Результаты наблюдений прохождения Венеры по диску Солнца 3 июня 1769 года, опубликованные в «Истории астрономии» Антона Паннекука.
Как мы уже объясняли, с помощью параллакса можно вычислить расстояния между планетами, зная величины углов и референсное расстояние. При наблюдении прохождения Венеры по диску Солнца можно определить параллакс Венеры и Солнца и вычислить расстояние между Солнцем и Землёй. Для этого проще всего наблюдать прохождение Венеры из двух достаточно далёких друг от друга точек земной поверхности. Измерив время прохождения в обоих случаях, можно рассчитать требуемые параллаксы и расстояние от Земли до Солнца.
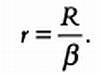
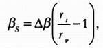
β — параллакс Солнца, или угол, под которым виден радиус Земли при наблюдении с Солнца.
Параллакс Солнца — это угол β, изображённый на предыдущем рисунке.
По определению тангенса, имеем
Так как величина угла очень мала, его тангенс примерно равен самому углу, выраженному в радианах. Выразив расстояние от Земли до Солнца, r, получим:
Для наблюдения этого параллакса мы должны находиться на Солнце, что невозможно. Наблюдатели располагаются в разных точках земной поверхности и смотрят на Солнце с Земли. Они видят прохождение Венеры по диску Солнца по-разному — точно так же мы видим один и тот же предмет немного по-разному, когда смотрим на него отдельно правым и левым глазом.
Рассмотрим двух наблюдателей, которые располагаются в точках A и B одного меридиана (с целью упрощения расчётов) на разных широтах. Они видят Венеру как точку (или маленький круг) на диске Солнца в двух разных положениях, A' и B'. Сравнив результаты этих двух наблюдений (см. следующий рисунок), мы сможем измерить смещение: расстояние A'B' соответствует расстоянию между видимыми положениями Венеры при одновременном наблюдении из точек A и B.

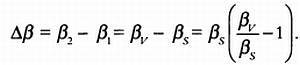
По результатам наблюдений за движением Венеры в течение транзита можно изобразить на диске Солнца её траекторию. Если мы ведём наблюдения из точек A и B, получим две параллельные линии. Расстояние между ними будет параллаксным смещением Δβ, которое в любой момент времени будет соответствовать расстоянию A'B'. Чтобы упростить расчёты, будем считать, что центры Земли (О), Венеры (V) и Солнца (C), а также точки земной поверхности A и B, из которых ведётся наблюдение, расположены в одной плоскости. Углы при вершине P в треугольниках APV и BPC равны как вертикальные. Так как сумма углов любого треугольника равна 180°, выполняется следующее соотношение:
βv+β1=βs+β2
Введём угол Δβ, которым обозначим расстояние между различными положениями Венеры на диске Солнца (оно будет равно расстоянию A'B' в любой момент времени). Изменив порядок слагаемых, получим:
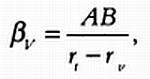
По определению, параллакс Венеры равен:
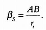
параллакс Солнца равен
Подставив эти выражения в приведённое выше уравнение, получим:
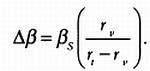
В частности, параллакс Солнца βs будет рассчитываться так:
где Δβ — расстояние между двумя траекториями Венеры, видимыми из различных точек земной поверхности, а отношение rt/rv можно рассчитать по третьему закону Кеплера. Куб этого отношения должен быть пропорционален квадрату отношения периодов обращения планет вокруг Солнца. Периоды обращения Венеры и Земли известны и равны 224,7 дня и 365,25 дня соответственно. Таким образом, параллакс Солнца βs удовлетворяет соотношению:
βs=0,38248 Δβ.
Δβ определяется на основе результатов наблюдений из точек A и B, находящихся на одном меридиане. Мы используем рисунок XVIII века, на котором изображена траектория Венеры, видимая из разных точек одного меридиана при транзите.
Рассчитать Δβ можно разными способами:
1. Простейший способ — непосредственное измерение по рисунку, приведённому на странице 159: достаточно рассмотреть отношение диаметра Солнца D на рисунке и угловой размер Солнца. Угловой размер Солнца равен 30 минутам дуги, выраженным в радианах. Имеем:
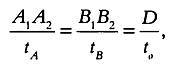
2. Также можно измерить хорды окружности на рисунке. Этот способ точнее, так как измерить длины хорд A1A2 и B1B2 всегда можно с большей точностью, чем расстояние между этими хордами A'B'.
Рисунок позволяет связать длины хорд A1A2 и B1B2 с расстоянием между ними, A'B'.
По теореме Пифагора для треугольников SB'B1 и SA'X1 получим
3. Вместо расстояний можно отсчитывать время. Достаточно рассмотреть соотношение
где tA и tB — время прохождения A1A2 и B1B2. Обозначив через t0 гипотетическое время транзита по всему диску Солнца, через t' — время, соответствующее Δβ, установим соотношение:
Использовать временные интервалы вместо расстояний следует с осторожностью. Как показано на следующем рисунке, следует различать время внешнего касания (C1 и C4) и внутреннего касания (C2 и С3) Венеры с диском Солнца. Внутренние касания всегда можно определить точнее, несмотря на искажения, вносимые эффектом чёрной капли. По этой причине в расчётах учитываются только моменты внутреннего касания.
Наиболее точно можно определить моменты внутреннего касания C2 и C3, поэтому именно они используются в расчётах.
На основании результатов наблюдений транзита Венеры 1769 года, полученных в Вардё и Папеэте, получим следующие значения (с учётом того, что расстояние AB по прямой равно 11425 км).