Литмир - Электронная Библиотека
A
A

Характерны в этом отношении высказывания уже упоминавшейся герцогини Дуоды. В ее «Поучении…», обращенном к сыну, которому пришлось уехать заложником ко двору Карла Лысого, все материнские чувства и чаяния звучат с удивительной силой: «Большинству женщин дано счастье жить вместе со своими детьми, я же лишена этой радости и нахожусь далеко от тебя, сын мой. Тоскуя о тебе, я вся переполнена желанием помочь тебе и потому посылаю этот мой труд…»; «Хотя и многое меня затрудняет и обременяет, первая моя забота увидеть когда-либо тебя, сын мой… Мечтаю, чтобы господь наградил меня этим… и в ожидании чахну…»; «Сын мой перворожденный, у тебя будут учителя, которые преподадут тебе уроки, более пространные и полезные, чем я, но ни у кого из них не будет столь горячего сердца, что бьется в груди твоей матери…»156 и т. д. и т. п.

Своеобразие поведенческого стереотипа состояло, следовательно, не в том, что люди каролингского времени были лишены родительских чувств, но лишь в их специфике: пылкая любовь к детям совмещалась с фатализмом, со смирением перед судьбой, с пассивностью в преодолении беды, грозившей ребенку. Отсюда и ослабление установки на выхаживание, а порой и пренебрежение родительскими заботами157. До некоторой степени это предопределялось неспособностью справиться со многими опасностями для ребенка и непониманием специфики детского поведения, в частности физических и психологических особенностей детства и отрочества. Известное значение имело также то обстоятельство, что при частых родах и не менее частых детских смертях родители не всегда успевали достаточно привязаться к новорожденному, достаточно ощутить его продолжением собственного «я».

Таблица 2.3. Доля бездетных супругов*

Жизнь и смерть в Средние века. Очерки демографической истории Франции - i_003.jpg

* Составлено по материалам диссертации В. А. Блонина «Крестьянская семья во Франции IX в.».

** Вместо колонов здесь ingenui.

*** Учтено только старшее поколение взрослых.

Все это не могло не сказываться на уровне детской смертности, сокращая численность детей и даже приводя в ряде семей к полной бездетности. Как ни сложны количественные оценки этих параметров для рассматриваемого периода, некоторые прикидки возможны. Так, соотношение рождаемости и смертности детей у зависимых крестьян отчасти может быть измерено частотой упоминания бездетных семей в полиптиках. Конечно, бездетность супружеских пар могла обусловливаться не только высокой детской смертностью, но и бесплодием. Цезарий Арелатский отмечал, что среди его прихожан встречаются и те, кто вследствие «дьявольских смертоносных напитков» (имеется в виду контрацептивное питье) довели себя до искусственно созданного бесплодия, и те, кому «господь вовсе отказал в детях». Разграничить эти виды бездетности нет возможности. Но оценить ее общие масштабы иногда удается. Соответствующие подсчеты по каролингским поместным описям IX в. обобщены в табл. 2.3. По ней видно, что доля бездетных составляла среди женатых крестьян примерно 15–20%. Она возрастала вместе с понижением социального статуса, обнаруживая тем самым связь с общим ухудшением качества жизни.

Оценивая надежность приведенных цифр, отметим, что их можно было бы считать несколько заниженными исходя из двух обстоятельств. Так как в монастырских полиптиках отражались, очевидно, лишь церковно оформленные браки, приведенные цифры, видимо, не включают бездетных супругов, брак которых не получил монастырского признания. Кроме того, давая «моментальный» статистический срез, полиптики не позволяют учесть бездетность тех супружеских пар, которые потеряют своих, ныне малолетних, детей в недалеком будущем. Но, с другой стороны, приведенные цифры, возможно, завышают долю бездетных из‑за невключения в опись детей «чужаков» (т. е. некоторые крестьяне, фигурирующие в качестве бездетных, могли в действительности иметь детей). Эта возможность была не слишком частой: составители описей могли и вовсе игнорировать браки с чужаками. Тем не менее она хотя бы до некоторой степени компенсировала заниженность полученных цифр. Вероятно, в целом в них можно видеть нижний предел колебаний в уровне бездетности крестьянских браков.

В этом убеждают наблюдения, сделанные по северофранцузскому актовому материалу VIII–XI вв. Из примерно 500 брачных пар, описанных в исследованных северофранцузских актах, детей не имели менее 100 (т. е. менее 20%)158. Учитывая, что составители частно-правовых грамот были еще менее последовательными в описании крестьянских детей, чем составители полиптиков, приведенную оценку бездетности можно было бы считать завышенной. В то же время нет уверенности, что крестьянские семьи, отраженные в частно-правовых грамотах, вполне типичны. Среди них могли преобладать более состоятельные и многодетные, чаще других превращавшиеся в объект домогательства и отчуждения. Из-за этого можно было бы говорить о некоторой заниженности оценки бездетности в приведенных грамотах. В целом же и по актовому материалу 20% бездетных крестьян представляется нижним уровнем бездетности, вызванной бесплодием и детской смертностью.

