Литмир - Электронная Библиотека
Содержание  
A
A

С самого начала моим делом заинтересовалось несколько некоммерческих организаций. Джесселин Рэддек, работавшая в то время в Government Accountability Project (GAP), одной из первых рассказала общественности о моем разбирательстве. Она предала гласности попытки министерства юстиции противостоять моим усилиям и преследовать человека, который раскрыл крупнейшее налоговое мошенничество в истории. Она рассказала и о том, как меня посадили в тюрьму за то, что многие люди считали поистине героическими действиями. Ее собственный прежний, довольно мучительный опыт изобличения неправомерных действий в министерстве юстиции, а также представление интересов изобличителей в бесчисленном количестве других разбирательств позволили привлечь к моему делу широкое внимание.

Кроме GAP, большую роль в предании гласности действий министерства юстиции сыграли следующие организации — Национальный центр помощи информаторам (NWC), Project on Government Oversight (POGO), Taxpayers Against Fraud (TAF), Transparency International, Global Witness, Democracy Now, No Fear Coalition, Disclosure Watch, Federal Ethics Center, Whistleblowers USA, Federal Accountability for Reform (FEAR), National Forum on Judicial Accountability, Whistleblowers Support Fund, International Association of Whistleblowers и National Public Radio (NPR). Все они помогли мне доказать, что министерство юстиции мешало мне заявить о действиях UBS и других частных банков, помогавших зажиточным американцам избегать своих налоговых обязательств.

Помимо организаций, помогавших изобличителям, свою роль сыграли и многие журналисты. Они проводили расследования и сообщали о незаконных действиях UBS и других частных банков, а также о том, как министерство юстиции спустя рукава относилось к своей работе по отправлению правосудия. Я хочу особенно отметить глубокую и серьезную работу следующих американских журналистов: Шэрил Аттикссон, Фабио Бенедетти-Валентини, Майкла Броннера, Джесси Друкера, Хуана Гонсалеса, Джеймса Гримальди, Дэвида Хильценрата, Уильяма Хоука, Имона Хаверса, Дженет Новак, Даниэля Рантьеса, Лору Сандерс, Дейва Соломона, Кена Стиера и Вивьен Уолт. За пределами США, где история налогового заговора частных банков и отдельных лиц только начинает раскручиваться, я бы хотел особенно отметить журналистов, которые помогли предать гласности роль UBS и других частных банков в этом заговоре: Иэна Аллисона, Тома Берджеса, Астрид Дорнер, Кэтрин Дюбулоз, Сири Гедде-Даль, Лукаса Хэссига, Мишеля Анри, Артура Хонеггера, Джона Легцинга, Маттье Пеллоли, Эдуарда Перрина, Франсуа Пиле, Валери де Сенневиль, Хейга Симоняна, Себастьяна Ситтла, Горана Скаалмо, Ноопура Тивари, Роара Вальдергоха, Мэтью Валенсиа и Маритину Зафеириаду. Уверен, что я не включил имена многих людей, внесший ценный вклад в расследование этого глобального мошенничества, приношу за это свои извинения и выражаю всем этим людям свою искреннюю благодарность.

Я бросил вызов крупнейшему банку мира, не до конца понимая, с какими последствиями сталкиваются изобличители. Мне посчастливилось встретить в последние годы нескольких настоящих героев, рискнувших всем ради раскрытия преступлений. Хочу поблагодарить Гарри Маркополоса, раскрывшего мошенническую «схему Понци», созданную Берни Мэдоффом, и многих других изобличителей за их отважные усилия. Мы обязаны признать важность вклада, внесенного этими людьми в развитие нашего общества, и всячески поддерживать законодательные акты и программы, помогающие защищать их работу и обеспечивающие им достойную компенсацию.

Я хочу поблагодарить всех тех, кто помогал мне в создании этой книги. Спасибо моим друзьям, семье и коллегам — я очень ценю все то, что вы делаете, чтобы рассказать всему миру о моей жизни. Вы помогли мне описать жизнь частного банкира и сделали все для того, чтобы мой рассказ не ушел в сторону. Также я бы хотел поблагодарить Эрика Раймана за помощь в путешествии по таинственному миру законодательства, связанного с произведениями литературы и искусства.

