Разнообразие кислородсодержащих органических веществ вовсе не исчерпывается спиртами и простыми эфирами. Дело в том, что кислород может образовать с углеродом не только одинарную связь, но и двойную. К самому кислороду тогда больше ничего не присоединяется (двойная связь поглощает обе его валентности), и возникает легко узнаваемая группа – СO–. Если по обеим сторонам этой группы находятся углеводородные радикалы, такое соединение называется кетоном. Общая формула кетона: R1–CO – R2. Самый простой кетон имеет формулу CH3–CO – CH3 и называется ацетоном; он широко известен как бытовой растворитель. Если же по одну сторону от группы – CO– находится углеводородный радикал, а по другую просто атом водорода, то такое соединение называется альдегидом. Общая формула альдегида: R – CO – H.
Интересно, что и вещество с формулой H – CO – H, где оба радикала сводятся к атомам водорода, тоже принято считать альдегидом. Название этого вещества – муравьиный альдегид, или формальдегид. Это одно из самых простых органических веществ в природе. Водный раствор формальдегида, часто используемый биологами для консервации объектов, – жидкость с отвратительным едким запахом, которая называется формалином. За формальдегидом по сложности следует уксусный альдегид (CH3–CO – H), ну и так далее.
Бывает и так, что в одну и ту же молекулу входит несколько разных кислородсодержащих групп. Например, спирт, который одновременно является альдегидом или кетоном, по-научному называется углеводом. Самый простой из всех возможных углеводов – гликольальдегид, формула которого CH2OH – CO – H. Как видим, гликольальдегид включает в себя всего два атома углерода. Один из этих атомов углерода несет гидроксильную группу (как в любом спирте), а второй входит в состав альдегидной группы.
Относительно простые углеводы часто называют сахарами. Таким образом, гликольальдегид – это двухуглеродный сахар. Вот тут мы уже в полной мере заходим в область биологии: гликольальдегид – важный участник обмена веществ во всех живых клетках.
Еще более широко известны сахара, основу которых образуют цепочки из пяти или шести атомов углерода. Такие сахара называют, соответственно, пяти- или шестиуглеродными. Познакомимся для начала с тремя их представителями:
• рибоза – пятиуглеродный сахар с четырьмя гидроксильными группами и альдегидной группой;
• глюкоза – шестиуглеродный сахар с пятью гидроксильными группами и альдегидной группой;
• фруктоза – шестиуглеродный сахар с пятью гидроксильными группами и кетогруппой.
Краткую формулу рибозы можно записать так: C5H10O5. А глюкоза и фруктоза – изомеры с общей формулой C6H12O6. Сравнив их графические формулы, легко увидеть, что глюкоза отличается от фруктозы только положением группы – CO– (в глюкозе на конце углеродной цепочки, а во фруктозе внутри нее). Этого достаточно, чтобы дать веществу совсем другие химические свойства. И действительно, фруктоза несколько иначе, чем глюкоза, участвует в нашем обмене веществ. Именно поэтому ее часто используют в качестве заменителя обычного сахара (в состав которого глюкоза как раз входит). Сладкие продукты “на фруктозе” можно сейчас найти в любом супермаркете.
Мир кислот
Следующий интересный класс веществ – карбоновые кислоты (см. рис. 1.7). Это соединения, в состав которых входит группа – CO – OH (она называется карбоксильной). Любая карбоновая кислота по общему виду формулы похожа на альдегид, но отличается от него “лишним” атомом кислорода, который и превращает альдегидную группу (–CO – H) в карбоксильную (–CO – O–H). Общая формула карбоновой кислоты: R – COOH, где R – любая углеводородная цепочка или просто атом водорода.

Простейшая карбоновая кислота – муравьиная (HCOOH). Следующая по сложности – уксусная (CH3COOH), затем – пропионовая (C2H5COOH), масляная (C3H7COOH) и т. д. Бывают и гораздо более экзотично выглядящие карбоновые кислоты: например, щавелевая, молекула которой представляет собой две карбоксильные группы, соединенные встык (HOOC–COOH). Она действительно есть в щавеле, а также в ревене и некоторых других растениях. Или бензойная кислота, имеющая в качестве радикала ароматическое ядро (C6H5COOH). Она тоже содержится во многих растениях, например в бруснике и клюкве, а еще служит широко распространенным консервантом (пищевая добавка E210).
