Литмир - Электронная Библиотека
A
A

9-й класс

1. Не решая уравнения х2 — 7х — 12 = 0, найдите сумму кубов его корней.

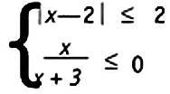
2. Решите систему неравенств

Юный техник, 2002 № 03 - _58.jpg

3. Первый член арифметической прогрессии равен — 8, разность равна 2. Сколько членов прогрессии, начиная с первого, надо взять, чтобы их сумма была больше числа 14?

4. Решите уравнение

Юный техник, 2002 № 03 - _59.jpg

5. На окружности х2 + у2 = 52 найдите точку, наиболее удаленную от точки М(2;3).

10-й класс

1. Найдите все значения а, при которых неравенство ax2 — ax + a > 0 верно при всех

Юный техник, 2002 № 03 - _60.jpg_0

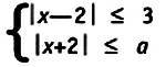
2. Найдите все значения а, при которых система

Юный техник, 2002 № 03 - _61.jpg

имеет единственное решение.

3. Найдите все корни уравнения sin 6х = 2sin 6x, принадлежащие отрезку [0;π/2]

4. Если второй из трех последовательных членов возрастающей геометрической прогрессии умножить на 5/3, то получатся три последовательных члена арифметической прогрессии. Найдите знаменатель геометрической прогрессии, при условии, что все ее члены отрицательны.

5. Площадь равностороннего треугольника ABC равна (3)1/2.

На сторонах АВ, ВС и CA взяты точки К, L и М соответственно так, что (AK/KB) = (BL/LC) = (CM/MA) = 1/3. Найдите площадь треугольника, образованного прямыми AL, СК и ВМ.

11-й класс

1. Найдите область значений функции у = |х| — |х—1 |.

2. Решите уравнение

Юный техник, 2002 № 03 - _63.jpg

3. На отрезке [π; 1,5π] найдите все корни уравнения

Юный техник, 2002 № 03 - _64.jpg

4. В пирамиде SABC: АВ = 4, ВС = 6, LABC = arccos 1/3, BS = 2(2)1/2, ребро BS перпендикулярно основанию ABC. Точка Е делит ребро АС в отношении 1:3. Через точки E и S проведена плоскость параллельно ребру ВС. Найдите площадь сечения пирамиды этой плоскостью.

5. Найдите все значения а, при которых уравнение

2|х+1 |+a(х+1)3 = 2х2 + Зх + 1 имеет ровно три корня.

ЧИТАТЕЛЬСКИЙ КЛУБ

Юный техник, 2002 № 03 - chitklubJUT.jpg

Вопрос — ответ

«Думаем, не купить ли в дом электропечь. Но хотелось бы знать ее достоинства».

Тамара Суханова, 15 лет,

г. Электросталь

Вместимость электропечей — от 7 до 26 литров. Стоят они намного меньше микроволновых. В такой печи можно не только выпекать пироги, тушить мясо, но и размораживать продукты. Самые компактные варианты электропечей — печи-тостеры и мини-грили.

Все электропечи оборудованы решеткой для приготовления блюд. Особенно удобно, когда она автоматически выдвигается при открывании дверцы. Более совершенные и дорогие модели имеют еще и горизонтальный вертел, вращающийся от встроенного электромотора. В некоторых модификациях он расположен по диагонали камеры, что позволяет более полно использовать ее внутренний объем.

Все электропечки оснащены противнем, в том числе и с антипригарным покрытием. В некоторых моделях есть специальный бак для приготовления блюд на пару: продукты лучше сохраняют вкусовые качества и сочность. Нагревательные элементы в этих приборах устанавливаются в верхней и нижней частях камеры. В современных моделях предусмотрена система конвекции, состоящая из нагревателя и вентилятора. Такая система создает более равномерную температуру в камере. Очень удобны в использовании модели электропечей, где нагреватели установлены как под поверхностью дна, так и под потолком камеры. Печи-грили снабжены регуляторами температуры, таймерами (до 90 минут) и переключателем режимов. Печи-ростеры оснащены только одной ручкой управления таймером на 15–20 минут.

Ухаживать за мини-печами несложно. Но процедура еще более упростится, если печь имеет систему каталитической самоочистки. Боковые поверхности духовок некоторых моделей покрыты составом, расщепляющим жиры при высокой температуре. Электропечи со скрытыми в дне и своде камеры нагревателями, на которых происходит выгорание капель жира и соуса, и с самоочищающимися каталитическими стенками практически не нуждаются в чистке.

Юный техник, 2002 № 03 - _65.jpg

«Я слышала, что из бумаги можно не только мастерить модели, но и плести любопытные поделки. Папа сказал, что в одном из старых журналов вы писали об этом. Не подскажете ли вы номер?»

Таня Полежаева, 11 дет,

г. Бугульма

О «плетении из бумаги» мы рассказывали в приложении к журналу «ЮТ» для умелых рук» № 11 за 1990 год. Сейчас этот журнал называется «Левша». Конечно, найти его в библиотеке будет трудно. Попытай счастья у бывалых самодельщиков, когда-то выписывавших подобные издания. Может быть, они помогут.

ДАВНЫМ-ДАВНО

Мечта о неутомимом механическом коне сопровождает человечество со времен средневекового рыцарства. Но долгое время ничего, кроме игрушечной лошадки с пружиной, создать не удавалось. С появлением паровой машины появилась надежда.

В 1813 году англичанин Брунтон, полагая, что сцепление колес с рельсами будет слишком слабым, предложил паровоз с… ногами жирафа.

В конце XIX века на страницах одного из американских фантастических романов появилась почтовая карета, запряженная паровым механическим конем. Но технике в то время он был не по зубам.

В 1917 году работавший в России французский изобретатель Кегресс построил автомобиль на четырех шагающих опорах. По самым скверным дорогам он двигался со скоростью 20 км/ч и мог тащить за собой даже пушку. Чем не конь? Конструкция была очень удачной, но страну занимали другие проблемы…

На снимке из старинного журнала механический конь итальянского изобретателя, созданный в 20-е годы. Оснащенный мотоциклетным мотором, он мог передвигаться галопом. Но устойчивость, особенно при движении по пересеченной местности (главная проблема для таких машин), не была полностью решена. Разрешить ее взялись электроники. В Японии, говорят, идет работа над механическим конем спортивного назначения. Поживем — увидим. А пока практически нашел применение лишь шагающий экскаватор. При весе в сотни тонн он может прошагать за час более километра. Это совсем немало для великана! В нашей стране их выпускают уже более пятидесяти лет.

Юный техник, 2002 № 03 - _67.jpg

ПРИЗ НОМЕРА!

Юный техник, 2002 № 03 - _68.jpg

Наши традиционные три вопроса:

1. Почему в недрах Земли теплее, чем на поверхности?

2. ЭВМ, как известно, обыграла в шахматы Гарри Каспарова. Но в чем принципиальная разница в технологии игры компьютера и человека?

3. Какая часть первоначальной кинетической энергии останется в маховике при уменьшении скорости его вращения в два раза?

15
{"b":"586292","o":1}