Литмир - Электронная Библиотека

Ātrā matemātika verbālās skaitīšanas noslēpumi - img_35.jpeg

Aizstāšanas skaitļi 23 un 24 ir attiecīgi 5 un 6.

5 x 6 = 30

3 +0 = 3

3 ir mūsu kontroles numurs.

Sākotnējās atbildes skaitļi (552) ir 3:

5 +5 +2 = 12

1 +2 = 3

Iegūtais skaitlis ir vienāds ar kontroles skaitli, kas nozīmē, ka mēs saņēmām pareizo atbildi.

Mēģināsim atrisināt vēl vienu piemēru:

23 x 31 =

Mēs rakstām 3 un 11 apļos virs 23 un 31, jo mūsu faktori ir attiecīgi par 3 un 11 lielāki par atsauces skaitli 20.

Ātrā matemātika verbālās skaitīšanas noslēpumi - img_36.jpeg

Saskaitot šķērsām, mēs iegūstam 34:

31 +3 = 34 vai 23 +11 = 34

Mēs reizinim iegūto atbildi ar atsauces skaitli 20. Lai to izdarītu, vispirms reiziniet 34 ar 2 un rezultātu ar 10.

34 x 2 = 68

68 x 10 = 680

Šī ir mūsu pagaidu atbilde. Tagad mēs reizinām skaitļus apļos:

3 x 11 = 33

Pievienosim 33 ar 680:

680 +33 = 713

Pilnībā atrisinātais piemērs izskatās šādi:

Ātrā matemātika verbālās skaitīšanas noslēpumi - img_37.jpeg

Atbildi pārbaudām, izmetot devītniekus.

Ātrā matemātika verbālās skaitīšanas noslēpumi - img_38.jpeg

Sareizināsim aizstāšanas skaitļus un pēc tam summēsim atbildes ciparus:

Tas atbilst mūsu kontroles numuram, tāpēc 713 var uzskatīt par pareizo atbildi.

Šeit ir daži piemēri, kas jums tiek piedāvāti jūsu paša lēmuma pieņemšanai. Kad esat pabeidzis, pārbaudiet savas atbildes, metot devītniekus.

a) 21 x 26 = ___; b) 24 x 24 = ___; c) 23 x 23 = ___; d) 23 x 27 = ___; e) 21 x 36 = ___; e) 26 x 24 = ___

Jums vajadzētu būt iespējai atrisināt šos piemērus savā galvā. Tas nav grūti ar nelielu praksi.

Skaitļus, kas mazāki par 20, reizinot

Kā ir ar skaitļu reizināšanu, kas ir mazāki par 20? Ja tie (vai vismaz viens no tiem) ir lielāks par 15, bet mazāks par 20, kā atsauces numuru varat izmantot 20. Atrisināsim piemēru:

Izmantojot 20 kā atsauces numuru, mēs iegūstam:

Ātrā matemātika verbālās skaitīšanas noslēpumi - img_39.jpeg

Atņemt šķērsām:

161 = 15 vai 194 = 15

Reiziniet ar 20:

15 x 2 = 30

30 x 10 = 300

300 ir mūsu starpposma atbilde.

Tagad sareizināsim apļos esošos skaitļus un pievienosim rezultātu starpatbildei:

1 x 4 = 4

300 +4 = 304

Pilnībā atrisināts piemērs izskatās šādi:

Ātrā matemātika verbālās skaitīšanas noslēpumi - img_40.jpeg

Mēģināsim atrisināt to pašu piemēru, šoreiz izmantojot 10 kā atsauces numuru:

Ātrā matemātika verbālās skaitīšanas noslēpumi - img_41.jpeg

Saskaitīsim šķērsām un pēc tam reizinim rezultātu ar 10, iegūstot starpatbildi:

19 +6 = 25

10 x 25 = 250

Sareizināsim skaitļus apļos un rezultātu pievienosim starpatbildei:

9 x 6 = 54

250 +54 = 304

Pilnībā atrisinātais piemērs izskatās šādi:

Ātrā matemātika verbālās skaitīšanas noslēpumi - img_42.jpeg

Tas apstiprina iepriekš iegūto rezultātu.

Nav lielas atšķirības starp diviem izmantotajiem atsauces numuriem. Tas ir personīgās izvēles jautājums. Vienkārši izvēlieties atsauces numuru, ar kuru jums ir vieglāk strādāt.

