Литмир - Электронная Библиотека
Содержание  
A
A

Так как диаметр Луны при наблюдении с Земли равен 0,5°, отложив его 720 раз, можно полностью покрыть орбиту Луны (предполагается, что она имеет форму окружности). Длина её орбиты в 2π раз больше расстояния от Земли до Луны, то есть 2RL∙720=2πTL. Выразив из этой формулы TL, имеем:

Музыка сфер. Астрономия и математика - i_131.jpg

Проведя аналогичные рассуждения и предположив, что Земля вращается вокруг Солнца по окружности радиуса TS,

Музыка сфер. Астрономия и математика - i_132.jpg

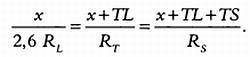
Отношение между расстояниями до Земли и радиусами Луны, Солнца и Земли

Во время лунного затмения Аристарх Самосский заметил, что Луна находится в конусообразной тени Земли в два раза дольше, чем необходимо, чтобы поверхность Луны была полностью покрыта тенью. Он сделал вывод: диаметр конусообразной тени Земли в два раза больше диаметра Луны, таким образом, отношение между этими диаметрами (а следовательно, и радиусами) равно 2:1. Сегодня известно, что отношение радиуса Земли к радиусу Луны равно 2,6:1. Во время лунного затмения с помощью хронометра можно определить отношения интервала между первым и последним соприкосновением границы Луны с конусообразной тенью Земли (этот интервал укажет диаметр конусообразной тени Земли) и интервала, в течение которого поверхность Луны окажется полностью покрыта тенью. Проведя расчёты, нетрудно получить значение, близкое к 2,6:1.

Музыка сфер. Астрономия и математика - i_133.jpg

Конусообразная тень Земли и относительное расположение Земли, Луны и Солнца.

Используя обозначения, указанные на иллюстрации, установим следующие соотношения (x — вспомогательная переменная, которая используется для упрощения расчётов):

Музыка сфер. Астрономия и математика - i_134.jpg

Подставив в эту систему уравнений соотношения Ts=400∙TL и Rs=400∙RL, исключим вспомогательную переменную x. Упростив выражения, получим:

Музыка сфер. Астрономия и математика - i_135.jpg

Эта формула позволяет выразить все приведённые выше расстояния через радиус Земли:

Музыка сфер. Астрономия и математика - i_136.jpg

Сюда нужно подставить радиус нашей планеты, чтобы определить все расстояния и радиусы небесных тел в системе «Земля-Луна-Солнце». Аристарху Самосскому не удалось вычислить радиус Земли, следовательно, он получил лишь ряд соотношений, но не расстояния и радиусы в явном виде. Сегодня радиус Земли до экватора известен: он равен 6645 км. Подставив это значение в приведённые выше выражения, получим следующие результаты: RL=1850 км (реальное значение 1738 км), расстояние TL=424000 км (реальное значение 384000 км), Rs=740000 км (реальное значение 696000 км), расстояние TS=169600000 км (реальное значение 149680000 км).

Мы привели эти результаты не для того, чтобы сравнить их с фактическими значениями, а для того чтобы показать, насколько умело действовал грек, получивший настолько точные значения примитивными методами.

Музыка сфер. Астрономия и математика - i_137.jpg

Зная точный момент первого и последнего касания границы Луны и конусообразной тени, можно определить диаметр сечения конуса (слева). Зная время, за которое тень покроет поверхность Луны, можно измерить диаметр Луны (справа).

Глава 3. Как определить массу центральной звезды планетной системы

Рассмотрим движение экзопланет вокруг центральной звезды по круговой орбите радиуса a. Приравняем силы, действующие на планету:

Музыка сфер. Астрономия и математика - i_138.jpg

Упростив, получим значение скорости v:

Музыка сфер. Астрономия и математика - i_139.jpg

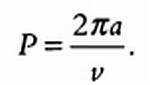
Период P обращения планеты вокруг звезды по круговой орбите равен:

Музыка сфер. Астрономия и математика - i_140.jpg

Подставив в это выражение приведённое выше значение скорости v, имеем:

Музыка сфер. Астрономия и математика - i_141.jpg

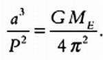
Для каждой экзопланеты можно выразить постоянную, которая приводится в третьем законе Кеплера:

Музыка сфер. Астрономия и математика - i_142.jpg

Записав указанное выше соотношение для Земли, период обращения которой вокруг Солнца равен P=1 год, а радиус орбиты, которую мы будем считать окружностью, равен а=1 а.е., получим следующее уравнение:

Музыка сфер. Астрономия и математика - i_143.jpg

Разделив друг на друга два последних равенства и приняв массу Солнца Ms=1, получим:

Музыка сфер. Астрономия и математика - i_144.jpg

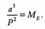
Мы знаем, что a — радиус орбиты (в а.е.), P — период обращения (в годах), таким образом, мы можем определить массу центральной звезды МE (точнее, отношение её массы и массы Солнца). Масса центральной звезды в планетной системе МE (относительно массы Солнца) рассчитывается по формуле:

Музыка сфер. Астрономия и математика - i_145.jpg

где a — радиус орбиты экзопланеты (в км), P — период обращения вокруг звезды (в днях). По этой формуле можно вычислить массу звёзд Ипсилон Андромеды и Глизе 581 относительно массы Солнца. Полученные значения будут соответствовать приведённым в таблице на странице 60.

Глава 4. Упрощённые расчёты расстояния от Земли до Солнца во время транзита Венеры в 1769 году

Отчасти пожертвовав точностью вычислений, мы попытались упростить математические выкладки и представить достаточно простой и доступный для неспециалистов метод, основанный на гипотезах Галлея и Делиля. Возьмём за основу две гипотезы: будем предполагать, что орбиты Венеры и Земли — это окружности, в центре которых находится Солнце; Венера, центр Солнца и точка, в которой находится наблюдатель на поверхности Земли, лежат в одной плоскости. Будем использовать данные, полученные во время прохождения Венеры по диску Солнца 3 июня 1769 года наблюдателями, расположенными в удалённых друг от друга точках одного и того же меридиана: в норвежском городе Вардё и в Папеэте (Таити) — это две наиболее удалённые друг от друга точки, для которых известны результаты наблюдений. Используем некоторые результаты наблюдений и рассчитаем расстояние от Земли до Солнца.

Экспедиции в Вардё и Папеэте были организованы английскими учёными. Участники первой экспедиции отправились в Тихий океан, чтобы наблюдать прохождение Венеры по диску Солнца с острова Таити. Наблюдения провёл Чарльз Грин и его заместитель, в то время никому не известный Джеймс Кук. Участниками второй экспедиции были глава Венской обсерватории святой отец Максимилиан Хелл, датский астроном Педер Хорребоу и юный англичанин Боргрюинг. Они направились в Вардё, на северо-западную оконечность Норвегии, где смогли наблюдать прохождение Венеры по диску Солнца во время полярного дня. Таким образом, учёные получили результаты наблюдений из двух точек одного меридиана, удалённых друг от друга на огромное расстояние.

Музыка сфер. Астрономия и математика - i_146.jpg
31
{"b":"257781","o":1}