Литмир - Электронная Библиотека
A
A

Вне конкурса в ЗФТШ принимаются победители областных, краевых, республиканских, зональных и всероссийских олимпиад по физике и математике 2002–2003 уч. г. Им необходимо до 15 мая 2003 г. выслать в ЗФТШ выполненную вступительную работу и копии дипломов, подтверждающих участие в вышеперечисленных олимпиадах.

Вступительное задание по физике и математике ученик выполняет самостоятельно в одной школьной тетради на русском языке. Порядок задач сохраняйте тот же, что и в задании. Тетрадь перешлите в большом конверте простой бандеролью (только не сворачивайте в трубку). Вместе с решением обязательно вышлите справку из школы, в которой учитесь, с указанием класса. Справку наклейте на внутреннюю сторону обложки тетради.

На лицевую сторону обложки наклейте лист бумаги, четко заполненный по образцу:

Юный техник, 2002 № 11 - _50.jpg

таблица заполняется методистом ЗФТШ

1. Область Архангельская

2. Фамилия, имя, отчество Личенко Иван Алексеевич

3. Класс, в котором учитесь восьмой

4. Номер школы 2

5. Вид школы (обычная, лицей, гимназия, с углубленным изучением предмета и т. п.) обычная

6. Подробный домашний адрес (с указанием индекса и телефона), e-mail: 164260, Архангельская область, Плесецкий район, п. Плесецк, ул. Галактическая, дом 99, кв. 8 [email protected]

7. Место работы и должность родителей:

отец: ГУ «Архгосэнергонадзор», инспектор

мать: Межрайонная ИМИС России № 6 по Архангельской области, начальник отдела учета налогоплательщиков

8. Адрес школы и телефон, факс, e-mai: п. Плесецк, ул. Южная, дом 2; 2-10-44

9. Фамилия, имя, отчество преподавателей:

по физике: Сагитова Вера Александровна

по математике: Сагитова Вера Александровна

10. Каким образом к Вам попала информация о приеме в ЗФТШ?

Пожалуйста, обратите внимание на правильность заполнения анкеты! Пишите аккуратно, лучше печатными буквами.

ВНИМАНИЕ! Для получения ответа на вступительное задание и для отправки вам первых заданий обязательно вложите в тетрадь два одинаковых бандерольных конверта размером 160x230. На конвертах четко напишите свой домашний адрес.

Ученикам, зачисленным в ЗФТШ в рамках утвержденного плана приема, необходимо будет оплатить целевой взнос для обеспечения учебного процесса в соответствии с уставными целями школы.

Сумма взноса будет составлять ориентировочно для учащихся заочного и очного отделений 200–350 руб. в год, для очно-заочного — 400–700 руб. (с каждой факультативной группы).

Срок отправления решения — не позднее 1 марта 2003 года.

Вступительные работы обратно не высылаются. Решение приемной комиссии будет сообщено не позднее 1 августа 2003 года.

Тетрадь с выполненными заданиями (по физике и математике) высылайте по адресу: 141700, г. Долгопрудный Московской области. Институтский пер., 9, МФТИ, ЗФТШ.

Для учащихся Украины работает Киевский филиал ЗФТШ при МФТИ (обучение платное). Желающим в него поступить следует высылать работы по адресу: 252680, г. Киев, пр. Вернадского, д. 36, Институт металлофизики. Киевский филиал ЗФТШ при МФТИ. Телефон: (044) 444-95-24.

Для учащихся из зарубежных стран возможно только платное обучение на заочном и очно-заочном отделениях ЗФТШ.

Условия обучения для прошедших конкурсный отбор будут сообщены дополнительно.

Ниже приводятся вступительные задания по физике и математике.

В задании по физике: задачи 1,3,4,67 предназначены для учащихся седьмых классов: 2,3,5–8 классов; 7 — 13 для девятых классов; 9, 12–11 классов.

