаемый в указанном выше смысле, с какими-либо колебаниями, осцилляциями, пульсациями или флуктуациями, как это делал Полинг и другие авторы. Такие псевдоклассические представления, имеющие сомнительную ценность в отношении электронной системы молекулы, совершенно ошибочны в отношении атомных ядер, которые на данном уровне рассмотрения (электронная задача в адиабатическом приближении) следует считать неподвижными. В случае "резонанса" структур соединение обычно нельзя охарактеризовать классической структурной формулой, которая не противоречила бы его свойствам. Например, для бензола ни одна из двух классических формул Кекуле не отражает симметрии молекулы, ее физических и химических свойств. Аналогично формула

не является вполне адекватной для молекулы нафталина, так как следует принимать во внимание еще хотя бы две структуры:
Резонанс структур в органической химии обычно обусловлен сопряжением одинарных и двойных связей углерод-углерод, особенно в плоских циклических системах (ароматические углеводороды и гетероциклы). Поэтому концепция резонанса некоторое время лежала в основе теории таких соединений, пока ее не сменил метод МО ЛКАО.
Иногда с понятием о резонансных структурах связывают понятие об "электронных изомерах". При этом их определяют как химические соединения, характеризуемые одной и той же ядерной конфигурацией, но различным распределением электронной плотности. Такое представление является безусловно ошибочным, так как именно распределение электронной плотности и определяет равновесную ядерную конфигурацию. Электронным изомерам поэтому неизбежно должны соответствовать различные ядерные конфигурации, так что это понятие сводится к обычному понятию изомерии (см. подробнее работу [2]).