15
См., например: Jammer M. Concepts of Space.P. 116.
16
Ленин В. И.Материализм и эмпириокритицизм. Критические заметки об одной реакционной философии. М.: Издательство политической литературы, 1984.
17
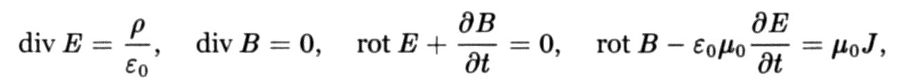
Для математически подкованных читателей приведём эти четыре уравнения:
где E, B, ρ, J, ε 0, μ 0обозначают напряжённость электрического поля, напряжённость магнитного поля, плотность электрического заряда, плотность электрического тока, диэлектрическую проницаемость и магнитную восприимчивость вакуума соответственно. Как видно, уравнения Максвелла связывают скорость изменения электромагнитного поля с наличием электрических зарядов и токов. Нетрудно показать, что эти уравнения дают для скорости электромагнитных волн величину
, являющуюся, фактически, скоростью света в вакууме.
18
Есть некоторое разногласие по поводу того, какую роль сыграли эти эксперименты при создании специальной теории относительности. В биографии Эйнштейна (см.: Пайс А.Научная деятельность и жизнь Альберта Эйнштейна / Пер. с англ. М.: Наука, 1989) Абрахам Пайс, ссылаясь на поздние заявления Эйнштейна, утверждает, что он знал о результатах эксперимента Майкельсона-Морли. Альбрехт Фользинг в своей биографии Эйнштейна (Fölzing A. Albert Einstein: A Biography.New York: Viking Press, 1997. P. 217–220) также утверждает, что Эйнштейн был осведомлён как о результатах опыта Майкельсона-Морли, так и о более ранних отрицательных результатах поиска эфира, таких как работа Армана Физо. Но Фользинг и многие другие историки науки утверждают, что эти эксперименты играли в лучшем случае лишь вторичную роль в размышлениях Эйнштейна. Эйнштейн в основном руководствовался соображениями математической симметрии и простоты, а также поразительной физической интуицией.
19
Мы видим объекты с помощью света: чтобы увидеть объект, свет должен дойти от него до наших глаз. Аналогично, чтобы увидеть свет, сам свет должен дойти до наших глаз. Поэтому есть некая условность в моём утверждении, когда я говорю, что Барт видит удаляющийся от него свет. Можно представить себе, что Барт имеет группу помощников, движущихся с его скоростью, но находящихся в различных местах вдоль «гоночной трассы». Эти помощники сообщают Барту, какой отметки трассы и в какое время достиг свет. На основе этой информации Барт может затем вычислить, с какой скоростью удаляется от него свет.
20
Есть несколько подходов к выводу преобразований координат и времени в специальной теории относительности Эйнштейна. Заинтересованный читатель может посмотреть главу 2 моей предыдущей книги ( Грин Б.Элегантная Вселенная. Суперструны, скрытые размерности и поиски окончательной теории / Пер. с англ.; Общ. ред. В. О. Малышенко. М.: URSS, 2007) (вместе с математическим выкладками, приведёнными в примечаниях к этой главе). Чёткие рассуждения с техническими деталями приводятся в книге: Тейлор Э. Ф., Уилер Дж. А.Физика пространства-времени / Пер. с англ. Н. В. Мицкевича. Изд. 2-е, дополненное. М.: Мир, 1971.
21
Остановка времени при движении со скоростью света — интересная идея, но не следует слишком увлекаться ею. Дело в том, что специальная теория относительности показывает, что ни один материальный объект никогда не сможет достичь скорости света: чем быстрее он движется, тем труднее его «подтолкнуть», чтобы придать бо́льшую скорость. Чтобы разогнать объект до скорости света, ему надо дать бесконечно сильный толчок, что попросту невозможно сделать. Таким образом, «безвременно́й» характер фотона ограничен объектами с нулевой массой(фотон является примером такого объекта), и поэтому «безвременность» навсегда за пределами достижимого всех объектов, за исключением немногих частиц. Хотя может быть интересным и полезным вообразить, как Вселенная будет выглядеть при движении со скоростью света, но в конечном счёте нам стоит сосредоточиться на том, что реально достижимо для материальных объектов, таких как мы с вами, если мы хотим понять, как специальная теория относительности влияет на наше представление о времени.
22
См.: Пайс А.Научная деятельность и жизнь Альберта Эйнштейна. С. 110.
23
Точнее говоря, мы говорим, что вода вращается, если её поверхность принимает вогнутую форму, и не вращается — если не принимает такую форму. С точки зрения Маха, в пустом пространстве нет понятия вращения, так что поверхность воды всегда будет плоской (или, чтобы избежать вопросов, связанных с отсутствием гравитации, мы можем сказать, что верёвка, связывающая два камня, всегда будет оставаться ненатянутой). Здесь же утверждается, что в специальной теории относительности есть понятие вращения даже в пустой Вселенной, поэтому поверхность воды может стать вогнутой (и может натянуться верёвка, связывающая два камня). В этом смысле специальная теория относительности противоречит идеям Маха.
24
Fölsing A. Albert Einstein: A Biography.1997. P. 208–210.
25
Математически подкованный читатель заметит, что если выбрать единицы измерений так, что скорость света будет равняться единице (этого можно достичь, взяв, например, секунду за единицу времени и световую секунду, равную 300 тыс. км, за единицу длины), то свет будет двигаться по пространству-времени под углом 45° по отношению к оси времени (потому что для такой диагональной линии одной единице пространства будет соответствовать одна единица времени, двум единицам пространства — две единицы времени и т. д.). Поскольку ничто не может превысить скорость света, то любой материальный объект должен покрывать меньшее расстояние за единицу времени, чем луч света, и, следовательно, его траектория в пространстве-времени должна быть наклонена к оси времени под углом, меньшим 45°. Более того, Эйнштейн показал, что зависимость между временем t движущдвижущегося со скоростью υнаблюдателя и временем t стационарнпокоящегося наблюдателя (предположим для простоты, что пространство одномерно) даётся формулой

где γ= (1 − υ 2/ c 2) −1/2и c— скорость света. В принятых нами единицах c= 1, поэтому υ< 1 и, следовательно, временны́е слои для движущегося наблюдателя (где t движущфиксировано) задаются уравнением
Такие срезы наклонены под некоторым углом к временны́м слоям стационарного наблюдателя ( t стационарн= const), а поскольку υ< 1, то угол между ними не может превосходить 45°.
26
Для математически подкованного читателя это утверждение можно строго сформулировать следующим образом: геодезические линии пространства-времени Минковского (пути экстремальной длины между двумя точками пространства-времени) являются геометрическим объектами, не зависящими от выбора координат или системы отсчёта. Эти линии являются внутренними, абсолютными геометрическими свойствами пространства-времени. Точнее говоря, в стандартной метрике Минковского геодезические (времениподобные) линии являются прямыми (составляющими с осью времени угол меньше 45°, поскольку скорость материального объекта не может превышать скорость света).