Литмир - Электронная Библиотека
A
A

Модификация оксилизиновых остатков и образование поперечных сшивок

Гидронсилиорование пролиновых и лизиновых остатков происходит в клетке. Оксилизиновые остатки в α-цепях подвергаются дальнейшей химической модификации в межклеточном матриксе. Эти процессы играют важную роль в образовании ковалентных поперечных сшивок полипептидных цепей и формировании коллагеновых фибрилл. Известно, что при нарушениях в ходе модификаций меняется структура, а следовательно, и функции коллагена. О возрастных изменениях в реакциях модификации оксилизиновых остатков известно мало, имеется лишь некоторая информация о нарушениях при ряде заболеваний. При синдроме Элерса — Данлоса, для которого характерны потеря эластичности кожи и связочного аппарата с повторными вывихами суставов, обнаружено заметное уменьшение числа оксилизиновых остатков [59]. Коллаген кожи становится аномально растворимым в денатурирующих агентах, а количество лизилгидроксилазы значительно уменьшается то сравнению с нормой. Возможно, это связано с неправильным образованием поперечных сшивок, когда многие из оксилизиновых остатков становятся недоступными.

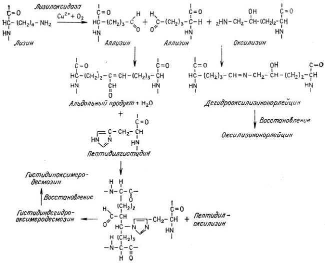
В коллагене обнаружены три основных типа поперечных сшивок [74, 76, 77, 79]. Они образуются после ферментативной модификации лизиновых остатков в альдегидную форму, аллизин, вне клетки с помощью фермента лизилоксидазы. Аллизин играет важную роль в возникновении сшивок. Поперечные сшивки можно идентифицировать путем их восстановления боргидридом натрия (NaBH4). Если использовать меченый тритием NaB3H4, тритий включается в поперечные сшивки, которые затем и определяют. Подобные исследования показали, что сшивки представляют собой альдимин (шиффово основание). Структура некоторых из них приведена ниже.

Биохимия старения - _14.jpg_1
Биохимия старения - _15.jpg_0

Схема 4.1

Лизилоксидаза — внеклеточный фермент, содержащийся в костях и других тканях, катализирует удаление NH2-групп лизиновых и оксилизиновых остатков в неспиральных NH2- и COOH-концевых участках и одновременно окисляет ε-углерод в CHO. При этом образуются δ-полуальдегид α-аминоадипиновой кислоты (аллизин) и δ-толуальдегид δ-окси-α-аминоадипи-новой кислоты соответственно. Поперечные сшивки образуют только δ-полуальдегид α-аминоадипиновой кислоты и δ-полуальдегид δ-окси-α-аминоадипиновой кислоты [77]. Фермент специфически дезаминирует лизиновые остатки полипептидной цепи, но не активен по отношению к свободному лизину. Он ингибируется β-аминопропионитрилом. В культуре клеток фибробластов in vitro поперечные сшивки в мономерах коллагена не возникают, если в среду добавлен β-аминопропионитрил или в ней недостаточно меди. Описанный дефект аналогичен наблюдаемому при латиризме.

Альдегидные группы легко вводятся в Lys9 α1-цепи и в Lys6 α2-цепи l[83]. Lys1044 в COOH-концевом участке (девятый от COOH-конца) также превращается в аллизин [65]. В COOH-концевом участке есть и оксилизиновые остатки, которые тоже вносят вклад в образование поперечных сшивок. Некоторые из наиболее типичных поперечных сшивок изображены на схеме 4.2.

Биохимия старения - _16.jpg_0
Биохимия старения - _17.jpg_0

Схема 4.2

Поперечные сшивки коллагена различны в разных тканях и в α-цепях разных типов [3]. Например, в связках, в которых проколлаген образуется только из α1(II) — цепей, поперечные сшивки представляют собой в основном дегидродиоксилизинонорлейцин (ДДОЛНЛ). Такие же сшивки есть в коллагене матки, состоящем из α1- и α2-цепей. Из цепей этих двух типов более предпочтительно сшиваются α2-цепи. Поэтому при фракционировании коллагена из таких тканей получают в основном димеры α2 и мономеры α1. Кроме того, оказалось, что природа поперечных сшивок зависит от степени гидроксилирования лизиновых остатков в NH2-концевом тело пептиде. В тканях типа костей и связок, в которых содержится наименее растворимый коллаген, образуется ДДОЛНЛ. В коллагене сухожилий, кожи и других тканей кроме ДДОЛНЛ имеются другие, более лабильные сшивки типа дегидроксинорлейцина (ДОНЛ), В образование межмолекулярных связей включается и фракция С, но в коллагене костей, связок и матки она практически отсутствует. Обнаружено, что в матке, коже и других мягких тканях она имеет в основном специальные функции.