Я всегда буду безгранично признателен моим дорогим друзьям Фрицу Беллу (светлая память!) и Уиллу Фрегози, которые дали мне кров, работу и возможность общения после освобождения из тюрьмы. Они помогли мне снова встать на ноги, гордились моими действиями по изобличению преступников и всячески поощряли меня к тому, чтобы я рассказал эту историю всему миру.

И наконец, я очень благодарен Стивену Хартову за множество часов, в течение которых он терпеливо изучал историю и тщательно погружался в жизнь частного банкира. Спасибо ему за вдумчивое исследование моего исторического изобличения и моей драматической битвы против министерства юстиции. Стивен смог мастерски передать в книге мои интонации, и нам удалось удачно рассказать неслыханную историю о том, как я разрушил секретность швейцарской банковской системы.

ПРИЛОЖЕНИЯ

Десять крупнейших скандалов с участием UBS

Мое историческое изобличение позволило открыть лишь одну из многих незаконных схем, реализованных UBS в недавние годы. И хотя действия по уходу от налогов, которые я предал огласке, имели очень крупные последствия, другие известные схемы с участием UBS позволяют понять, с каким пренебрежением относился банк к законам, работая по всему миру.

1. 10 мая 2004 года — незаконный перевод валюты США в страны, находящиеся под эмбарго.

ШТРАФ: 100 миллионов долларов.

2. 18 февраля 2009 года — уклонение от уплаты налогов в США с помощью офшорных схем.

ШТРАФ: 780 миллионов долларов.

3. 4 мая 2011 года — мошенничество с ценными бумагами на рынке деривативов (мини-бондов).

ШТРАФ: 160 миллионов долларов.

4. 26 ноября 2012 года — вышедший из повиновения британский трейдер потерял 2,3 миллиарда долларов.

ШТРАФ: 47,6 миллиона долларов.

5. 19 декабря 2012 года — махинации со ставкой LIBOR на валютном рынке.

ШТРАФ: 1,5 миллиарда долларов.

6. 25 июля 2013 года — мошенничество на рынке ценных бумаг, обеспеченных закладными.

ШТРАФ: 885 миллионов долларов.

7. 29 июля 2014 года — уклонение от уплаты налогов в Германии с помощью офшорных схем.

ШТРАФ: 403 миллиона долларов.

8. 30 сентября 2014 года — уклонение от уплаты налогов во Франции и отмывание денег.

ШТРАФ: 1,4 миллиарда долларов.

9. 20 мая 2015 года — скандал на рынке валют и LIBOR.

ШТРАФ: 545 миллионов долларов.

10. 10 марта 2016 года — признание незаконными премий, выплаченных банкирам UBS.

ШТРАФ: 130 миллионов долларов.

Документ 1: Швейцарская банковская тайна

Игра Люцифера - i_001.jpg

UBS

Частное банковское обслуживание

Конфиденциальность клиента банка в Швейцарии Июнь 2003 г.

Эта презентация UBS описывает причины, по которым клиенты UBS были некорректно проинформированы о том, что они находятся под защитой банковской тайны.

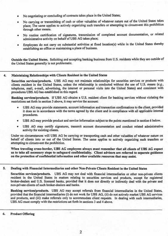
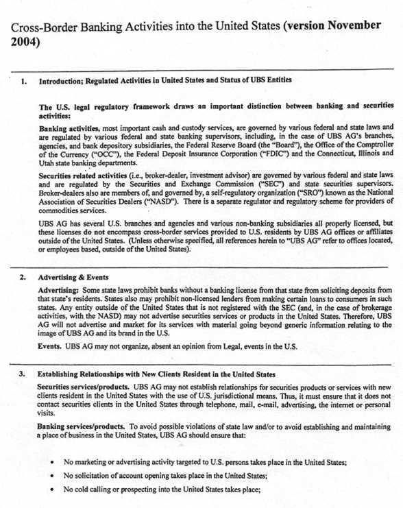
Документ 2: Трехстраничный меморандум

Игра Люцифера - i_002.jpg
Игра Люцифера - i_003.jpg
Игра Люцифера - i_004.jpg

Именно этот меморандум UBS был основной причиной, по которой Брэд решил осуществить свое историческое изобличение.

Трансграничная банковская деятельность на территории Соединенных Штатов (версия от ноября 2004 г.)
1. Введение: регулируемые виды деятельности в Соединенных Штатах Америки и статус компании UBS

Правовая нормативная база США проводит важное различие между банковской деятельностью и деятельностью в области ценных бумаг.

74
{"b":"624716","o":1}