Литмир - Электронная Библиотека
Содержание  
A
A

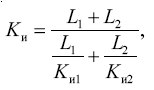
Ответ. Должны определяться по формуле:

Правила устройства электроустановок в вопросах и ответах. Пособие для изучения и подготовки к проверке знаний. Разделы 1, 6, 7 - i_020.png

где L1 н L2 – длина пути утечки участков конструкции из изоляторов соответствующего типа. Аналогичным образов должна определяться величина Ки для конструкций указанного вида при числе разных типов изоляторов, большем двух.

6. ЭЛЕКТРИЧЕСКОЕ ОСВЕЩЕНИЕ

6.1. Общая часть

Область применения. Определения

Вопрос 390. На какие установки электрического освещения распространяется настоящий раздел ПУЭ?

Ответ. Распространяется на установки электрического освещения зданий, помещений и сооружений наружного освещения городов, поселков и сельских населенных пунктов, территорий предприятий и учреждений, на установки оздоровительного ультрафиолетового облучения длительного действия, установки световой рекламы, световые знаки и иллюминационные установки.

Вопрос 391. Какие термины и определения установлены настоящими Правилами к сетям и объектам электрического освещения?

Ответ. Установлены термины и определения, приведенные в табл. 6.1.1.

Таблица 6.1.1

Термины и определения установок электрического освещения

Правила устройства электроустановок в вопросах и ответах. Пособие для изучения и подготовки к проверке знаний. Разделы 1, 6, 7 - i_021.png

Окончание табл. 6.1.1

Правила устройства электроустановок в вопросах и ответах. Пособие для изучения и подготовки к проверке знаний. Разделы 1, 6, 7 - i_022.png
Общие требования

Вопрос 392. Какие лампы следует применять для электрического освещения?

Ответ. Следует применять, как правило, разрядные лампы низкого давления (например, люминесцентные), лампы высокого давления (например, металлогалогенные типа ДРИ, ДРИЗ, натриевые типа ДНаТ, ксеноновые типа ДКсТ, ДКсТЛ, ртутно-вольфрамовые, ртутные типа ДРЛ). Допускается использование и ламп накаливания.

Вопрос 393. При каких условиях допускается применение для внутреннего освещения ксеноновых ламп типа ДКсТ (кроме ДКсТЛ)?

Ответ. Допускается с разрешения Госсанинспекции и при условии, что горизонтальная освещенность на уровнях, где возможно длительное пребывание людей, не превышает 150 лк, а места нахождения крановщиков экранированы от прямого света ламп.

Вопрос 394. Какие условия должны соблюдаться при применении люминесцентных ламп в осветительных установках?

Ответ. Должны соблюдаться следующие условия для обычного исполнения светильников:

температура окружающей среды не должна быть ниже плюс 5 °C;

напряжение у осветительных приборов должно быть не менее 90 % номинального.

Вопрос 395. Какие светильники рекомендуются для аварийного освещения?

Ответ. Рекомендуется применять светильники с лампами накаливания или люминесцентными. Разрядные лампы высокого давления допускается использовать при обеспечении их мгновенного зажигания и перезажигания.

Вопрос 396. Какое напряжение должно применяться для питания осветительных приборов общего внутреннего и наружного освещения?

Ответ. Как правило, должно применяться напряжение не выше 220 В переменного или постоянного тока. В помещениях без повышенной опасности напряжение 220 В может применяться для всех стационарно установленных осветительных приборов вне зависимости от высоты их установки.

Напряжение 380 В для питания осветительных приборов общего внутреннего и наружного освещения может использоваться при соблюдении следующих условий:

ввод в осветительный прибор и независимый, не встроенный в прибор, пускорегулирующий аппарат выполняется проводами или кабелем с изоляцией на напряжение не менее 660 В;

ввод в осветительный прибор двух или трех проводов разных фаз системы 660/380 В не допускается.

Вопрос 397. Какие требования к применению светильников в помещениях с повышенной опасностью и особоопасных при высоте установки светильников общего освещения над полом или площадкой обслуживания менее 2,5 м?

Ответ. Применение светильников класса защиты 0 запрещается; необходимо применять светильники класса защиты 2 или 3. Допускается использование светильников класса защиты 1, в этом случае цепь должна быть защищена УЗО с током срабатывания до 30 мА.

Вопрос 398. Какие условия применения осветительных приборов, установленных ниже 2,5 м от поверхности земли или площадки обслуживания в установках освещения фасадов зданий, скульптур, монументов, подсвета зелени?

Ответ. Может применяться напряжение до 380 В при степени защиты осветительных приборов не ниже IP54.

В установках освещения фонтанов и бассейнов номинальное напряжение питания погружаемых в воду осветительных приборов должно быть не более 12 В.

Вопрос 399. Какие предельные напряжения должны применяться для питания светильников местного стационарного освещения с лампами накаливания?

Ответ. Должны применяться напряжения:

в помещениях без повышенной опасности – не выше 220 В;

в помещениях с повышенной опасностью и особо опасных – не выше 50 В. В помещениях с повышенной опасностью и особо опасных допускается напряжение до 220 В для светильников; в этом случае должно быть предусмотрено или защитное отключение линии при токе утечки до 30 мА, или питание каждого светильника через разделяющий трансформатор.

Вопрос 400. Какое напряжение может применяться для питания светильников местного освещения с люминесцентными лампами?

Ответ. Может применяться напряжение не выше 220 В. При этом в помещениях сырых, особо сырых, жарких и с химически активной средой применение люминесцентных ламп для местного освещения допускается только в арматуре специальной конструкции.

Вопрос 401. При каком напряжении могут применяться для местного освещения лампы ДРЛ, ДРИ, ДРИЗ и ДНаТ?

Ответ. Могут применяться при напряжении не выше 220 В в арматуре, специально предназначенной для местного освещения.

Вопрос 402. Какое напряжение должно применяться для питания переносных светильников в помещениях с повышенной опасностью и особо опасных?

Ответ. Должно применяться напряжение не выше 50 В.

Вопрос 403. Какое напряжение должно применяться для питания ручных светильников при наличии особо неблагоприятных условий и в наружных установках?

Ответ. Должно применяться напряжение не выше 12 В.

Вопрос 404. Какое напряжение допускается для переносных светильников, устанавливаемых на переставных стойках на высоте 2,5 м и более?

Ответ. Допускается применять напряжение до 380 В.

Вопрос 405. Как должно производиться питание светильников напряжением до 50 В?

Ответ. Должно производиться от разделяющих трансформаторов или автономных источников питания.

Аварийное освещение

Вопрос 406. На какие виды освещения разделяется аварийное освещение?

Ответ. Разделяется на освещение безопасности (предназначено для продолжения работы при аварийном отключении рабочего освещения) и эвакуационное.

Вопрос 407. Какие требования предъявляются к питанию светильников рабочего освещения и светильникам освещения безопасности в производственных и общественных зданиях и на открытых пространствах?

Ответ. Должны питаться от независимых источников.

Вопрос 408. К какой сети должны быть присоединены светильники и световые указатели эвакуационного освещения в производственных зданиях с естественным освещением и в общественных и жилых зданиях?

Ответ. Должны быть присоединены к сети, не связанной с сетью рабочего освещения, начиная от щита подстанции (распределительного пункта освещения), или при наличии только одного ввода, начиная от вводного распределительного устройства.

22
{"b":"112517","o":1}