Предложена модель превращения проколлагена в коллаген [14]. Цистеиновые остатки на COOH-конце про-α-цепи образуют S — S-связи, что способствует выстраиванию цепей в тройную спираль проколлагена в клетке. После секреции во внеклеточное пространство NH2-концевая протеаза удаляет NH2-концевые пропептиды. Затем с помощью COOH-концевой протеазы удаляются COOH-концевые пропептиды, при этом исчезают и участки, связанные S — S-связями, и образуется молекула коллагена. В коллагене нет COOH-концевых участков, связанных S — S-связями.

Изменения коллагена, связанные с возрастом

Отдельные цепи коллагена диссоциируют в щелочной или в кислой среде и в растворах мочевины, тиоцианата и гуанидин-гидрохлорида. При нагревании до 40 °C водородные связи между цепями рвутся. Количество коллагена, которое экстрагируется таким способом, велико у развивающихся животных, но быстро уменьшается с возрастом. Когда коллаген экстрагировали нейтральной солью из кожи крыс возрастом от. 1, 5 до 24 мес, было обнаружено, что у более старых животных экстрагируется меньше коллагена [36]. При этом количество экстрагирующихся одиночных α-цепей быстро уменьшалось, а тримеров α-цепей (γ-коллаген) — увеличивалось (рис. 4.3 и 4.4; табл. 4.3). Для димеров α-цепей (β-коллаген) изменений не наблюдалось.

Таблица 4.3. Соотношение различных типов коллагена из кожи крыс как функция возраста

Биохимия старения - _18.jpg_0

Изучены изменения поперечных сшивок коллагена из бычьей кожи по мере развития животных [67]. В коже зародышей много сшивок типа ДДОЛНЛ, которые делают ее плохо растворимой. К рождению доля этих сшивок уменьшается примерно на одну треть. В возрасте 6 мес их практически нет, их заменяют диоксилизинонорлейцин (ДОЛНЛ) и фракция С. До 18 мес количество этих сшивок постепенно увеличивается и составляет около 95 % всех сшивок. В коже человека максимальное количество ДОЛНЛ и фракции С наблюдается в возрасте 17–20 лет.

В период развития коллаген постоянно обновляется. По-видимому, изменение характера поперечных сшивок и их соотношения в течение этого периода обусловлено появлением α-цепей различных типов. Обмен коллагена постепенно замедляется, так как развитие сопровождается уменьшением скорости синтеза и разрушением коллагена. Показано, что потребление в коже крыс аскорбиновой кислоты, которая является кофактором и пролил- и лизилгидроксилазы, велико при рождении и быстро уменьшается по мере развития животных. В возрасте 6 мес потребление аскорбиновой кислоты составляет одну сотую от ее потребления при рождении. Вместе с тем аскорбиновая кислота в течение всей жизни поглощается костями и связками, правда после 12 нед ее поглощение падает. Очевидно, синтез коллагена в коже крыс в возрасте 6–8 нед практически прекращается, тогда как в костях и связках он продолжается всю жизнь. Следовательно, аскорбиновая кислота требуется млекопитающим в течение всей жизни для поддержания нормального состояния костей и связок. Описанные результаты позволяют предположить, что появление в старческом возрасте морщин на коже может быть связано не только с прекращением обмена коллагена в ткани, но также с увеличением числа поперечных сшивок между мономерами коллагена, отложившегося в коже на ранних стадиях развития. Сообщают, что число сшивок в коллагене сухожилия хвоста крысы увеличивается в возрастном интервале 3-100 нед от 1 на 500000 до 1 на 50000, т. е. в 10 раз [93]. Это может изменить не только физические свойства коллагена, но и его способность экстрагироваться солевым раствором [32].

36
{"b":"583023","o":1}