Литмир - Электронная Библиотека

А в чем еще постоянно нуждается живая клетка?

Конечно же в энергии, которая вырабатывается в митохондриях – энергетических станциях клетки. В клетке содержится около 2 000 митохондрий, совокупный объем которых составляет до четверти от общего объема клетки! Митохондрии имеют сферическую или эллипсоидную форму. Мембран у них две – гладкая внешняя и складчатая внутренняя, которая образует множество поперечных перегородок, называемых «кристами». Митохондрии способны размножаться путем деления.

Биология для тех, кто ищет ответы в природе - img0e7772a1846040c0bac96bcf1c15c824.jpg

Строение митохондрии

В митохондриях подвергаются окислению органические вещества, поступившие в клетку извне. В ходе этого процесса образуются клеточные аккумуляторы – молекулы аденозинтрифосфорной кислоты (АТФ), способные накапливать энергию.

Аденозинтрифосфорная кислота – универсальный аккумулятор. Она содержится во всех клетках растений и животных. Количество АТФ в среднем составляет 0,04 % от массы клетки. Наибольшее количество АТФ – до 0,5 % содержится в скелетных мышцах, которые активно работают и нуждаются в больших количествах энергии.

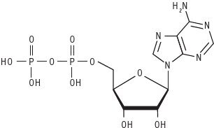
Давайте рассмотрим «схему» нашего аккумулятора.

АТФ состоит из остатков азотистого основания аденина, моносахарида рибозы и трех остатков фосфорных кислот. С химической точки зрения, если кому интересно, она представляет собой рибонуклеозидтрифосфат. Но согласитесь, что АТФ звучит, выговаривается и запоминается проще. К слову будь сказано, что химики свои мудреные названия никогда не запоминают, потому что в химии все названия даются не с помощью фантазии (например, как названия видов в биологии), а по строгим законам. Химики читают название по формуле и могут написать формулу по названию.

Биология для тех, кто ищет ответы в природе - img83c5f52f7f4f4799b722d6ca1af62745.jpg

Структурная формула молекулы АТФ

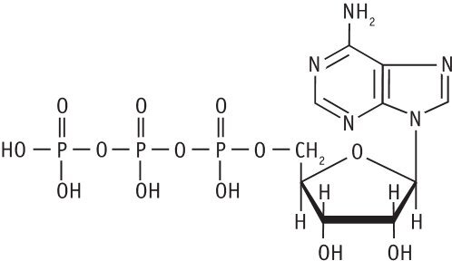
Энергия высвобождается при гидролизе3 АТФ, когда от молекулы последовательно отщепляются остатки фосфорной кислоты (на формуле они видны слева). При отщеплении концевого остатка фосфорной кислоты АТФ переходит в аденозиндифосфорную кислоту (АДФ), при отщеплении второго остатка фосфорной кислоты – в аденозинмонофосфорную кислоту (АМФ)4.

Биология для тех, кто ищет ответы в природе - img811988850a0c4a6fa3b6462461f02e06.jpg

Формула АДФ

Биология для тех, кто ищет ответы в природе - img865ef2a10be342bfa06163ec3aaed792.jpg

Формула АМФ

Выход свободной энергии при отщеплении концевого и второго остатков фосфорной кислоты составляет по 30,6 кДж. А вот отщепление третьей фосфатной группы сопровождается выделением только 13,8 кДж. Если вы захотите узнать, сколько это будет в килокалориях, то умножайте количество килоджоулей на 0,24, поскольку в 1 килоджоуле 0,24 килокалории.

Запасы АТФ постоянно пополняются. В клетках всех организмов синтез АТФ происходит в процессе фосфорилирования – присоединения фосфорной кислоты к АДФ. Фосфорилирование, как вы понимаете, сопровождается поглощением энергии.

