Литмир - Электронная Библиотека
Содержание  
A
A
Справочник по морской практике - i_245.jpg

Для разрывного усилия 2420 кгс по ГОСТ 483–55 находим толщину троса горденя по окружности С = 75 мм.

3. Количество людей при подъеме груза

Справочник по морской практике - i_246.jpg

Если при подъеме или протаскивании груза по палубе один из концов троса горденя закрепить неподвижно, то при выбирании ходового лопаря вместе с грузом будет перемещаться и блок (рис. 10.2). Такое устройство в отличие от горденя дает почти двойной выигрыш в прилагаемом усилии (без учета трения при протаскивании груза).

Справочник по морской практике - i_247.jpg

Рис. 10.2. Блок подвижный

Данное приспособление относится к одношкивным талям (завал-тали у поворотных шлюпбалок и др.). Подвижные блоки применяются в грузоподъемных устройствах для выигрыша в силе. Усилие, прилагаемое к ходовому лопарю одношкивных талей, Рт в кгс:

Справочник по морской практике - i_248.jpg

где W – вес поднимаемого груза, кг;

nН – коэффициент полезного действия блока;

N- количество шкивов в блоках, включая отводные.

Тали (полиспаст) – грузоподъемное устройство, состоящее из двух блоков: подвижного и неподвижного и основанного в их шкивах троса, называемого лопарем (рис. 10.3). Конец лопаря, прикрепленный к блоку, называется коренным концом; конец, идущий на лебедку или обтягиваемый вручную,- ходовым. Ходовой лопарь талей может выходить из подвижного или неподвижного блока. Неподвижный блок талей обычно крепится к нокам шлюпбалок, стрел, кранов, рангоуту, надстройкам и т. п.; подвижный соединен своим гаком, скобой или другим приспособлением с поднимаемым грузом и перемещается вместе с ним.

Справочник по морской практике - i_249.jpg

Рис. 10.3. Тали:

а – ходовой лопарь выходит из подвижного блока; б – ходовой лопарь выходит из неподвижного блока

По числу шкивов в обоих блоках тали разделяются на двух-, трех-, четырех-, шести-, восьми-, десяти- и двенадцатишкивные. В зависимости от назначения тали имеют специальные названия.

Д в у х ш к и в н ы е тали применяются в качестве завал-талей у грузоподъемных стрел и для обтягивания снастей такелажа.

Т р е х ш к и в н ы е тали (хват-тали) состоят из одношкивного и двухшкивного блоков с коренным концом, закрепленным за одношкивный блок. При подъеме груза неподвижным является двухшкивный блок; при протаскивании груза по палубе выгоднее неподвижным иметь одношкивный блок. Применяются при подъеме или протаскивании небольших грузов вручную, а также для подъема и управления парусами на парусных судах, постановки и уборки трапов.

Ч е т ы р е х ш к и в н ы е тали применяются главным образом для подъема небольших корабельных шлюпок и могут быть использованы для подъема и протаскивания груза. Г и н ц ы – небольшие тали с одинаковым числом шкивов в обоих блоках, закрепленных напостоянно; предназначены для обтягивания и крепления снастей такелажа.

Г и н и – тали, имеющие шесть шкивов и более в обоих блоках; предназначены для подъема тяжелых грузов, больших шлюпок, моторных катеров. Р а с ч е т ы по и с п о л ь з о в а н и ю т а л е й. При работе талями вес груза (без учета трения в шкивах блоков и усилия на изгиб лопаря) распределяется равномерно на количество лопарей, идущих от подвижного блока к неподвижному. Так, например, для шестишкивных талей (рис. 10.4) тяговое усилие Р составляет 1/6 веса поднимаемого груза. Теоретически такое же усилие (рис. 10.5) будет и при использовании пяти- шкивных талей при протаскивании груза по палубе (без учета сил трения груза о палубу), если ходовой лопарь выбирать в сторону перемещаемого груза, т. е. в направлении от подвижного блока к неподвижному.

