Литмир - Электронная Библиотека
Содержание  
A
A

ГЛАВА 13

УСТОЙЧИВОСТЬ РАБОТЫ ЭЛЕКТРОПРИЕМНИКОВ ПРИ КОМПЕНСАЦИИ РЕАКТИВНОЙ МОЩНОСТИ

Вопросы устойчивости работы электроприемников тесно связаны с их эксплуатационной надежностью и во многом зависят от показателей качества электроэнергии (ГОСТ 13109-97).

На снижение устойчивости работы электроприемников могут повлиять: несинхронные включения в энергосистемах, различные аварийные ситуации (КЗ затяжного характера, выпадение одной из фаз питающей сети и др.), режимы работы и мощности КУ, взаимное влияние режимов работы самих электроприемников (в частности, АД) и т. д.

Оценим условия устойчивости работы наиболее массового вида электроприемников на предприятиях – приводных АД при наличии компенсации реактивной мощности с помощью КУ.

Устойчивость работы АД может нарушиться как в установившемся, так и в динамическом режимах его работы. Динамическая устойчивость АД характеризуется его способностью к восстановлению нормальной частоты вращения после соответствующих аварийных ситуаций в электроустановках.

Проверка устойчивости работы электроприемников, в частности, АД, при наличии КУ заключается в соблюдении следующего неравенства:

Управление электрохозяйством предприятий - i_065.png

где Q – реактивная мощность, потребляемая асинхронным двигателем, квар.

Выполнение данного требования заключается в том, что любое случайное снижение напряжения вызывает избыток реактивной мощности, приводящий к возрастанию напряжения, пока его значение не установится.

Реактивная мощность, потребляемая АД, состоит из:

реактивной мощности намагничивания не зависящей от нагрузки, квар:

Управление электрохозяйством предприятий - i_066.png

где Xμ – индуктивное сопротивление ветви намагничивания АД, Ом;

реактивной мощности рассеяния Qr зависящей от нагрузки, квар:

Управление электрохозяйством предприятий - i_067.png

где X – реактивное сопротивление АД, Ом; s – скольжение АД; sKp – критическое скольжение АД.

Электромагнитный момент вращения АД М при изменении напряжения определяется по известной упрощенной формуле Клосса:

Управление электрохозяйством предприятий - i_068.png

где MKp – максимальный (критический) вращающийся момент АД при номинальном напряжении Uном.

Из формулы (37) видно, что реактивная мощность прямо пропорциональна квадрату напряжения:

Управление электрохозяйством предприятий - i_069.png

Если в формулу (38) подставить значения Sкр/S из формулы (39), то после несложных преобразований получим:

Управление электрохозяйством предприятий - i_070.png

Из формулы (41) видно, что мощность рассеяния АД обратно пропорциональна квадрату напряжения:

Управление электрохозяйством предприятий - i_071.png

Установившийся режим работы АД определяется условием равенства вращающего момента и момента сопротивления приводимого механизма, т. е. точкой пересечения двух моментных характеристик.

Таким образом, при данном моменте сопротивления у любого АД имеет место какой-то критический режим, характеризующийся тем, что при дальнейшем снижении напряжения работа АД становится неустойчивой.

Исходя из этого, критический режим АД можно выразить двумя следующими условиями:

Управление электрохозяйством предприятий - i_072.png

Из формулы (40) следует, что нарушение устойчивости АД может иметь место еще раньше, при каком-то напряжении в точке, когда

Управление электрохозяйством предприятий - i_073.png

В этом случае очевидно, что анализ устойчивости целесообразно проводить по формуле (36).

Сравним статические характеристики источников и приемников электроэнергии до и после компенсации реактивной мощности.

Статические характеристики источников электроэнергии (например, генераторов) определяются из баланса напряжений в начале U1 и конце U2 линии с учетом потерь напряжения AU, а именно:

Управление электрохозяйством предприятий - i_074.png

Возводя обе части уравнения в квадрат, имеем:

Управление электрохозяйством предприятий - i_075.png

После алгебраических преобразований относительно Q получаем уравнение вида

Управление электрохозяйством предприятий - i_076.png

Подставив эти значения в формулу (46), окончательно получим:

Управление электрохозяйством предприятий - i_077.png

Знак «плюс», полученный в результате извлечения корня, относится к нестабильной части статической характеристики.

Статические характеристики нагрузки можно также выразить уравнением вида (46). Они характеризуются двумя величинами: коэффициентом наклона характеристики и значением напряжения Umin, при котором статическая характеристика достигает минимума.

Затем характеристики источников и приемников можно сложить, в результате получается обобщенная характеристика источников и приемников электроэнергии до компенсации реактивной мощности.

После установки КУ для компенсации реактивной мощности выражение (44) (при условии сохранения напряжения в конце линии на том же уровне U2, что достигается в том случае, если после включения КУ напряжение U2 восстанавливается, например, изменением коэффициентов трансформации силовых трансформаторов) примет следующий вид:

Управление электрохозяйством предприятий - i_078.png

Возводя обе части уравнения (49) в квадрат, получаем:

Управление электрохозяйством предприятий - i_079.png

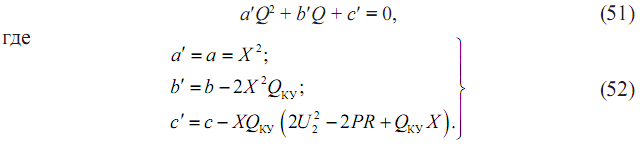
Преобразовывая уравнение (50) относительно Q, получаем уравнение вида (46), но со скорректированными коэффициентами, а именно:

Управление электрохозяйством предприятий - i_080.png

Подставив значения этих коэффициентов в уравнение (51), получим:

Управление электрохозяйством предприятий - i_081.png

где мощность КУ определяется по известной формуле:

Управление электрохозяйством предприятий - i_082.png

Поскольку Qку = U2, а промышленная частота f = 50 Гц, то окончательно получим уравнение статической характеристики после компенсации реактивной мощности при помощи КУ:

Управление электрохозяйством предприятий - i_083.png

Зная значения коэффициентов a, a', b, b', c, c', можно по уравнениям (46), (51) и (54) вычислить для различных значений наложения U2 статические характеристики до и после компенсации реактивной мощности.

Анализ формул статических характеристик электроприемников до и после компенсации реактивной мощности показывает, что компенсация у промышленных электроприемников при помощи КУ приводит к изменению статических характеристик системы и нагрузки. При компенсации реактивной мощности критическое напряжение Umin приближается к номинальному значению и угол наклона статической характеристики возрастает, причем с повышением степени компенсации, а также с увеличением эквивалентного сопротивления сети эффект возрастает.

Таким образом, компенсация реактивной мощности при помощи КУ приводит к снижению запаса устойчивости электрической системы.

Специалистами в этой области было выявлено, что увеличение мощности КУ в целях компенсации реактивной мощности при поддержании постоянным уровня напряжения отрицательно отражается на устойчивости нагрузки в том случае, если общее индуктивное сопротивление ΣX1  (в основном сопротивление понижающих трансформаторов и линий) превышает внешнее эквивалентное индуктивное сопротивление нагрузки X2, т. е.

ΣX1 > X2. (55)

27
{"b":"111840","o":1}