Таблица 4.4
Целевая прибыль и затратная цена
Если в какой-то момент времени продано 50 кг, то весь оставшийся объем можно отдать даром: мы компенсировали затраты на производство 75 кг салата и получили целевую прибыль. Когда же нам выгодно предоставить 50 % скидки? В таблице 4.5 показаны расчеты максимальных скидок на различный объем остатка товара и дополнительная прибыль при скидке в 50 % при плановой выручке 3625 руб.
Таблица 4.5
Размеры скидок и дополнительная прибыль
На разных рынках существуют различные стандарты на предоставление скидок в мероприятиях по стимулированию. В таблице 4.6 приведены данные, собранные автором по размерам скидок, предоставляемых при проведении мероприятий по стимулированию на разные группы товаров в Санкт-Петербурге в 2005 г.
Таблица 4.6
Размеры скидок при проведении мероприятий по стимулированию на разные группы товаров в Санкт-Петербурге в 2005 г.
Верхняя граница скидок определяется средней величиной доли переменных затрат в отрасли, а эффект воздействия цены – эластичностью, известной после проведения эксперимента. Для подготовки мероприятия по стимулированию эксперимент следует проводить при наличии рекламы на месте продажи, чтобы не учитывать этот фактор при определении влияния массовой коммуникации.
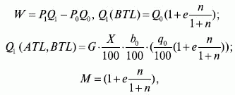
Объем продаж зависит не только от величины скидки (ценовой фактор, определяемый эластичностью), но и от масштаба массовой коммуникации, который является неценовым фактором. На рисунке 4.13 показан вид функции зависимости объемов продаж при ценовом стимулировании с учетом неценового сдвига под влиянием коммуникации. При одной и той же цене можно получить разный дополнительный объем продаж, который обеспечивается различными уровнями коммуникации.
В общем случае эффект воздействия массовой коммуникации определяется охватом целевого рынка при эффективной частоте, которая определяет отклик покупателей на воздействие конкретных средств коммуникации [72, 75]. С учетом того, что мероприятия по стимулированию имеют самый высокий рейтинг среди предметов коммуникации по краткосрочному эффекту воздействия на объемы продаж, эффективная частота будет минимальной. Для печатных СМИ, как мы предполагаем, она составит 1+ (минимум один контакт с рекламным объявлением), для вещательных (телевидение и радио) – 3+ (минимум три контакта) [75]. При проведении стимулирования эластичность выступает как усилитель эффекта охвата.
Эффект различных средств рекламы по привлечению в магазины розничной торговли может быть изучен с помощью опросов.
Рис. 4.13. Функция зависимости объемов продаж при ценовом стимулировании
Пример 4.8
В ходе исследования [32], проведенного фирмой «ГОРТИС» для супермаркетов электроники «ТЕЛЕМАКС» в 2004 г., получены следующие данные: «Результаты опроса посетителей и покупателей магазинов „ТЕЛЕМАКС“, так же как и результаты опроса жителей Санкт-Петербурга, подтверждают наибольший коммуникативный эффект (в период, предшествующий исследованию) от рекламы и распространения фирменной газеты и рекламы на щитах. Газета – эффективное средство информирования, так как получение газеты подтверждают почти 30% жителей Санкт-Петербурга. Газета – эффективное средство формирования спроса: почти 30% посетителей магазинов „ТЕЛЕМАКС“ утверждают, что она повлияла на выбор магазина для посещения, т. е. „привела“ их в магазин».
Эффект воздействия коммуникации в СМИ и рекламы на месте продажи при стимулировании продаж аптечных товаров описан в [37] (пример 4.9).
Пример 4.9
Эффективность стимулирования сбыта в аптечном бизнесе повышается при координации его мероприятий с рекламной кампанией. Как показывают исследования, ценовое стимулирование, проведенное одной из аптек, увеличило объем продаж лишь на 15 %. В сочетании с рекламой показатель вырос на 19 %, а в комплексе с рекламой и демонстрацией товара на месте продажи – на 24 %.
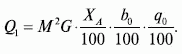
Конкретный вид функции отклика на бонус (скидку) и коммуникацию различен в зависимости от анализируемой ситуации. Для рассмотренных выше ситуаций, связанных с магазинами бытовой техники и аптекой, автор предлагает следующий вид несложной функции отклика покупателей для прогнозирования объемов продаж при стимулировании:
где Q1 – объем продаж товара при проведении мероприятия по стимулированию, шт.; Q1(BTL) – объем продаж при стимулировании и рекламе на месте продажи, шт.; Q1(ATL, BTL) – объем продаж при стимулировании, массовой рекламе и рекламе на месте продажи, шт.; G – количество семей, планирующих покупку товара, шт.; X– охват целевого рынка, проценты; b0 – доля продаж рассматриваемого товара во всем ассортименте товарной категории при постановке эксперимента, проценты; q0 – доля покупателей среди посетителей, проценты; M – коэффициент роста, зависящий от эластичности спроса e, ед.
В данной модели коэффициент используется один раз для мультипликации (усиления) влияния доли покупателей среди всех посетителей. Он может использоваться и дважды – дополнительно для усиления эффекта доли охвата, если эффективный охват был ранее измерен без условий стимулирования. Тогда итоговая формула оптимистического прогноза будет выглядеть следующим образом:
Рассмотрим приведенные выше формулы на примере стимулирования продаж стиральных машин ARISTON (название марки взято исключительно для примера) в условной сети магазинов бытовой электроники с использованием реальных данных опросов.
Пример 4.10
Рассмотрим результаты опроса жителей Санкт-Петербурга в возрасте от 16 до 60 лет по планированию покупок бытовой техник (табл. 4.7 [32]).
Таблица 4.7
Планирование покупок бытовой электроники. «Какой товар Вы планируете приобрести в ближайшие полгода?»

Для крупных покупок, осуществление которых часто планируется заранее, можно говорить, что холодильники приобретет не менее 70 тыс. семей, стиральную машину – не менее 60 тыс. семей, плиту – не менее 25 тыс. семей, телевизор 29` и более – не менее 40 тыс. семей, телевизор 21 – 25` – также не менее 40 тыс. семей. Руководство магазина приняло решение провести акцию по ценовому стимулированию стиральных машин ARISTON. Сначала поставили эксперимент со снижением цены и рекламой на месте продаж в течение месяца на эти стиральные машины. При цене 15 тыс. руб. за месяц продавалось 49 машин, при цене 14 тыс. руб. была продана 61 машина. Эластичность составила – 3,4. В таблице 4.8 приведено распределение продаж стиральных машин в сети магазинов бытовой техники до и после проведения эксперимента по снижению цен (цифры условные).
Затем было решено задействовать для рекламы снижения цен фирменную газету-каталог, распространяемую бесплатно по почтовым ящикам. Для прогнозирования объема продаж использовалась вышеприведенная модель, данные опроса потенциальных покупателей, данные эксперимента со снижением цены и информация об охвате целевого рынка рекламного воздействия фирменной газетой-каталогом, которая обеспечивает охват 30 % петербуржцев (см. пример 4.8). В таблице 4.9 приведен расчет прогноза объема продаж.