Литмир - Электронная Библиотека

Не докрученные продукты, на которые не хватает любви и внимания, лучше клиенту не предлагать. Вдруг купит? Найдет все недочеты и больше к вам не вернется? Поговорку «лучше меньше да лучше» для нас с вами придумали: пусть их будет немного, зато каждый – фирменный.

Про время есть еще тонкий момент, уже писала про него и еще напишу. На переключение между разными занятиями тоже уходит время. Много времени. Гораздо больше, чем нам кажется. Гораздо больше, чем мы можем себе позволить, если хотим успевать работать и жить.

Тот, кто работает сам на себя, всегда работает самим собой – своим временем, ресурсом, силами и настроением.

Если, помимо всех переключений между продажами, финансами, переговорами, написанием постов, юридическими вопросами и прочими нужными вещами, которыми до краев наполнена жизнь вольного предпринимателя, еще и между кучей своих продуктов постоянно прыгать, вас не хватит.

Задача не в том, чтобы преумножать стресс дополнительными быстрыми переключениями в нашей и без того не очень спокойной жизни, а в том, чтобы искать оптимальные решения.

В случае с продуктами, которые мы предлагаем, оптимальное решение – 3-5-7, ни меньше, ни больше.

Ваши деньги.

Какие ваши продукты наиболее рентабельны? Где вы зарабатываете больше всего, если разделить полученный доход на количество затраченного на создание этого продукта времени?

Если вы сейчас только начинаете вести свое дело, то в этом теме у вас могут быть только гипотезы.

Если вы в деле уже достаточно давно, от года и больше, и у вас есть разные продукты, пора сверить свои представления о том, где вы больше всего зарабатываете, с реальной картиной.

Посчитать просто:

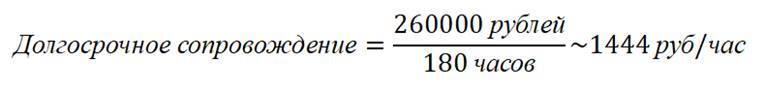
Юрист Мария за три месяца заработала 400 000 рублей.

260 000 рублей она получила по двум договорам, которые подразумевали долгосрочное сопровождение клиентов.

130 000 рублей ей заплатили за разовые консультации и заключения.

Глядя на эту картину, Мария подумала, что ей нужно больше долгосрочных клиентов. А потом она решила посчитать. Получилось вот так.

Я работаю собой - _0.jpg
Я работаю собой - _1.jpg

Мария сначала удивилась такой математике, потому что была уверена, что где больше сумма оплаты, там и доходность выше. Но потом поняла, почему так получилось – в долгосрочной работе, помимо собственно юридических аспектов, ей приходится много времени посвящать общению с клиентами. Причем, призналась она, зачастую по требованию клиента, в не очень удобное для нее время.

Выводы, которые сделала Мария:

Я могу сосредоточиться на привлечении клиентов на разовые консультации

Я могу увеличить цену долгосрочного сопровождения, если клиент хочет общаться со мной много и в разное время.

Я могу заранее оговаривать с долгосрочным клиентом количество времени на обсуждение вопросов в переписке. Мы все успеем обсудить. Но я тогда не буду «привязана» к клиенту, у меня появится время на то, чтобы провести больше разовых консультаций.

Как у вас обстоят дела с рентабельностью ваших продуктов, знаете? В каких из них живет больше эффективности в единицу вашего времени? Даже если только начинаете работать на себя, попробуйте посчитать. Получаются очень интересные и показательные цифры.

Зачем я так подробно расписываю для вас эти линейки?

Чтобы показать вам, что работа над ними – не страшный зверь, а простой и логичный шаг.

Чтобы вам было легче их создавать.

Да, вы будете их менять год от года, убирать ненужное и добавлять востребованное: опыт – лучший учитель и источник самой прекрасной аналитики.

Начинать нужно с понимания, что вы продаете. Сформулируете понятно на старте – сэкономите себе кучу сил, спокойствия и уверенности, когда начнутся продажи.

