Литмир - Электронная Библиотека
Содержание  
A
A

Лампы с прямым накалом нити в своем условном графическом изображении не имеют такой дужки, например, батарейного типа 2К2П, а также некоторые другие типы ламп. В одном баллоне лампы может находиться триод в комбинации с другим типом ламп. Это так называемые комбинированные лампы. На схемах рядом с изображением лампы ставится ее буквенное обозначение (две латинские буквы V и L) с порядковым номером по схеме (например, VL1) и возле них тип используемой лампы в конструкции (например, VL1 6Н1П). Условное графическое изображение электронных ламп различных типов с буквенным обозначением приведено на рис. 24.1.

Энциклопедия радиолюбителя - _234.jpg

Рис. 24.1. Условное графическое изображение и буквенное обозначение электронных ламп различного типа на радиоэлектронных схемах:

а — триод; б, в — двойной триод; г — лучевой тетрод;

д — индикатор настройки; е — пентод; ж — гептод;

з — двойной диод-триод; и — триод-пентод;

к — триод-гептод; л — кенотрон;

м — двойной диод с раздельными катодами косвенного накала

На рисунке буквами с цифрами обозначены: а — анод, с1 — управляющая сетка, к — катод и н — нить накала. Для генерации, усиления и преобразования сигналов в настоящее время в конструкциях радиолюбителей используются, в основном, электронные лампы с октальным цоколем, пальчиковой серии и миниатюрной серии с гибкими выводами. Последние два типа ламп не имеют цоколя, выводы в них вплавлены прямо в стеклянный баллон. Баллоны перечисленных серий ламп, в основном, изготовлены из стекла, но встречаются и из металла (рис. 24.2).

Энциклопедия радиолюбителя - _235.jpg

Рис. 24.2. Варианты конструктивного изготовления электронных ламп:

а — стеклянный баллон, октальный цоколь;

б — металлический баллон, октальный цоколь;

в — стеклянный баллон с жесткими выводами (пальчиковая серия);

г — стеклянный баллон с гибкими выводами (безцокольная серия)

Электрические параметры

В современных высококачественных усилителях звуковой частоты, в основном, отдается предпочтение трехэлектродным лампам, называемых триодами. Общими основными электрическими параметрами приемо-усилительных ламп, которые обычно приводятся в справочниках, являются следующие: коэффициент усиления μ, крутизна характеристики S и внутреннее сопротивление Ri.

Важное значение имеют так называемые статические характеристики лампы: анодно-сеточная и анодная характеристики, которые представляются в виде графика.

Имея эти две характеристики, можно графически определить три приведенных выше основных параметра ламп. Для ламп различного назначения к перечисленным характеристикам добавляются специальные, характерные для них параметры.

Лампы, используемые в усилителях звуковой частоты, характеризуются еще такими параметрами, которые зависят от того или иного режима работы выходной лампы, в частности, выходной мощностью и коэффициентом нелинейных искажений.

У высокочастотных ламп характерными параметрами являются: входная емкость, выходная емкость, проходная емкость, коэффициент широкополосности и эквивалентное сопротивление внутриламповых шумов. При этом чем меньше суммарное значение входной и выходной междуэлектродных емкостей лампы и больше крутизна ее характеристики, тем больше усиление она дает на высших частотах. Отношение крутизны характеристики лампы к ее проходной емкости служит показателем устойчивости усиления. Большее усиление от высокочастотной лампы можно получить на высоких частотах, в случае когда меньше суммарное значение входной и выходной емкостей лампы и больше крутизна ее характеристики. При выборе лампы для первых каскадов усиления, особо следует обращать внимание на ее эквивалентное сопротивление внутриламповых шумов.

Эффективность работы частотопреобразовательных ламп оценивается крутизной преобразования. Крутизна преобразования, как правило, в 3…4 раза меньше крутизны характеристики лампы. Ее значение возрастает при увеличении напряжения гетеродина.

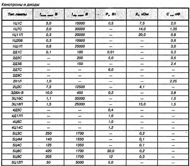
Для кенотронов основным параметром является амплитуда обратного напряжения. Наибольшие значения амплитуды обратного напряжения характерны для высоковольтных кенотронов.

На рис. 24.3 приведены основные параметры, типовой режим и цоколевка некоторых типов электронных ламп, широкоиспользующихся в радиоэлектронных конструкциях в настоящее время и использовавшихся в прошлом.

Энциклопедия радиолюбителя - _236.jpg
Энциклопедия радиолюбителя - _237.jpg

Рис. 24.3.Основные параметры, типовой режим и цоколевки некоторых типов электронных ламп широкого применения

Энциклопедия радиолюбителя - _242.jpg_0
Энциклопедия радиолюбителя - _243.jpg_0

Рис. 24.3. Основные параметры, типовой режим и цоколевки некоторых типов электронных ламп широкого применения (продолжение)

Энциклопедия радиолюбителя - _239.jpg
Энциклопедия радиолюбителя - _240.jpg

Рис. 24.3. Основные параметры, типовой режим и цоколевки некоторых типов электронных ламп широкого применения (продолжение)

Энциклопедия радиолюбителя - _241.jpg

S — крутизна анодно-сеточной характеристики; m — коэффициент усиления; Rc — наибольшее сопротивление в цепи сетки; Свх — входная емкость лампы (сетка катод), Свых — выходная емкость лампы (катод-анод, Спр — проходная емкость лампы (сетка-анод); Ра — наибольшая мощность, рассеиваемая анодом лампы

Рис. 24.3. Основные параметры, типовой режим и цоколевки некоторых типов электронных ламп широкого применения (продолжение)

Энциклопедия радиолюбителя - _242.jpg
Энциклопедия радиолюбителя - _243.jpg

Рис. 24.3. Основные параметры, типовой режим и цоколевки некоторых типов электронных ламп широкого применения (продолжение)

Энциклопедия радиолюбителя - _244.jpg

Рис. 24.3. Основные параметры, типовой режим и цоколевки некоторых типов электронных ламп широкого применения (продолжение)

Энциклопедия радиолюбителя - _245.jpg
Энциклопедия радиолюбителя - _246.jpg

Рис. 24.3. Основные параметры, типовой режим и цоколевки некоторых типов электронных ламп широкого применения (продолжение)

Энциклопедия радиолюбителя - _247.jpg
60
{"b":"551462","o":1}