Литмир - Электронная Библиотека
Содержание  
A
A

Я не хочу очень подробно останавливаться на истории открытия нейтрона, потому что этому было посвящено несколько интересных лекций на Конгрессе по истории науки, состоявшемся в 1962 г. в Итаке (штат Нью-Йорк). В опубликованном сборнике трудов этого конгресса есть интересные доклады Нормана Фэзера и сэра Джеймса Чадвика. Там сказано, что открытие нейтрона в Кембридже было не просто удачей, которая может выпасть на долю каждого исследователя, а явилось результатом поисков нейтрона, проводившихся в Кембридже (несмотря на ошибочные теоретические идеи). Это открытие окрылило ученых Кембриджа. Они обнаружили важное явление, которое могло бы остаться незамеченным. X. К. Вебстер нашел, что интенсивность странных проникающих лучей, испускаемых бериллием при облучении его α-частицами, была больше в направлении движения падающих α-частиц, чем в противоположном. Этот результат был абсолютно непонятен, если бы испускались γ-лучи, как думали в то время. Даже французские физики Кюри и Жолио разделяли эту точку зрения, которая существенно подкреплялась всеми теоретическими предсказаниями. Затем эксперименты Чадвика ясно показали, что мистическое излучение состоит из частиц с массой, приблизительно равной массе протона. Возникло некоторое замешательство, так как Энрико Ферми и Вольфганг Паули уже назвали «нейтроном» частицу, позже переименованную в «нейтрино».

Конечно, после открытия нейтронов интерес к ним заметно возрос, но никто не знал, что именно надо делать. Нейтроны, в конце концов, были вторичными продуктами расщепления ядер, число их было невелико. Выход нейтронов был мал, так как для облучения использовались элементы с естественной α-радиоактивностью.

Кроме того, одним из главных детекторов была камера Вильсона, с помощью которой удается обнаружить лишь незначительное число реакций, в которых участвует нейтрон. Это довольно утомительно – пытаться восстановить истинную картину по нескольким детектированным трекам ядер отдачи.

Лео Сциллард однажды в шутку сказал, что если мужчина совершает какой-нибудь неожиданный поступок, то за этим кроется женщина, ну а если в атомном ядре внезапно что-то произошло, то в этом чаще всего виноват нейтрон.

Электронная методика счета тогда только развивалась. Основным поводом для ее развития послужили неверные результаты, полученные в Вене; оказалось, что никто не мог их подтвердить. Поэтому необходимость разработки электронных счетчиков и усилителей стала очевидной. Венские ученые сами начали вести работы в этом направлении, но без особого успеха. Некоторые результаты были получены Германом Грейнахером в Швейцарии.

Однако, как я думаю, путь, который привел к созданию хороших счетчиков, был найден в Англии Чарльзом Вином-Вильямсом, использовавшим для изготовления электронных счетчиков хорошую защиту, электронные лампы с низким уровнем шумов и т. д. Тем не менее эти счетчики – хотя они и были использованы с большим успехом Чадвиком в опытах с нейтронами – обладали высоким уровнем шумов, что мешало их более широкому применению.

Искусственная радиоактивность

По-настоящему все пришло в движение в 1934 г., когда Кюри и Жолио открыли искусственную радиоактивность. Я думаю, что они должны были быть очень счастливы, так как им удалось наверстать то, что они упустили при открытии нейтрона. Эти открытия разделяют два года; они были сделаны чуть ли не в один и тот же день в середине января. За много месяцев до этого Кюри и Жолио знали, что алюминий, облучаемый α-частицами, излучает позитроны, но им никогда не приходило в голову, что здесь может играть какую- то роль процесс распада. Они наблюдали испускание позитронов только во время облучения мишени. Лоуренс со своей группой, работавшей на циклотроне в Калифорнии, допустил такую же ошибку. Более того, в Калифорнии заметили, что счетчик ведет себя несколько «странно» после выключения циклотрона, и даже разработали специальное приспособление, автоматически выключавшее счетчик одновременно с циклотроном. Будь они повнимательнее, они могли бы открыть искусственную радиоактивность раньше, чем это было сделано во Франции.

