Литмир - Электронная Библиотека
Содержание  
A
A

В этом уравнении нет «причинности». Это жесткая связь между величинами, которую можно прочесть как слева направо, так и справа налево. Мы можем выполнять с ним любые операции, но только одинаковые для обеих сторон. Например, если разделить их на m, мы получим

Пространство, время и движение. Величайшие идеи Вселенной - i_010.jpg
. «Если я знаю скорость объекта, то, умножив ее на массу, я получу импульс». «Если я знаю импульс, то, разделив его на массу, я получу скорость». Эти высказывания равносильны.

Удары и толчки

Сила закона сохранения импульса выходит далеко за рамки идеи о том, что отдельный объект, на который не действуют силы, будет двигаться с постоянной скоростью. Гораздо важнее, что сохраняется суммарный импульс всех объектов, которые образуют некую систему.

Представьте себе два объекта, которые движутся без каких-либо действующих на них сил: например, два бильярдных шара на столе без трения. (Что будет идеализацией, но физики это любят.) Сначала они катятся по прямым линиям, затем сталкиваются и расходятся по новым прямым линиям.

Обозначим начальные импульсы двух шаров как

Пространство, время и движение. Величайшие идеи Вселенной - i_011.jpg
и
Пространство, время и движение. Величайшие идеи Вселенной - i_012.jpg
, а конечные — как
Пространство, время и движение. Величайшие идеи Вселенной - i_013.jpg
и
Пространство, время и движение. Величайшие идеи Вселенной - i_014.jpg
. Тогда закон сохранения импульса для них можно записать так:

Пространство, время и движение. Величайшие идеи Вселенной - i_015.jpg
(1.2)

Очевидно, что после столкновения импульсы шаров изменяются. Однако суммарный импульс остается неизменным.

Пространство, время и движение. Величайшие идеи Вселенной - i_016.jpg

Импульс сохраняется всегда. Простим наших предков за то, что они не сразу заметили это. Вспомните чашку Аристотеля, которая движется лишь тогда, когда кто-то перемещает ее по столу. Кажется, что импульс не сохраняется, ведь скорость чашки меняется с нуля до какой-то величины. Однако на самом деле на чашку воздействует рука человека, который своим весом давит на стул, на котором сидит, а тот, в свою очередь, опирается на пол и так далее, до самой Земли. Поэтому изменение импульса чашки точно компенсируется изменением импульса системы «человек, стул и Земля». Мы не замечаем этого, ведь масса чашки очень мала по сравнению с массой человека, и его скорость изменится неизмеримо мало (хотя все равно изменится). Как только человек отпустит чашку, произойдут обратные изменения скорости: импульс чашки уменьшится до нуля, а человек, напротив, приобретет небольшой импульс.

В фильме «Гравитация» есть сцена, в которой Сандра Буллок и Джордж Клуни попали в беду и летят за пределами станции, держась за привязанный к ней трос. (Предупреждаю о спойлерах в этом и следующем абзацах.) Хороший во всех отношениях фильм, но с физикой в этой сцене большие проблемы. Чтобы спасти Сандру, Джордж жертвует собой, отцепляясь от троса. В реальности все они находятся на практически одинаковой высоте от Земли, а значит, не действует никаких сил, отталкивающих их от станции. Чтобы вернуться туда, достаточно было немного дернуть за трос.

В фильмах нередко слегка искажают законы природы в угоду хорошей истории. А почему бы и нет? Но тут перегиб совершенно напрасный. Можно было бы даже повысить градус драматургии, полностью убрав трос. Представьте: Сандра и Джордж рука об руку медленно отдаляются от станции. Ничто их не держит, их общий импульс неизменен и направлен в открытый космос, к неизбежной гибели. Единственный шанс спастись — оттолкнуться друг от друга. Сумма импульсов останется прежней, но только один космонавт полетит к станции, а другой — все так же в космос, но только быстрее. Тут могут быть варианты: кто-то пожертвует собой, спасая коллегу, либо наоборот, обречет его на смерть, спасая себя. Но это был бы уже совсем иной фильм.