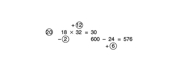
Skaitļi, kas ir lielāki un mazāki par 20

Trešais gadījums ir, kad viens skaitlis ir lielāks, bet otrs ir mazāks par 20. Piemēram:

Ātrā matemātika verbālās skaitīšanas noslēpumi - img_43.jpeg

Varat pievienot 18 un 12 vai atņemt 2 no 32 un pēc tam rezultātu reizināt ar atsauces skaitli:

322 = 30

30 x 20 = 600

Tagad mēs reizinām skaitļus apļos:

2 x 12 = 24

Mēs faktiski reizinām mīnus 2 un 12, tāpēc atbilde ir -24.

600–24 = 576

Risinājuma piemērs izskatās šādi:

Ātrā matemātika verbālās skaitīšanas noslēpumi - img_44.jpeg

(Lai atņemtu 24, vispirms atņemiet 30 un pēc tam pievienojiet 6.)

Pārbaudīsim atbildi, izmetot devītniekus:

Ātrā matemātika verbālās skaitīšanas noslēpumi - img_45.jpeg

Produkts 0 x 5 ir 0, tātad atbilde ir pareiza.

Reizinot vēl lielākus skaitļus

Iepriekšējā sadaļā mēs runājām par skaitļu pāru reizināšanas metodi līdz 30 x 30. Ko darīt, ja jums ir jāreizina vēl lielāka izmēra skaitļi? Šajā gadījumā kā atsauces skaitli varat izmantot 50. Reizināt ar to ir vienkārši, jo 50 ir puse no 100 vai 100 dalīts ar 2. Tātad, lai reizinātu ar 50, vispirms var reizināt skaitli ar 100 un pēc tam dalīt rezultātu. ar 2.

Izmēģināsim to ar piemēru:

Ātrā matemātika verbālās skaitīšanas noslēpumi - img_46.jpeg

Atņemt šķērsām:

462 = 44 vai 484 = 44

Reiziniet 44 ar 100:

44 x 100 = 4400

Mēs sakām sev šādi: «44 uz 100 ir vienāds ar 4400.» Tagad mēs ņemam pusi, kas ir līdzvērtīga 44 reizināšanai ar 50, un mēs iegūstam 2200.

4400: 2 = 2200

Tagad sareizināsim skaitļus apļos un saskaitīsim rezultātu ar 2200:

Ātrā matemātika verbālās skaitīšanas noslēpumi - img_47.jpeg

Kas var būt vienkāršāks? Apskatīsim citu piemēru:

Ātrā matemātika verbālās skaitīšanas noslēpumi - img_48.jpeg

Mēs saskaitām šķērsām, pēc tam reiziniet rezultātu ar atsauces skaitli (reiziniet ar 100 un pēc tam dalām ar 2):

57 +3 = 60

60 x 100 = 6000

6000: 2 = 3000

Reiziniet skaitļus apļos un pievienojiet rezultātu 3000:

3 x 7 = 21

3000 +21 = 3021

Pilnībā atrisinātais piemērs tagad izskatās šādi:

Ātrā matemātika verbālās skaitīšanas noslēpumi - img_49.jpeg

Atrisināsim šādu piemēru:

Ātrā matemātika verbālās skaitīšanas noslēpumi - img_50.jpeg

Mēs saskaitām šķērsām un reizinim rezultātu ar atsauces skaitli (vispirms reiziniet ar 100 un pēc tam daliet rezultātu ar 2):

63 +2 = 65

65 x 100 = 6500

Tagad mums ir jādala ar 2.

Nekādu problēmu! Mēs sakām sev: «Puse no sešiem tūkstošiem ir trīs tūkstoši. Puse no piecsimt ir divi simti piecdesmit. Kopā ir trīs tūkstoši divi simti piecdesmit.

Tagad reizināsim skaitļus apļos:

2 x 13 = 26

Pievienojot 26 starprezultātam 3250, mēs iegūstam 3276. Pilnībā atrisinātais piemērs tagad izskatās šādi:

Ātrā matemātika verbālās skaitīšanas noslēpumi - img_51.jpeg

Pārbaudīsim atbildes pareizību, izmetot devītniekus:

Ātrā matemātika verbālās skaitīšanas noslēpumi - img_52.jpeg

6 plus 3 koeficientā 63 ir vienāds ar 9, kas ir izsvītrots, atstājot aiz 0.

Atbilde ir 3 +6 = 9 un 2 +7 = 9, tas ir, visi skaitļi ir izsvītroti. 7 reizes 0 ir vienāds ar 0, tāpēc atbilde ir pareiza.

7
{"b":"890003","o":1}