Удивительно, что никому для этого не пришла в голову мысль о том, что в результате ядерного расщепления может возникнуть нестабильное ядро, хотя о существовании нестабильных ядер было, конечно, известно уже лет тридцать или более того. Мне говорили, что после открытия искусственной радиоактивности Резерфорд написал Жолио и, поздравляя его, заметил, что сам не раз думал о том, что образующиеся ядра могли быть нестабильными, но сам он всегда искал только α-частицы, потому что β-частицы его никогда не интересовали.

В январе 1934 г., как только стала известна эта работа, многие ученые стали повторять и расширять эксперимент. К сожалению, большинство из них ринулось по пути тривиального воспроизведения опытов Кюри и Жолио, бомбардируя α-частицами другие элементы. (По тому же пути пошел и я в лаборатории Блэкетта в Лондоне.)

Но в Риме в это время Ферми уже решил, что в ядерной физике есть еще важные и интересные направления исследований. У него уже были наготове некоторые экспериментальные установки. Поэтому, когда было сделано это открытие, он быстро поставил эксперименты с целью понять, могут ли ядра становиться радиоактивными под действием нейтронов.

Я помню, что моя реакция, как, возможно, и реакция многих других, была скептической: эксперимент Ферми казался бессмысленным, потому что нейтронов было много меньше, чем α-частиц. Этот простой аргумент, конечно, не учитывал значительно большую эффективность нейтронов. Нейтроны не замедляются электронами, их не отталкивает кулоновское поле ядра. Действительно, не прошло и четырех недель после открытия Кюри и Жолио, как Ферми опубликовал первые результаты, доказывавшие, что различные элементы становятся радиоактивными после их облучения нейтронами. Только спустя месяц он заявил, что при бомбардировке урана возникает некий новый тип радиоактивности, который, как ему кажется, должен быть связан с трансурановыми элементами. На основании как теоретических соображений (кулоновский барьер и тому подобное), так и экспериментальных данных считали, что поглощение нейтронов тяжелыми элементами не может привести к их распаду. Поэтому все были уверены в том, что так должно быть и в случае с ураном.

Конечно, работы Ферми представляли значительный интерес для радиохимиков. Многие из них принялись за дело, но опять, как ни странно, главным стимулом послужил неверный результат – работа Аристида фон Гроссе (химика, работавшего в США, немца по национальности), по мнению которого один из этих элементов вел себя как протактиний.

Совместно с Ганом он сделал одну из первых работ по протактинию вскоре после открытия этого элемента в 1917 г., поэтому полученные им результаты заставили Гана и Мейтнер мобилизовать все свои силы. Они считали протактиний собственным детищем и решили проверить выводы фон Гроссе. Лизе Мейтнер уговорила Гана снова объединить усилия. Скоро ими было показано, что Гроссе ошибся: это был не протактиний. С другой стороны, было обнаружено так много странных явлений, что работа увлекла их и они решили продолжать исследования. Результат превзошел все ожидания.

Вместо тысячи солнц. История ядерной бомбы, рассказанная ее создателями - i_001.png

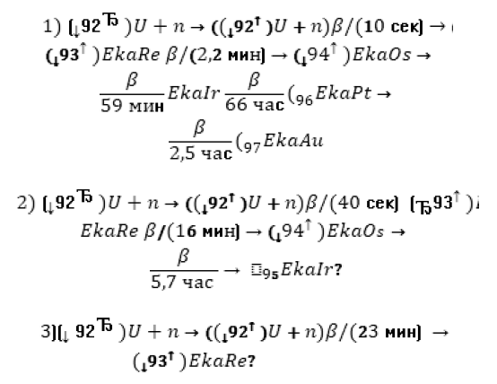
Схема каналов распада радиоактивных элементов (из статьи Гана, Мейтнер и Штрассмана, опубликованной в журнале «Naturwissenschaften» в 1938 г.)

Выше приведены цепочки радиоактивных элементов, классифицированных Ганом и Мейтнер. Они еще не присвоили специальных названий трансурановым элементам, а употребили приставку «эка», чтобы подчеркнуть их связь с рением, осмием и т. д.; ряд трансурановых элементов заканчивался на эказолоте. Очевидно, такое большое число новых химических элементов вызвало у Гана желание ознакомиться с ними и изучить их свойства. В наши дни элементы, идущие за ураном, известны, конечно, как нептуний, плутоний, америций и т. д., а современные данные об их химических свойствах отличаются от сведений, полученных Ганом.

2
{"b":"659860","o":1}