Классическая механика

На долгом пути к обретению знаний об импульсах люди не только открыли закон, который важен и по сей день, но и по-новому стали смотреть на физику. Исчез предложенный Аристотелем телеологический мир внутренних сущностей, причин и следствий, а также движения, требующего движущей силы. На смену ему пришел мир закономерностей, законов физики. И после важных открытий, сделанных Декартом, Галилеем и другими учеными, появилась первая полноценная система физических законов. Созданная Исааком Ньютоном в 1687 году, сегодня она известна как классическая механика.

Важно уточнить, что современные физики проводят различие между «классической механикой» — довольно широкой и универсальной системой законов — и «механикой Ньютона» — одной из конкретных моделей в этой системе. Классическая механика (в отличие, например, от механики квантовой) утверждает, что мир состоит из объектов, которые обладают определенными измеримыми свойствами и подчиняются однозначным уравнениям движения. Механика Ньютона рассматривает эти объекты в абсолютном пространстве и времени. В отличие от нее «релятивистская механика», которая также является классической, основана на том, что пространство и время представляют собой единое целое. Пока мы не начнем разговор о теории относительности, все уравнения для таких понятий, как импульс и энергия, мы будем брать из механики Ньютона.

Чтобы совсем вас запутать, добавлю, что есть еще механика Лагранжа и механика Гамильтона. Обе они, безусловно, являются классическими. И обе математически эквивалентны механике Ньютона, хоть и основаны на других понятиях. Считать ли их чем-то отличным от механики Ньютона или же нет — дело вкуса.

Классическая механика — это теория закономерностей, а не природы или причинно-следственных связей. Вместо «Какое состояние естественно для системы?» или «Почему система движется именно так?» мы спрашиваем: «Что происходит с системой в конкретный момент времени?». Полученный ответ дает возможность сделать прогноз на любой другой момент, причем не только в будущем, но и в прошлом. Вот, например, уравнение (1.2) (закон сохранения импульса) можно рассматривать применительно к прошлому: если мы знаем конечный суммарный импульс, мы можем утверждать, что он равен начальному, то есть не изменился.

Мы подошли к еще одному, гораздо более важному закону сохранения: сохранения информации, на котором по сути построена классическая механика Ньютона. Однако популярность среди ученых этот закон приобрел в 1814 году благодаря трудам Пьера-Симона Лапласа. По мнению этого математика из Франции, состояние классической системы в любой момент времени определяется положением и скоростью всех ее частей (например, Солнца и планет). Этот объем информации сохраняется с течением времени. По одному состоянию системы мы можем предсказать любые другие состояния, как в будущем, так и в прошлом. Разумеется, при наличии точных данных и мощных вычислительных систем. Лаплас представил себе «сверхразум», гипотетическое существо с такими возможностями, которое затем назвали демоном Лапласа. Разумеется, главный смысл этой идеи не в том, что кто-то может быть способен на такие предсказания, а в том, что мы должны стремиться к этому. Никто не может знать положение и скорость каждого атома в песчинке, тем более — во всей вселенной. Но у самой вселенной такие данные есть, и по законам классической механики они сохраняются во времени.

Сохранение энергии

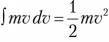
Настало время поговорить о сохранении энергии, одном из самых известных законов классической механики и любопытном примере развития физических понятий. В отличие от импульса, величины векторной, энергия объекта — это просто число («скаляр», как иногда говорят, чтобы подчеркнуть отличие от векторов и других, более сложных величин). Энергия не имеет направления и может проявляться в разных формах. Одна из них — кинетическая энергия, энергия движения, — связана с импульсом. Формула[2] кинетической энергии объекта с массой m и скоростью v выглядит так:

вернуться

2

Почему 1/2? На то есть причина, но чтобы ее понять, потребуется дифференциальное исчисление, знакомство с которым нам еще предстоит. Немного забегая вперед, скажу, что когда мы воздействуем на объект, накопленная им энергия будет равна интегралу силы по расстоянию. Согласно второму закону Ньютона, сила равна произведению массы на ускорение. Ускорение — это производная скорости по времени, а интеграл ускорения по расстоянию равен интегралу скорости по скорости. При этом

Пространство, время и движение. Величайшие идеи Вселенной - i_025.jpg
. Возможно, сейчас все кажется бессмыслицей. Наберитесь терпения.

4
{"b":"938740","o":1}