80. Toole B. P., Kang A. H., Trelstad R. L., Gross J. Biochem. J., 127, 715–720 (1972).
81. Torres A. R. Gerontology, 24, 337–342 (1978).
82. Traub W. FEBS Lett., 92, 114–120 (1978).
83. Traub W., Piez K. A. Adv. Prot. Chem., 25, 243–352 (1971).
84. Tryggvason K., Majamaa K., Kivirikko K. I. Biochem J., 178 127–131 (1979).
85. Tuderman L., Kivirikko K. I., Prockop D. J. Biochemistry, 17, 2948–2954 (1978).
86. Tuderman L., Myllyla R., Kivirikko K. I. Europ. J. Biochem., 80, 341–348 (1977).
87. Verzar F. Experientia, 11, 230 (1955).
88. Verzar F. Acta Anat., 33, 215–229 (1958).
89. Verzar F. Sci. Amer., 208, 104–114 (1963).
90. Verzar F. Int. Rev. Connect. Tissue Res., 2, 243 (1964).
91. Verzar F., Spichtin H. Gerontologia, 12, 48–56 (1966).
92. Verzar F., Thoenen H. Gerontologia, 4, 112–119 (1960).
93. Vihersaari T., Heikkinen E. Scand. J. Clin. Lab. Invest., 27, Suppl. 116, (1969).
94. Williams B. R., Gelman R. A., Poppke D. C, Prez K. A. J. biol. Chem., 253, 5678–5685 (1978).
Глава 5. Изменения в гормональной системе
Введение
Гормоны — это вещества, которые синтезируются в эндокринных органах и секретируются в кровь. Их действие проявляется в тканях-мишенях, в которых они модулируют различные метаболические и другие процессы. Гормоны можно разделить на три группы: а) стероиды гонад и коры надпочечника (рис. 5.1); б) производные аминокислот из щитовидной железы и мозгового вещества надпочечника (рис. 5.2); в) пептиды гипоталамуса, гипофиза, щитовидной железы, паращитовидной железы и островков Лангерганса поджелудочной железы (рис. 5.3). Спектр действия гормонов весьма широк. Они влияют на репликацию ДНК, транскрипцию и трансляцию, деление и рост клеток, уровень ферментов и гомеостатическую регуляцию метаболитов. Кроме того, они воздействуют на свойства и развитие половых качеств. На рис. 5.4 показана взаимосвязь между эндокринными органами и тканями-мишенями. Гормоны гипофиза контролируют синтез гормонов и их секрецию из некоторых других эндокринных органов. Секреция гормонов из гипофиза в свою очередь контролируется пептидами гипоталамуса. Для регуляции уровня гормонов в крови существуют механизмы обратной связи между гипоталамусом, гипофизом и другими эндокринными органами.

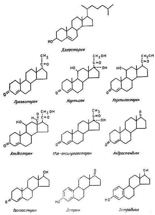
Рис. 5.1. Структура некоторых стероидных гормонов — производных холестерина
Рис. 5.2. Структура гормонов — производных аминокислот
Рис. 5.3. Структура некоторых пептидных гормонов
Рис. 5.4. Взаимосвязь между эндокринными органами и тканями-мишенями [60]
Гормоны оказывают свое действие на органы-мишени двумя путями. Действие стероидных гормонов проявляется на уровне генов (рис. 5.5). Эти гормоны растворяются в липидах и поэтому проникают через клеточные мембраны клеток-мишеней. Затем они связываются с молекулами специфических белков-рецепторов, находящихся в цитозоле клетки, в результате чего образуется комплекс гормон — рецептор (Г-Р). Этот комплекс переходит в ядро и связывается со специфическими акцепторными центрами хроматина. Это приводит к стимуляции транскрипции определенных типов мРНК и последующему усилению синтеза специфических белков.
Рис. 5.5. Механизм действия стероидных гормонов
Пептидные гормоны и производные аминокислот обычно не способны проникать сквозь мембраны, и соответствующие им рецепторы расположены на клеточных мембранах клеток-мишеней. Связывание гормонов с мембранными рецепторами вызывает стимуляцию связанной с мембраной аденилатциклазы. Это в свою очередь приводит к увеличению в цитоплазме количества сАМР, активирующего некоторые ферменты, в результате чего усиливается или ослабляется какая-либо функция организма (рис. 5.6). Как показано, пептидные гормоны стимулируют транскрипцию, что, по-видимому, является их опосредованным действием [19].