В задании по математике: задачи 1 — для седьмых классов; 2–7 для восьмых классов; девятых классов; 8 — 14 для десятых классов.

Номера классов указаны на текущий 2002–2003 учебный год.

ВСТУПИТЕЛЬНОЕ ЗАДАНИЕ ПО МАТЕМАТИКЕ

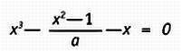
1. Упростите выражение

Юный техник, 2002 № 11 - _51.jpg

2. Найдите все простые числа р, такие, что число 3р + 1 является квадратом натурального числа.

3. Каково наибольшее число квартир в стоквартирном доме, у которых сумма цифр номера одинакова?

4. Турист отправляется в поход из А в В и обратно и проходит весь путь за 3 часа 41 минуту. Дорога из А в В идет сначала в гору, потом по ровному месту и затем под гору. На каком протяжении дорога проходит по ровному месту, если скорость туриста составляет при подъеме в гору 4 км/ч, на ровном месте 5 км/ч, при спуске с горы 6 км/ч, а расстояние АВ равно 9 км?

5. Докажите, что с помощью гирек весом 3 г и 5 г на равноплечих весах можно взвесить груз весом в любое целое число граммов, превышающее 7 г. (Гирьки укладываются только на одну чашку весов.)

6. На плоскости даны три точки Р, К и R. Построить параллелограмм, середины трех сторон которого лежат в заданных точках Р, К и R.

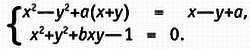
7. Для каждого значения параметра а решите систему уравнений

Юный техник, 2002 № 11 - _52.jpg

8. Найдите трехзначное число, уменьшающееся в 13 раз после зачеркивания в нем средней цифры.

9. Найти все значения параметра а, при которых разность между наибольшим и наименьшим корнями уравнения

Юный техник, 2002 № 11 - _53.jpg

удовлетворяет неравенству 2al + 3 > 0.

10. В треугольнике ABC, у которого угол LС равен 120°, проведены высоты AD и BE. Пусть F — середина АВ. Найдите углы треугольника DEF.

11. Решите неравенство

Юный техник, 2002 № 11 - _54.jpg

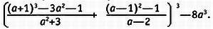
12. Решите уравнение

Юный техник, 2002 № 11 - _55.jpg

13. В треугольнике ABC, таком, что АВ = ВС = 2(5)1/2, АС = (5)1/2, проведены биссектриса AA1 медиана ВВ1 и высота СС1. Найти площадь треугольника, образованного пересечением прямых

а) АС, АА1 и СС1;

б) AA1, ВВ1 и СС1.

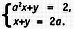
14. Найти все пары а и Ь, при которых система уравнений имеет не менее пяти решений (х, у):

Юный техник, 2002 № 11 - _56.jpg

ВСТУПИТЕЛЬНОЕ ЗАДАНИЕ ПО ФИЗИКЕ

1. Скорость автомобиля на второй половине пути вдвое превышала его скорость на первой половине. Поэтому на вторую половину пути он затратил на час меньше. Сколько времени занял весь путь?

2. Первую треть пути автомобиль проехал с постоянной скоростью v1, а оставшуюся часть — с постоянной скоростью v2 Найдите среднюю скорость автомобиля на всем пути.

3. Из двух полушарий, сделанных из разных материалов, склеили шар. Массы половинок отличаются в два раза. Шар плавает в воде, погрузившись ровно наполовину. Найдите плотность материала тяжелой половинки.

4. На равноплечих весах уравновешены два тела, массой 1 кг каждое, сделанные из материалов с плотностями 2 гм/см3 и 4 г/см3 соответственно. Оказалось, что если тела полностью погрузить в воду, равновесие весов не нарушится. Найдите объем полости в одном из тел, если известно, что другое тело сплошное.

5. На неравноплечих весах уравновешены два тела. Оказалось, что, если тела полностью погрузить в воду, равновесие весов не нарушится. Найдите отношение плотностей тел.

15
{"b":"222834","o":1}