В поисках путей количественной оценки детской смертности в каролингской Франции исследователи вынуждены не пренебрегать и еще более гипотетичными прикидками. Так, Р. Фоссье выдвинул идею использовать с этой целью расчетные показатели, полученные на основе изучения различий между наивысшей гипотетической рождаемостью и реальной численностью детей в той или иной местности159. Мы попытались реализовать эту идею, опираясь на данные полиптика аббата Ирминона о владениях Сен-Жерменского аббатства.

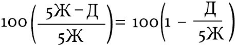
Из полиптика Ирминона известны число замужних крестьянок, проживавших в каждом из монастырских имений, а также общая численность в них крестьянских детей. Пусть число замужних женщин в имении равно Ж, а число наличных детей – Д. Если допустить, что длительность детородного периода составляла 20 лет – с 15 до 35 (фактически из‑за частой смерти при родах или патологии беременности он мог быть намного короче)160, а интервал между рождениями составлял 2 года (фактически, он бывал бóльшим из‑за длительного периода кормления грудью) и что, следовательно, теоретическая плодовитость женщины (завышенная!) достигала 10 детей, то нетрудно будет рассчитать примерный уровень детской смертности в его минимальном варианте для каждого из описанных в полиптике имений.

Таблица 2.4. Уровень детской смертности в основных владениях Сен-Жерменского аббатства (минимальный вариант)

Жизнь и смерть в Средние века. Очерки демографической истории Франции - i_004.jpg

Общее число детей, которое могло бы родиться в имении, составит

Жизнь и смерть в Средние века. Очерки демографической истории Франции - i_005.jpg
. (Предполагая, что замужние женщины каждого имения равномерно распределены по всем возрастам, мы допускаем, что в момент составления описи число женщин, уже родивших десятерых детей, было равным числу замужних женщин, еще не успевших родить ни одного ребенка, т. е. что общее число рожденных детей составляло половину произведения 10Ж). Число умерших детей будет тогда равно 5Ж – Д. Их доля от общего числа детей, выраженная в %, составит

Жизнь и смерть в Средние века. Очерки демографической истории Франции - i_006.jpg

Результаты наших подсчетов по этой формуле сведены в табл. 2.4.

Как видно по таблице, если исходить из прямых данных полиптика аббата Ирминона, расчетный уровень минимальной детской смертности в Сен-Жерменском аббатстве следовало бы считать близким к 55%. Полученные цифры, разумеется, сугубо ориентировочны. Поучительно, однако, что они подтверждаются некоторыми другими материалами. Так, судя по полиптику марсельской церкви св. Виктора, в год его составления в описанных в нем владениях у крестьян появилось 30 новорожденных. В то же время среднее число детей в возрасте от года до трех лет составляло в тех же владениях в расчете на каждый из этих трех возрастов 18 человек, среднее число детей в возрасте от четырех до шести (опять-таки в расчете на каждый из возрастов) – 21 человек, среднее число детей в возрасте от семи до девяти лет (вместе с так называемыми infantes ad scola) в расчете на каждый из возрастов – 12 человек. Иными словами, ни один из детских возрастов не приближался по численности к новорожденным, уступая им в полтора-два и более раза. Конечно, число 30 новорожденных не обязательно достигалось ежегодно. И тем не менее различие приведенных цифр нельзя вовсе сбрасывать со счетов. Оно согласуется с предположением о том, что смерть могла уносить в течение первых 10 лет жизни около половины детей.

вернуться

156

Liber manualis Dhuodane… In nomine Sanctae Trinitatis, 4–8; Praefatio, 29, I, 7, 20–23.

вернуться

157

Косвенное подтверждение негативных тенденций в выхаживании детей в раннее Средневековье можно видеть в постепенном усилении критического отношения к таким тенденциям со стороны церкви. Следует иметь в виду, что по мере изменения церковных воззрений на брак эволюционировал и общий подход церкви к детям. Постепенно акцентировалась амбивалентность их социальной роли, в ребенке начинали видеть не только плод греха, но и воплощение невинности. Соответственно, и в воспитательной доктрине церкви появлялись рекомендации развивать врожденные достоинства ребенка, проявлять к нему мягкость, видеть в нем «божьего избранника». См.: Riché P. Les écoles et l’enseignement dans l’Occident chrétien. P., 1979. Одновременно церковные писатели все резче порицают родительскую жестокость («…pessima et impia… consuetudo pro qua plures homines sobolem suan interire quam nutrire non studebant». – Vita Bathildis // MGH. SRM, II, 488. Цит. по: Riché P. Edication et culture dans l’Ocident barbare. P., 1962. P. 506), а церковные соборы принимают постановления, резко осуждающие невыполнение родительского долга.

вернуться

158

Габдрахманов П. Ш. Демографическое развитие… С. 79.

вернуться

159

Fossier R. La terre et les homes en Picardie. Louvain; P., 1969. T. 1.

вернуться

160

Verdon J. La gynécologie et l’obstétrique au IXe–XIe siècle // Revue française de gynécologie et d’obstétrique. 1978.

19
{"b":"920520","o":1}