Литмир - Электронная Библиотека
Содержание  
A
A

По мнению Аристотеля, в естественном состоянии все на Земле неподвижно, а чтобы объект на какое-то время пришел в движение, необходимо внешнее воздействие. Можно поднять камень и бросить его, привести в неестественное или вынужденное состояние движения. Однако он быстро упадет на землю, может быть, вновь подлетит, отскочив от нее, но затем возвратится в естественное состояние покоя.

Экстраполируя эти наблюдения, Аристотель решил, что можно вывести основное правило вселенной: объекты естественным образом находятся в состоянии покоя, а движутся только тогда, когда что-то выводит их из этого состояния. Во многих случаях это правило действует. Например, стоящая на столе чашка не будет двигаться сама по себе. Мы можем переместить ее, приложив небольшое усилие, но стоит убрать руку, как чашка снова окажется неподвижной.

Пространство, время и движение. Величайшие идеи Вселенной - i_002.jpg

Но все-таки так происходит не всегда. Еще современники Аристотеля — древние греки — могли заметить, что выпущенная из лука стрела не сразу падает на землю, а долго летит под действием приложенной к ней силы. Почему же так происходит? Что мешает стреле быстро вернуться в естественное состояние?

Сотни лет великие умы ломали голову над этим вопросом, и в конце концов предложенная Аристотелем телеологическая картина вселенной была отвергнута. Ученые пришли к выводу: объекты не стремятся к неким конечным целям, а подчиняются строгим законам, позволяющим предсказать, что случится потом, исходя из того, что происходит сейчас.

Сохранение импульса

Мыслитель Иоанн Филопон, который жил в VI веке в Александрии, предположил, что тетива придает стреле некую величину: импульс, как ее позже назвали. Именно импульс, рассеиваясь, некоторое время поддерживает полет. Простое предположение, которое стало важным шагом на пути от «будущих целей» Аристотеля к свойствам, которые существуют в конкретный момент времени.

Идею Филопона развил Ибн Сина (Авиценна), персидский эрудит XI века. Именно он сделал решающий шаг, утверждая, что импульс — не просто временная величина. Каждый объект обладает определенным импульсом, который остается постоянным, пока на объект не подействует некая сила. У неподвижных тел импульс равен нулю.

В этой новой картине мира камни и чашки перестают двигаться не потому, что покой — их естественное состояние, а так как воздействующие на них силы (трение, сопротивление воздуха) постепенно уменьшают импульс, ранее сообщенный этим объектам. Ибн Сина предположил, что в отсутствие воздуха стрела полетит с постоянной скоростью и будет двигаться бесконечно долго. Крайне смелые мысли для того времени. Однако сегодня мы строим ракеты, скорость которых в космосе почти не меняется (если не считать небольших потерь от воздействия гравитации). В XIV веке французский философ Жан Буридан ввел математическую формулу, согласно которой импульс равен весу объекта, умноженному на его скорость.

Так появился один из законов физики: о сохранении импульса. В дальнейшем от грубой идеи о неизменности некоторого «количества движения» ученые пришли к точному пониманию того, что это за количество. Такой подход — обычное дело в теоретической физике: мы предлагаем новую величину, находим формулу для ее вычисления, а затем смотрим на то, как она, эта формула, согласуется с тем, что мы видим в реальном мире. Сегодня мы знаем, что импульс на самом деле — масса, умноженная на вектор скорости (по крайней мере, если не принимать в расчет теорию относительности, которая несколько все усложняет).

Одна из проблем придуманной Буриданом формулы (вес, умноженный на скорость) состоит в том, что вес не является собственным свойством объекта, так как зависит от действующей на него силы тяжести. На Луне человек весит меньше, чем на Земле, а на космическом корабле, на пути от планеты к планете, совсем не имеет веса. Поэтому нам нужна масса — свойство, которое, грубо говоря, показывает сопротивление объекта ускоряющему воздействию. Чтобы разогнать тяжелый и легкий объекты до одинаковой скорости, нужно приложить разные усилия: чем больше масса, тем больше сила.