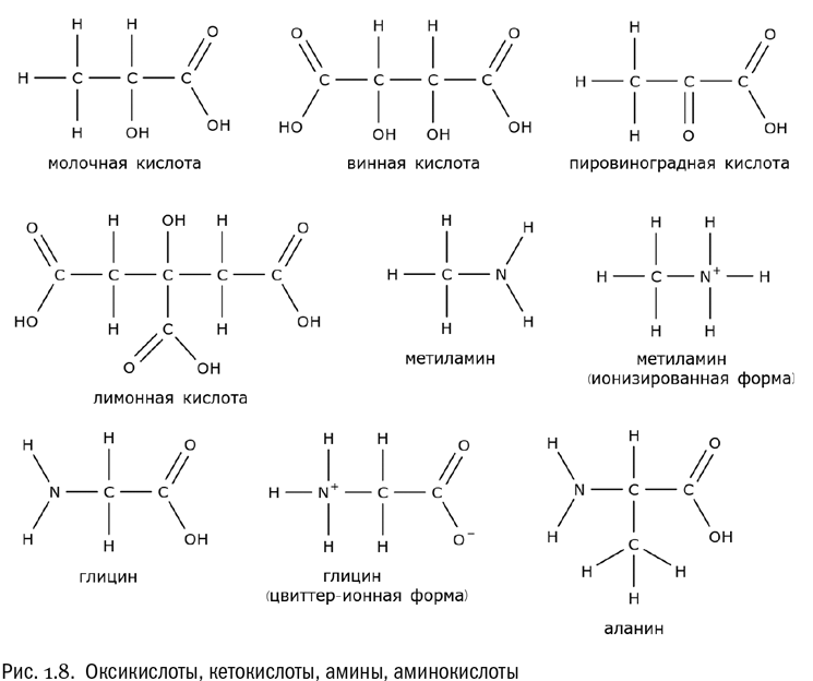
Более того, молекула карбоновой кислоты вполне может включать в себя и другие группы, кроме карбоксильной. Например, в некоторых кислотах помимо карбоксильных групп есть гидроксильные (см. рис. 1.8). Такие соединения, по определению, являются одновременно кислотами и спиртами. Их называют спиртокислотами или (чаще) оксикислотами. Именно к этому классу относится важный промежуточный продукт нашего обмена веществ – молочная кислота, молекула которой включает три атома углерода, одну карбоксильную группу и одну гидроксильную (CH3–CHOH – COOH). Винная кислота, химию которой в свое время изучал великий Луи Пастер, устроена чуть сложнее: четыре атома углерода, две карбоксильные группы и две гидроксильные (HOOC–CHOH – CHOH – COOH). Она действительно есть в вине, а иногда добавляется и в еду, например в кондитерские изделия (пищевая добавка Е334). Заметим, что пугаться таких добавок не стоит: очень часто они, как в данном случае, представляют собой безобидные вещества, с тем же успехом изобилующие в самых что ни на есть натуральных продуктах. Винной кислоты, например, много в винограде и яблоках.

Бывают и такие кислоты, которые одновременно являются альдегидами или кетонами. Тут достаточно одного примера: пировиноградная кислота – простейшая кетокислота с формулой CH3–CO – COOH. Эта молекула тоже играет огромную роль в нашем обмене веществ (см. главу 11).
И еще несколько слов о спиртах. Карбоновая кислота и спирт могут вступить между собой в реакцию, при которой от карбоксильной группы отщепляется – OH, а от спиртовой – H. Эти отщепленные фрагменты тут же образуют воду (формула которой H – O–H или H2O). А остатки кислоты и спирта соединяются в сложный эфир – молекулу с общей формулой R1–CO – O–R2. Надо учитывать, что сложные эфиры и уже знакомые нам простые эфиры – это совершенно разные классы соединений, которые ни в коем случае нельзя путать. По-английски, например, они обозначаются разными корнями, соответственно ester (сложный эфир) и ether (простой эфир). Среди биологически активных веществ есть и те и другие, но сложных эфиров там в целом больше. Без знания того, что это такое, невозможно разобраться, например, в устройстве клеточной мембраны.
Кислоты versus основания
А теперь нам самое время задаться вопросом, что такое кислота. И заодно – что такое основание.
Начнем с кислоты. Как правило, кислотой называют молекулу, которая в водном растворе диссоциирует (это высоконаучный термин, означающий “распадается”) на катион водорода, то есть протон (H+), и некий анион. Например, уксусная кислота (CH3COOH) распадается в водном растворе на протон и ацетат-ион, имеющий формулу CH3COO–. Так же ведут себя и все остальные карбоновые кислоты. И не только карбоновые, но и любые другие. Например, соляная кислота (HСl) потому и называется кислотой, что распадается в воде на протон (H+) и ион хлора (Cl–). Правда, на самом-то деле протон не способен самостоятельно существовать в водном растворе – он всегда мгновенно захватывается водой, образуя так называемый ион гидроксония (H3O+). Концентрацию именно этих ионов реально измеряют при определении кислотности раствора.