Среди моих клиентов, участников программ, друзей в социальных сетях и просто хороших знакомых множество тех, кто выбирает себе занятие – об этом говорится в самом начале этой главы – и сразу начинает продавать. Путаясь в том, что и кому продает. Когда вы говорите или пишете о своих продуктах не четко и не внятно, без полного собственного понимания сказанного или написанного, то производите впечатление неуверенного в себе человека. И уж точно – не эксперта, которого хочет видеть ваш клиент.

У неуверенных людей покупают гораздо меньше, потому что это ощущение подсознательно переносится на тот продукт, который вы предлагаете. Продавать в таких невыносимых условиях сложно, продается мало. Получается замкнутый круг:

нет четкого понимания своих продуктов – сквозит неуверенность в рассказе о них;

неуверенность в рассказе клиент считывает, как «что-то не то с продуктом»;

«что-то не то с продуктом» – у клиента не появляется желания его купить;

клиент не покупает –у вас мало продаж;

мало продаж – растет неуверенность в себе, своей способности заниматься развитием своего дела и возможности достойно зарабатывать.

Поэтому первая глава этой книги и посвящена продукту – мы создаем задел на будущее.

Бонусы для тех, кто дочитал до этого места.

Лафхак №1: Ваш VIP-продукт.

Винные карты кафе и ресторанов зачастую в первых строчках своих меню содержат такие вина, что взгляд на цену вызывает единственную реакцию: «Скооолько???»

Глаза скользят ниже: «Уф, есть же нормальные цены, зачем было так пугать?»

Если вы периодически покупаете программы обучения on-line, там такая же картина – среди нескольких возможных вариантов почти всегда есть VIP-пакет. В искусственно созданном состоянии шока от стоимости первоначального пакета остальные цены смотрятся весьма гуманно.

Очень давний маркетинговый ход: размещать в перечне продуктов что-то дорогое. Иногда очень дорогое. С годами такой ход не заплесневел, не испортился, продолжает работать – в процессе сравнения цена стандартного продукта воспринимается как нормальная и адекватная.

Главный эффект этого хода: клиент начинает сравнивать не ваши цены с ценами конкурентов, а ваши цены с вашими же ценами. Он не смотрит «налево», он остается с вами.

А еще VIP-продукты продаются. Среди вашей аудитории есть люди, которые живут в другом формате цен. Их устраивает ваш базовый продукт, они хотят его купить, но…Им слишком дешево. Стандартная цена не вызывает у них доверия к качеству. Лучше они купят дороже и получат за это больше: качества, количества, внимания, впечатлений.

Наличие VIP-продукта в вашей продуктовой линейке однозначно идет на пользу продажам:

– клиент спокойнее воспринимает стоимость базовых продуктов;

– вы можете увеличить свой доход, периодически продавая VIP-продукт;

– наличие дорогого продукта в вашей линейке поможет вам постепенно привыкнуть, что такого формата цены бывают тоже. И что вам (пусть не часто) готовы платить дорого. Такой опыт пригодится, когда вы задумаетесь о пересмотре цен.

Только учтите, VIP продукт у вас должен быть прямо ПРОДУКТ – обязательно стоить своих денег! Либо по размеру, либо по сервису и впечатлению.

Лафхак №2: «Сопровождение» как часть продуктовой линейки

Мало в нашем предпринимательском пространстве фокуса на сопровождение после продажи, ох, мало! А зря. Возможности для продвижения здесь прекрасные.

Чего хочет от вас клиент?

Качества того товара/услуги, которые вы ему предлагаете. Нормального общения. Внимания к себе.

Чего хотите вы от клиента?

Чтобы ему понравилось. Чтобы он вас запомнил. Чтобы он вернулся и купил еще раз. Чтобы он порекомендовал вас своим друзьям и знакомым.

Ни один ваш клиент не обязан о вас помнить. Даже если вы сотрудничали довольно долго, а не встретились один раз случайно. Он может быть доволен вами и вашими товарами/услугами. Но он может про вас забыть.

7
{"b":"903827","o":1}