Кроме того, следует различать скорость и вектор скорости. В первом случае это просто число, сколько-то метров в секунду. Вектор же показывает не только величину (которая фактически соответствует его длине), но и направление. Если одна машина едет на север, а другая на юг, и обе они проезжают 90 километров за час, мы можем сказать, что скорости их одинаковы, а направления — отличаются. Соответственно, разными будут и векторы скорости.

Когда мы хотим показать, что какая-то величина является векторной, мы ставим над ее символом стрелочку:

Пространство, время и движение. Величайшие идеи Вселенной - i_003.jpg
. Если же нас интересует только количественное значение (длина вектора), мы используем тот же символ, но без стрелочки. Иными словами, длина вектора
Пространство, время и движение. Величайшие идеи Вселенной - i_004.jpg
— это просто v.

Пространство, время и движение. Величайшие идеи Вселенной - i_005.jpg

Такое обозначение имеет смысл: мы часто представляем векторную величину, буквально рисуя стрелку, которая указывает в направлении вектора, а по длине пропорциональна его величине. Кроме того, вектор можно разложить на компоненты — векторы, которые направлены в определенные стороны и образуют в сумме исходный вектор. Если вы движетесь точно на север, то компоненты скорости, направленные на запад или восток, равны нулю.

Пространство, время и движение. Величайшие идеи Вселенной - i_006.jpg

Складывать векторы очень просто. Нужно совместить начало одного вектора с концом другого, а затем нарисовать вектор, соединяющий начало второго вектора с концом первого. Как будто мы прошли сначала по одному из исходных векторов, а затем — по второму. Если исходные векторы направлены (почти) в одну сторону, длина их суммы будет (почти) равна сумме их длин. Если же они направлены в (почти) противоположные стороны, то результирующий вектор будет намного короче.

Пространство, время и движение. Величайшие идеи Вселенной - i_007.jpg

Буридан и его предшественники не знали о векторах: их придумали в XIX веке. Среди тех, кто это сделал, — немецкий математик Август Фердинанд Мёбиус[1] (который знаменит «лентой Мёбиуса»), ирландский математик Уильям Роуэн Гамильтон, немецкий эрудит Герман Грассман и английский математик Оливер Хевисайд. Так что на правильное определение импульса ушло немало времени.

В наши дни вектор импульса обычно обозначается буквой

Пространство, время и движение. Величайшие идеи Вселенной - i_008.jpg
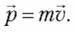
(от его латинского названия — petere). В итоге формула импульса — одна из самых простых в мире — выглядит так:

Пространство, время и движение. Величайшие идеи Вселенной - i_009.jpg
(1.1)

Наше первое официальное уравнение. Вектор импульса направлен в ту же сторону, что и вектор скорости, а его длина пропорциональна ее величине. Пропорциональность станет для нас крайне важным понятием. Оно означает, что кратное изменение одной величины влечет за собой кратное изменение другой. Если удвоить скорость, удвоится и импульс. Постоянное число, которое связывает такие величины, называется «коэффициентом пропорциональности». В некоторых уравнениях он может быть не совсем постоянным, но в данном случае это так: он равен массе объекта.

Преимущества даже такого простого уравнения очевидны. Мы не просто говорим, что импульс какого-то объекта равен произведению его массы на скорость. Мы заявляем, что существует универсальное соотношение между импульсом, массой и скоростью, которое справедливо всегда, для любого объекта. Когда мы дойдем до теории относительности, кое-какие из ранее пройденных формул придется «подправить». Но основные принципы останутся прежними.

вернуться

1

Здесь и в дальнейшем я буду писать букву ё в именах и фамилиях, чтобы вы знали, как правильно их произносить.

3
{"b":"938740","o":1}