Литмир - Электронная Библиотека
Содержание  
A
A

Графически типы кривых по увеличению объемов продаж при стимулировании показаны в следующем разделе.

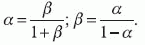
В экономическом анализе используются два основных показателя эффективности: рентабельность затрат и рентабельность продаж. Рентабельность затрат – это отношение прибыли к затратам (себестоимости), обычно выражается «в рублях прибыли на рубль затрат», может выражаться в процентах. Рентабельность продаж, или норма прибыли – это отношение прибыли к объему продаж в рублях (выручке). Выражается в процентах и показывает долю прибыли в выручке. Выразим оба показателя через обозначения, причем рентабельность затрат представим не в процентах, а в виде коэффициента от 0 до 1:

β = П / З;

α = П / В;

П = В – З,

где β – рентабельность издержек, рублей на рубль; П – прибыль, руб.; 3 – затраты, руб.; α – рентабельность продаж, коэффициент от 0 до 1 долл. прибыли в выручке; В – выручка, руб.

Путем несложных вычислений можно выразить один показатель через другой:

Стимулирование продаж - _34.png

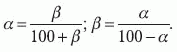
Если выражать показатели α и β в процентах, формула будет выглядеть следующим образом:

Стимулирование продаж - _35.png

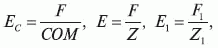
Экономическая эффективность всегда связана с типом оцениваемых затрат. Показатели экономической эффективности кампании по стимулированию в целом – это эффективность совокупных коммуникационных затрат, а также суммарных производственно-коммерческих и коммуникационных затрат:

Стимулирование продаж - _36.png

где ECэффективность коммуникационных затрат на стимулирование, рублей на рубль; E – эффективность суммарных затрат по прибыли от стимулирования, рублей на рубль; E1 – эффективность суммарных затрат по прибыли при проведении мероприятия в целом, рублей на рубль.

Рентабельность коммуникационных затрат показывает, сколько рублей дополнительной прибыли пришлось на рубль коммуникационных затрат, связанных со стимулированием. Показатели эффективности по полным затратам E и E1 являются показателями рентабельности затрат на производство и реализацию продукции.

Перечислим основные проблемы при определении эффекта и эффективности стимулирования.

1. Как определить (спрогнозировать) объем продаж и прибыль, если бы мероприятия по стимулированию не проводились?

2. Как спрогнозировать объем продаж и прибыль при проведении мероприятий на этапе планирования?

3. Какие затраты относить к дополнительным, связанным со стимулированием?

4. Каковы нормативы эффективности использования дополнительных затрат, связанных со стимулированием?

Ниже мы проанализируем методы разделения затрат и результатов, состав коммуникационных затрат на стимулирование и показатели эффективности их использования, а пока определим основные факторы коммуникации, которые определяют эффект стимулирования.

Выделяют два базовых фактора, определяющих эффект ATL-рекламы: средства рекламы и рекламное обращение [48]. При определении эффекта стимулирования мы предлагаем выделить в качестве базовых факторов средства коммуникации и бонус: по концепции предмета коммуникации бонус (стимул) является доминантой, определяющей содержание коммуникационного (рекламного) обращения (рис. 3.1).

Таким образом, в соответствии с факторами, определяющими эффект, оценка эффективности мероприятий по стимулированию должна осуществляться по трем направлениям (рис. 3.2).

Эффект мероприятий по стимулированию выражается не только в увеличении объемов продаж. В [24] делается специальный акцент на разделении результатов и целей стимулирования на две составляющие:

«Цель стимулирования не всегда заключается в немедленном увеличении товарооборота (такое стимулирование называется поддерживающим), ею может быть и рост числа новых потребителей (так называемое атакующее стимулирование)». Данная цитата не полностью отражает многообразие целей и результатов, которые дает стимулирование. Она указывает на то, что увеличение объемов продаж не происходит без каких-либо предварительных этапов коммуникации.

Стимулирование продаж - _37.png

Рис. 3.1. Факторы, определяющие эффект стимулирования

Стимулирование продаж - _371.png

Рис. 3.2. Направления оценки эффективности мероприятий по стимулированию

Стимулирование продаж - _38.png

Рис. 3.3. Пирамида показателей эффекта

Для построения моделей прогнозирования результатов стимулирования построим иерархию показателей эффекта на основе достижения определенных целей. Поделим показатели эффекта на две категории – коммуникационные и экономические, и расположим их в иерархическом порядке в виде трехуровневой пирамиды (рис. 3.3).

Для достижения конечных (верхних) показателей необходимо достижение нижних, поэтому планировать и оценивать стимулирование надо комплексно, по совокупности различных показателей. В таблице 3.1 приведены показатели эффекта, которые предлагается применять для оценки различных экономических целей стимулирования (первый уровень пирамиды, изображенной на рис. 3.3).

Таблица 3.1

Показатели оценки экономического эффекта стимулирования

Стимулирование продаж - _39.png

В таблице 3.2 приведены показатели эффекта, которые предлагается применять для оценки различных коммуникационных целей стимулирования (второй и третий уровни пирамиды, изображенной на рис. 3.3).

Таблица 3.2

Показатели оценки коммуникационного эффекта стимулирования

Стимулирование продаж - _40.png

Для решения конкретной задачи прогнозирования необходимо выбрать несколько взаимосвязанных показателей из разных уровней пирамиды и построить модель последовательной коммуникации для прогнозирования конечного показателя увеличения объема продаж и прибыли на основе иерархической взаимосвязи показателей. В примере 3.1 показана такая взаимосвязь различных показателей.

Пример 3.1

Магазин планирует стимулирование продаж отдельного вида товара посредством снижения цен. При охвате коммуникационным воздействием (рекламой мероприятия по стимулированию) 1 млн потенциальных покупателей можно привлекать в магазин 20 тыс. человек в неделю исходя из информации о том, что в данный период времени покупки продвигаемого товара планируют 2 % потенциальных покупателей, и все они географически могут посетить магазин. Посещаемость магазина без стимулирования составляет 5 тыс. человек в неделю, из них 25 % становятся покупателями. Спрос без стимулирования в магазине по стимулируемому товару составляет 1000 шт. в неделю при цене 1000 руб. за шт. Один покупатель приобретает одну единицу товара. Магазин понижает цену при стимулировании на 15 % до 850 руб. за шт. На основе изучения эластичности спроса на данный товар и цен конкурентов планируется увеличить спрос до 6600 шт. в неделю. Это не противоречит данным об увеличении посещаемости торговой точки: если магазин посетят 20 тыс. потенциальных покупателей и 6600 совершат покупку, это составит 33 % от потенциальных покупателей. Расчет эффекта стимулирования приведен в табл. 3.3. В данном примере существенным является отсутствие ограничения по наличию товара при увеличении спроса до 6600 единиц в неделю.

Таблица 3.3

Эффект проведения мероприятия по стимулированию

Стимулирование продаж - _41.png
19
{"b":"132804","o":1}