АТФ является основным связующим звеном между процессами, сопровождающимися выделением и накоплением энергии, и процессами, протекающими с затратами энергии. АТФ – одно из наиболее часто обновляемых веществ в организме. Например, у человека продолжительность жизни одной молекулы АТФ составляет меньше минуты. Наш организм синтезирует около 40 килограмм АТФ ежесуточно, но в каждый конкретный момент в нем содержится около 250 грамм АТФ. Запаса АТФ в организме практически не создается (он всего лишь пятиминутный), поэтому для нормальной жизнедеятельности необходимо постоянно синтезировать новые молекулы этого вещества. Именно поэтому нам приходится принимать пищу 3–4 раза в сутки.

Может возникнуть вопрос – зачем нужна вся эта круговерть? Только-только синтезируется АТФ и тут же распадается. Не успеешь создать запас, как его уже нет (на ум сразу же приходят Винни-Пух и его горшочек меда). Может, природе стоило бы как-нибудь упорядочить это дело, чтобы в сутки вырабатывать хотя бы 5 кг АТФ вместо 40?

Дело в том, что АТФ – это не форма запаса энергии. Наш организм, как и другие организмы, откладывает энергию про запас в виде жиров и гликогена, полисахарида, образованного остатками глюкозы. АТФ – это не столько средство запаса энергии, сколько средство ее транспортировки из одной точки в другую, от места высвобождения и связывания к месту использования.

Но довольно с нас химии, пора возвращаться в мир биологии, к строению клетки.

Как по-вашему, если митохондрии способны размножаться самостоятельно, посредством деления, то чем они для этого должны обладать?

Конечно же, собственной ДНК или РНК, ведь размножение должно идти по плану, записанному в митохондриальных анналах. Молекулы митохондриальной ДНК относительно невелики, например в митохондриальной ДНК человека содержится 37 генов, а не сотни-тысячи, как в ядерной ДНК. Но митохондриям этого достаточно. РНК в митохондриях тоже содержится, но все виды митохондриальной РНК являются вспомогательными. Основной носитель наследственной информации – ДНК.

Митохондриальная ДНК наследуется только по материнской линии, поскольку отцовские митохондрии потомству передаваться не могут. У сперматозоида всего одна задача – доставка отцовской ядерной ДНК к яйцеклетке матери. С одной стороны, яйцеклетке кроме ДНК от отца больше ничего не нужно, все остальное у нее есть, а с другой стороны, сперматозоид должен иметь как можно меньшую массу, потому что скорость передвижения обратно пропорциональна массе. В сравнении с яйцеклеткой сперматозоиды выглядят лилипутами. Их строение предельно просто – маленькая головка, в которой находится ядро и немного цитоплазмы с митохондриями, короткая шейка, где митохондрий довольно много, и длинный хвост-двигатель. Митохондрии, содержащиеся в шейке нужны для того, чтобы обеспечивать хвост энергией. Во время оплодотворения шейка сперматозоида и хвост остаются снаружи, в яйцеклетку проникает лишь головка. Организм, развившийся из оплодотворенной яйцеклетки, получает митохондрии и митохондриальную ДНК только от матери. То небольшое количество митохондрий, которое попадает в яйцеклетку вместе с цитоплазмой головки (вместе с ядром), на новом месте не приживается – отцовские митохондрии в яйцеклетке гибнут.

Конец ознакомительного фрагмента.

Текст предоставлен ООО «Литрес».

Прочитайте эту книгу целиком, купив полную легальную версию на Литрес.

Безопасно оплатить книгу можно банковской картой Visa, MasterCard, Maestro, со счета мобильного телефона, с платежного терминала, в салоне МТС или Связной, через PayPal, WebMoney, Яндекс.Деньги, QIWI Кошелек, бонусными картами или другим удобным Вам способом.

вернуться

3

Гидролизом (водным разложением) называется химическая реакция взаимодействия вещества с водой, при которой происходит разложение этого вещества и воды с образованием новых соединений.

вернуться

4

В химической номенклатуре используются умножающие приставки (они же умножающие префиксы, числовые приставки или числительные приставки) – приставки, обозначающие количество повторений понятия, лежащего в основе термина. Приставка «три» обозначает 3, «ди» – 2, а «моно» – 1.

6
{"b":"946705","o":1}