Рис. 5.6. Механизм действия адреналина (пептидных гормонов). R — регуляторные субъединицы протеинкиназы; C — каталитические субъединицы протеинкиназы (PK)
Гормоны оказывают влияние на разных уровнях. Поскольку некоторые гормоны синтезируются только в определенные периоды жизненного цикла, их действие проявляется в основном в эти периоды. Изменения в их синтезе и содержании после достижения половой зрелости могут приводить к нарушениям функций организма. Действие гормонов может быть ослаблено из-за изменений на любой из следующих стадий:
1. Синтез гормонов: он зависит от одного или нескольких ферментов, и изменения в их синтезе и содержании, возможно, влияют на синтез гормонов.
2. Процессинг гормонов: многие гормоны, особенно пептиды, синтезируются в виде неактивных предшественников, а затем превращаются в активные гормоны. Для этого необходимы ферменты, а их содержание, возможно, меняется с возрастом.
3. Транспорт гормонов к тканям-мишеням: многие гормоны переносятся потоком крови будучи связанными с крупными молекулами белков, и изменение количества этих белков может нарушить доставку гормонов в ткани-мишени.
4. Содержание и сродство рецепторов в мембране или в цитозоле (в зависимости от типа гормона) могут меняться и изменять действие гормона. Рецепторы гормонов — это белки, и их синтез, как синтез всякого белка, по-видимому, меняется с возрастом.
5. Комплекс Г-Р в случае стероидных гормонов может не проникать в ядро из-за изменений в проницаемости ядерной мембраны.
6. Комплекс Г-Р после проникновения в ядро может не связываться в достаточной степени с хроматином из-за изменений его конформации или акцепторных центров.
7. Популяция клеток в ткани мишени может измениться, и в результате этого может измениться ответ на действие гормонов. Если ткань содержит гетерогенную популяцию клеток, как, например, мозг и печень, с возрастом может изменяться соотношение равных клеток. Может происходить гибель клеток, как это наблюдается для нейронов и мышечных клеток. В тех тканях, в которых клетки делятся на протяжении всей жизни (например, в печени, костном мозгу и эпителиальной ткани), с возрастом может изменяться скорость деления, а также соотношение клеток, находящихся в разных фазах клеточного цикла.
8. С возрастом может меняться проницаемость клеточных и (или) ядерных мембран, что приводит к изменению способности гормона проникать в клетку.
Опубликован ряд обзоров, посвященных некоторым проблемам, связанным с изменением действия гормонов с возрастом [1, 2, 6, 23, 26, 51–53]. Внимание исследователей, занимающихся этими проблемами, привлекают следующие направления: а) измерение содержания гормонов в крови; б) измерение количества рецепторов различных гормонов в тканях-мишенях; в) ответ тканей-мишеней на действие специфических гормонов. Каждый из этих параметров зависит от одного или многих факторов. Например, изменение содержания гормона, циркулирующего в крови, может быть вызвано изменением либо его обмена, процессинга или секреции, либо содержания сывороточного белка, с которым связан гормон. Аналогичным образом изменение уровня белка-рецептора может определяться транскрипцией специфического гена, трансляцией соответствующей мРНК и факторами, которые стимулируют или ингибируют эти: процессы. Кроме того, присутствие эффекторов, вероятно, связывающихся с белком, может в свою очередь повлиять на его связывание с гормоном. В разные периоды жизни ответ ткани или клетки на действие эндогенного или введение экзогенного гормона может быть различным. Причиной могут служить различные факторы, например изменения в транспорте и доставке гормона в ткани-мишени, изменения в содержании белка-рецептора, изменения в хроматине или изменения в процессах транскрипции и трансляции. Основная функция гормона — вызвать ответ ткани в нужный момент времени, но, как следует из предыдущего рассмотрения, она зависит от нескольких взаимодействующих между собой факторов.