Литмир - Электронная Библиотека
Содержание  
A
A

Видеосигнал, необходимый для получения изображения, формируется, в основном, так же, как и в телевизионном приемнике, и является цифровым сигналом, логическая единица которого создает точку, а логический ноль препятствует ее появлению. Излучение дисплеев охватывает диапазон метровых и дециметровых волн (например, 125 и 210 МГц — чуть выше пятого и десятый телевизионные каналы соответственно).

Информация может быть восстановлена с помощью обыкновенного телевизора, но без сигналов синхронизации, поэтому изображение на экране перемещается в вертикальном и горизонтальном направлениях. Качество приема может быть улучшено с помощью внешнего синхронизатора. Такая приставка к телевизору, стоимостью 15-200 $, позволяет восстановить информацию с дисплея любого типа. Используя специальную антенну, усилитель и фильтр, можно получить информацию на расстоянии до 150 м.

Также сравнительно просто восстанавливаются излучения, возникающие при функционировании накопителей на магнитных дисках.

Существуют ссылки на устройство, способное выявлять таким способом номера банковских счетов и коды доступа во время введения кредитной карточки в автомат, выдающий наличные деньги.

Кроме того, не составляет большого труда получить информацию, используя наводки но цепям питания.

Ранее уже говорилось о том, что возможен перехват информации по наводкам, возникающим в совместно проложенных кабелях.

Наиболее радикальным способом предотвращения перехвата информации побочных излучений является экранирование помещений, проводов и аппаратуры. Эти меры способствуют также защите от подслушивающей аппаратуры с использованием радиопередатчиков.

Одновременно с экранированием целесообразно выполнить также дополнительную звукоизоляцию помещений. После проведения этих работ необходимо выполнить заземление экранов и аппаратуры.

Экранирование помещений можно выполнить, используя различные материалы. Это листовая сталь, и проводящая медная сетка, и алюминиевая фольга. Расчеты показывают, что медная сетка с ячейкой 2,5 мм дает приемлемую эффективность экранирования. Достаточно эффективный и, немаловажно, дешевый экран получается при использовании алюминиевой фольги. Естественно, экранировать нужно все помещение: полы, стены, потолки, двери. На практике это может выглядеть следующим образом: выбирается одна наиболее удобно расположенная комната, желательно не имеющая стен, смежных с неконтролируемыми помещениями, а также без вентиляционных отверстий. На пол, например под линолеум, укладывается фольга, сетка и т. д., стены под обоями или панелями покрываются фольгой. Потолки можно сделать алюминиевыми подвесными, а на окнах использовать алюминиевые жалюзи, специальные проводящие стекла или проводящие (из ткани с омедненной нитью) шторы. Важно не забыть про двери и обеспечить электрический контакт экранов пола, потолка, стен и т. д. по всему периметру помещения. После проведения экранирования необходимо проверить его эффективность. Для этого необходимо использовать радиопередатчик с частотой не менее 400 МГц, мощностью 3–5 Вт, а также настроенный на волну передатчика и располагаемый последовательно с разных сторон экранированного помещения приемник.

Xoтя, конечно, лучше поручить работу по экранированию и проверке специалистам: это будет хоть и дороже, но надежней.

При проведении этих работ целесообразно выполнить заодно и звукоизоляцию помещения, с помощью которой можно уменьшить вероятность прослушивания через стены, потолки, полы. Эффективным звукоизолирующим материалом является пенопласт: слой пенопласта толщиной 50 мм равен по звукоизоляции бетонной стене толщиной 50 см. Желательно выполнить также экранировку внутренних схем используемой аппаратуры.

Серьезную проблему представляет защита линий связи, выходящих за пределы помещений. Экранирование таких линий позволяет защититься от наводок, создаваемых этими линиями во внешнем пространстве. Наиболее экономичным способом экранирования считается размещение информационных кабелей в экранирующий распределительный короб. Когда такого короба не имеется, то приходится экранировать отдельные линии связи. Для этого используют либо провода в экранирующей оболочке, либо помещают в такую оболочку (например фольгу) существующие провода. Эффективно применять при этом скрутку двух проводов (бифиляр) или трех проводов (трифиляр), уменьшающую излучение. При использовании трифиляра третий провод заземляется и служит экраном. Очень эффективен триаксиальный (экранированный коаксиальный) кабель. Необходимо проследить за тем, чтобы кабели разных линий связи были максимально разнесены для уменьшения взаимных наводок.

Необходимо иметь в виду, что экранирование проводов затрудняет или исключает прослушивание линий связи с использованием индуктивного датчика или датчика Холла, о которых говорилось в гл. 1.

При-проведении таких работ можно порекомендовать проложить несколько линий связи: например, используемый экранированный провод скрыть под штукатуркой, плинтусом и т. д., а ложный проложить открыто. Можно ложный провод также подключить к линии связи и использовать его для проведении менее ответственных переговоров. Естественно, выполнить такие работы можно только в пределах до распределительной коробки или щита.

После проведения работ по экранированию помещений необходимо выполнить работы по заземлению экранов Обычно это делается путем параллельного подключения к существующему контуру заземления, предварительно проверив его сопротивление (оно должно быть не более 4 Ом).

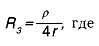
Если заземление состоит из металлической пластины радиуса г, расположенной непосредственно у поверхности земли, то сопротивление заземлителя рассчитывается по формуле:

"Шпионские штучки" и устройства для защиты объектов и информации - _168.jpg

р — удельное сопротивление грунта, Ом/см,

r — радиус заземляющей пластины, см.

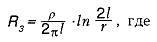
В случае использования вертикально вбитой трубы сопротивление заземления рассчитывается по формуле:

"Шпионские штучки" и устройства для защиты объектов и информации - _169.jpg

l — длина трубы, см;

r — радиус трубы, см.

Удельное сопротивление наиболее часто встречающихся грунтов приведено в табл. 5.4.

Таблица 5.4. Удельное сопротивление грунтов

"Шпионские штучки" и устройства для защиты объектов и информации - _167.jpg

5.4. Устройства постановки помех

Постановщики помех различного вида и диапазона являются эффективными устройствами для защиты переговоров от подслушивания, а также для глушения радиомикрофонов и зашумлення проводных линий. На рынке России эти устройства представлены почти исключительно генераторами шума радио- и звукового диапазонов, а также их комбинациями.

В каталогах ведущих фирм не представлены постановщики помех инфракрасного и СВЧ диапазонов. Это связано также с тем, что передатчики и приемники этих диапазонов имеют острую диаграмму направленности, и, чтобы подавить сигнал передатчиков этих диапазонов, постановщик помехи должен точно угадать расположение приемного устройства, иначе помеха будет малоэффективна. Из сказанного очевидно, что чем более направленными антеннами обладают радиомикрофоны и их приемные устройства, тем труднее поставить против них помеху. Кроме того, при том же уровне сигнала такие радиолинии обладают большей дальностью действия.

Сигналы помехи радиодиапазона принято делить на заградительные и прицельные. Заградительная помеха ставится на весь диапазон частот, в котором предполагается работа радиопередатчика, а прицельная — точно на частоте этого радиопередающего устройства.

Спектр сигнала заградительной помехи носит, как правило, шумовой пли псевдошумовой характер. Это могут быть генераторы на газоразрядной шумовой трубке, на шумовом диоде, на тепловом источнике шума и т. д. В последнее время все чаще используются импульсные сигналы, носящие псевдослучайный характер.

47
{"b":"187881","o":1}