Литмир - Электронная Библиотека
Содержание  
A
A
Ткань космоса. Пространство, время и текстура реальности - n_10.jpg

на

Ткань космоса. Пространство, время и текстура реальности - n_11.jpg

где Λ есть число, обозначающее величину космологической постоянной.

128

Когда я в этом контексте обращаюсь к массе объекта, я ссылаюсь на сумму полных масс его отдельных составляющих. Если, скажем, кубик состоит из 1000 атомов золота, мне надо бы говорить о 1000 масс одного такого атома. Это определение согласуется с точкой зрения Ньютона. Законы Ньютона говорят, что такой кубик будет иметь массу в 1000 раз больше массы отдельного атома золота и что он будет весить в 1000 раз больше, чем отдельный атом золота. В соответствии с Эйнштейном, однако, вес кубика зависит также от кинетической энергии атомов (так же как и всех других вкладов в энергию кубика). Это следует из соотношения E= mc 2: бо́льшая энергия ( E), безотносительно к её источнику, транслируется в бо́льшую массу ( m). Таким образом, эквивалентный способ выражения сути дела состоит в том, что, поскольку Ньютон не знал о формуле E= mc 2, его закон гравитации использовал определение массы, которое не учитывает различные вклады в энергию, такие как энергия, связанная с движением.

129

Данное обсуждение намекает на лежащую в основе физику, но не охватывает её полностью. Давление, оказываемое сжатой пружиной, на самом деле влияет на то, насколько сильно коробка притягивается к Земле. Но это происходит потому, что сжатая пружина влияет на полную энергию коробки, и, как обсуждалось в предыдущем абзаце, в соответствии с общей теорией относительности, полная энергия — это именно то, что имеет отношение к делу. Однако я здесь подчёркиваю, что само давление — не только благодаря вкладу, который оно вносит в полную энергию, — генерирует гравитацию, почти как это делают масса и энергия. В соответствии с общей теорией относительности давление гравитирует. Также заметим, что отталкивающая гравитация, на которую мы ссылаемся, является внутреннимгравитационным полем, ощущаемым внутри области пространства, заполненного чем-то, что имеет отрицательное, а не положительное, давление. В такой ситуации отрицательное давление будет давать вклад в отталкивающее гравитационное поле, действующее внутриобласти.

130

Математически космологическая постоянная представляется числом, обычно обозначаемым Λ (см. примечание {127} ). Эйнштейн обнаружил, что его уравнения являются вполне осмысленными независимо от того, выбрана ли Λ положительным или отрицательным числом. Обсуждение в тексте сосредоточено на особенно интересном для современной космологии (и современных наблюдений) случае, в котором Λ положительна, поскольку это приводит к появлению отрицательного давления и отталкивающей гравитации. Отрицательная величина Λ даёт обычную притягивающую гравитацию. Отметим ещё, что поскольку давление, оказываемое космологической постоянной, однородно, это давление непосредственно не создаёт какую-либо силу: только разности давлений, подобные тому, что чувствуют ваши уши, когда вы погружаетесь под воду, приводят к силам давления. В отличие от этого сила, оказываемая космологической постоянной, есть чисто гравитационная сила.

131

Обычные магниты всегда имеют как северный, так и южный полюса. Из теорий же великого объединения следует, что могут существовать частицы, которые подобны чистому северному или чистому южному магнитным полюсам. Такие частицы называются монополями и они могли бы иметь большое влияние на стандартную космологию Большого взрыва. Они никогда не наблюдались.

132

Гут и Тай обнаружили, что переохлаждённое поле Хиггса будет действовать как космологическая постоянная, открытие, которое было сделано ранее Мартинусом Вельтманом и другими. Фактически, Тай говорил мне, что если бы не ограничение по числу страниц в журнале Physical Review Letters, в который они с Гутом послали свою статью, они не выкинули бы заключительное предложение о том, что следствием их модели должен бы быть период экспоненциального расширения Вселенной. Но Тай также заметил, что осознание важности космологических последствий периода экспоненциального расширения (что будет обсуждаться позже в этой и следующей главе) и, следовательно, помещение инфляции в центр обсуждения космологов было достижением Гута.