Справочник по морской практике - i_250.jpg

Рис. 10.4. Использование шестишкив- ных талей при подъеме груза

Справочник по морской практике - i_251.jpg

Рис. 10.5. Использование пятишкивных талей при протаскивании груза

Сила тяги Р в кгс при протаскивании груза с учетом сил трения

Справочник по морской практике - i_252.jpg

где f – коэффициент трения скольжения (табл. 10.2);

Q – нормальное давление груза, кгс.

Справочник по морской практике - i_253.jpg

Т а б л и ц а 10.2

В действительности выигрыш в прилагаемом усилии будет меньше, так как часть усилия затрачивается на преодоление трения в шкивах и на сопротивление изгибу лопаря, проходящего через блоки. Для уменьшения величины этих дополнительных усилий необходимо тщательно готовить тали: правильно подбирать толщину и гибкость троса, расхаживать шкивы, смазывать нагели, а также применять блоки с роликовыми и шариковыми подшипниками.

Тали, основанные новым тросом, выбираются труднее, чем тросом, бывшим в работе; мокрый растительный трос выбирается труднее сухого. Промерзшие тали использовать не рекомендуется. Потери на трение в каждом шкиве блока составляют 2–10% веса поднимаемого груза. Так, для талей со стальным лопарем и с блоком на шариковых подшипниках наименьшее значение потерь на трение будет 2–3,5%; для талей с пеньковым лопарем наибольшее значение – 8–10%. С достаточной для практики точностью принято учитывать увеличение натяжения на каждый шкив блока для стальных тросов на 1/10 веса поднимаемого груза; для растительных тросов – на 1/6.

Усилие Рт в кгс, прилагаемое к ходовому лопарю талей, идущему из неподвижного блока, при подъеме груза

Справочник по морской практике - i_254.jpg

а усилие, прилагаемое к ходовому лопарю талей, идущему из подвижного блока:

Справочник по морской практике - i_255.jpg

где N – суммарное количество шкивов в обоих блоках;

К – коэффициент, значение которого для стального троса К~10; для растительного троса К~6;

W – вес поднимаемого груза, кг.

Для более точных расчетов следует пользоваться следующими формулами.

Если ходовой лопарь выходит из подвижного блока:

Справочник по морской практике - i_256.jpg

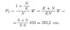
Если ходовой лопарь выходит из неподвижного блока:

Справочник по морской практике - i_257.jpg

Пример. Спасательная шлюпка весом 1,7 т поднимается шлюпбалкой, вооруженной шестишкивными гинями. Ходовые концы лопарей последовательно проходят отводные шкивы на шлюпбалках и канифас-блоках на палубе. Тяговое усилие на одного человека при подъеме должно быть не более 30 кгс.

О п р е д е л и т ь: 1. Нагрузку на каждый нок шлюпбалки.

2. Толщину лопаря талей бельного пенькового трехпрядного троса нормальной прочности Г О С Т 483–55.

3. Число людей для подъема шлюпки вручную.

Р е ш е н и е: 1. На каждую голову шлюпбалки будет приходиться примерно половина веса шлюпки. Усилие, прилагаемое к ходовому лопарю, выходящему из канифас-блока на палубе, Р = Кг Рт:

Справочник по морской практике - i_258.jpg

Отсюда

Справочник по морской практике - i_259.jpg

Нагрузка на голову шлюпбалки

Справочник по морской практике - i_260.jpg

2. Разрывное усилие троса при запасе прочности n=10:

Справочник по морской практике - i_261.jpg

По ГОСТ 483–55 в графе «Разрывное усилие» подыскиваем разрывную крепость троса, близкую к расчетной, последняя будет 3686 кгс. Этой прочности соответствует толщина троса по окружности С = 90 мм.

42
{"b":"579920","o":1}