Как иногда бывает в извилистой истории открытий, несколькими годами ранее советский физик Алексей Старобинский нашёл другой способ генерирования того, что мы сейчас называем инфляционным расширением, в работе, которая не была широко известна среди западных учёных. Однако Старобинский не подчеркнул, что период такого быстрого расширения мог бы решить ключевые космологические проблемы (такие как проблемы горизонта и плоскостности), что объясняет частично, почему его работа не вызвала такого восторженного отклика, который получил Гут. В 1981 г. японский физик Катсухико Сато также разработала версию инфляционной космологии, и даже ещё раньше (в 1978 г.) советские физики Геннадий Чибисов и Андрей Линде наткнулись на идею инфляции, но они обнаружили — когда разобрались в деталях, — что она сталкивается с принципиальными трудностями (обсуждающимися в примечании 11), и потому не стали публиковать свою работу.

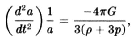
Для склонного к математике читателя следует заметить, что нетрудно увидеть, как возникает ускоренное расширение. Одно из уравнений Эйнштейна есть

Ткань космоса. Пространство, время и текстура реальности - n_12.jpg

где a, ρи pесть масштабный фактор Вселенной (её «размер»), плотность энергии и давление соответственно. Заметим, что если правая сторона этого уравнения положительна, масштабный фактор будет расти с возрастающим темпом: скорость роста Вселенной будет увеличиваться со временем. Для поля Хиггса, застрявшего на плато, его давление оказывается равным плотности его энергии со знаком минус (то же самое справедливо для космологической постоянной), так что правая сторона и в самом деле положительна.

133

Физика, лежащая в основе этих квантовых скачков, есть принцип неопределённости, затронутый в главе 4. Я буду явно обсуждать применение квантовой неопределённости к полям в главах 11 и 12, но, забегая вперёд, коротко отмечу следующее. Величина поля в данной точке пространства и скорость изменения величины поля в этой точке играют для полей такую же роль, какую для частиц играет положение и скорость (импульс). Таким образом, точно так же, как мы никогда не можем знать сразу определённое положение и определённую скорость частицы, поле не может иметь определённую величину и определённую скорость изменения этой величины в любой данной точке пространства. Чем более точно определена величина поля в данный момент времени, тем более неопределённа скорость его изменения — это означает, что тем более вероятно, что величина поля изменится моментом позже. И такое изменение, индуцированное квантовой неопределённостью, это то, что я имею в виду, когда говорю о квантовых скачках величины поля.

134

Вклад Линде и Альбрехта со Стейнхардтом был безусловно критически важным, поскольку оригинальная модель Гута — сейчас называемая старой инфляцией— страдала фатальным пороком. Вспомним, что переохлаждённое поле Хиггса (или в терминологии, которую мы вскоре введём, поле инфлатона) имеет величину, которая удерживается на выпуклости его энергетической чаши однородново всём пространстве. Поэтому, когда я описывал, как быстро переохлаждённое поле инфлатона могло бы соскочить к значению, соответствующему наинизшей энергии, нам надо было бы спросить, произойдёт ли этот квантовый скачок везде в пространстве в одно и то же время. А ответ состоит в том, что нет, не произойдёт. Вместо этого, как объяснял Гут, релаксация поля инфлатона к нулевой величине энергии происходит через образование отдельных пузырьков: сначала инфлатон соскакивает к значению поля с нулевой величиной энергии в одной точке пространства, и от этой точки начинает расти пузырёк, стенки которого двигаются со скоростью света и в котором поле инфлатона спадает к нулевой величине энергии по мере продвижения стенки пузырька. Гут представил, что множество таких пузырьков со случайно расположенными центрами в конце концов сольются, что даст Вселенную с нулевой энергией поля инфлатона везде. Однако, как это понимал и сам Гут, проблема в том, что окружающее пузырьки пространство всё ещё заполнено полем инфлатона с ненулевой энергией, так что такие области по-прежнему будут подвержены быстрому инфляционному расширению, которое будет растаскивать пузырьки друг от друга. Поэтому нет гарантии, что растущие пузырьки найдут друг друга и сольются в однородное пространство. Более того, Гут утверждал, что когда поле инфлатона релаксирует к нулевой энергии, энергия поля не теряется, а переходит в обычные частицы материи и излучения, заполняющие Вселенную. Однако чтобы довести модель до соответствия с наблюдениями, это превращение должно было бы давать однородноераспределение материи и энергии во всём пространстве. В механизме, который предложил Гут, это превращение должно было бы происходить через столкновения стенок пузырьков, но расчёты, проведённые Гутом и Эриком Вайнбергом из Колумбийского университета, а также Стивеном Хокингом, Ианом Моссом и Джоном Стюардом из Кембриджского университета, показали, что итоговое распределение материи и энергии получается неоднородным. Таким образом, оригинальная инфляционная модель Гута привела к существенным проблемам в деталях.

161
{"b":"149235","o":1}