Литмир - Электронная Библиотека

Современными методами рентгено-структурного анализа с использованием электронных вычислительных машин установлена общая форма молекулы белка. Она такова: цепочка аминокислот закручивается в спираль, витки которой очень близко примыкают друг к другу. В отдельных местах атомы спирали притягиваются между собой. Устойчивое спиральное строение называется вторичной структурой белка. Спираль белковой молекулы сворачивается в своего рода клубок и образует третичную структуру, которая всегда постоянна (специфична) для каждого данного белка.

В некоторых случаях молекулы белков присоединяют и другие молекулы и образуют еще более сложную, четвертичную, структуру.

Три тайны жизни - i_011.jpg

Строение молекулы простого белка миоглобина (третичная структура).

Если заменить хотя бы в одном месте белковой цепочки одну аминокислоту на другую, может произойти изменение свойств белка. Так, в ряде районов Африки и Средиземноморья, а также в странах Юго-Восточной Азии существует тяжелое наследственное заболевание крови — серповидноклеточная анемия. При ней красные кровяные шарики имеют форму серпов. В гемоглобине таких больных электрически заряженная глутаминовая кислота заменена на электрически нейтральную аминокислоту валин. В результате гемоглобин сильно изменяет свои свойства. Эритроциты крови с таким гемоглобином приобретают серповидную форму. Утратив электрический заряд, молекулы гемоглобина перестают отталкивать друг друга и «слипаются» в кристаллоподобные структуры. Эритроциты серповидной формы гораздо хуже переносят кислород, вследствие чего наступает кислородное голодание. Дети с этим врожденным недугом обычно не доживают и до двух лет.

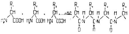
Три тайны жизни - i_012.jpg

Образование цепи в белковой молекуле из отдельных аминокислот.

Создание искусственных белков является важнейшей проблемой современной науки. На пути искусственного синтеза белка перед учеными встали огромные препятствия. Чтобы соединить между собой две аминокислоты, надо преодолеть массу трудностей. Каждая аминокислота, как уже было сказано, имеет два химических лица: карбоксильную кислую группу на одном конце и аминную основную группу на другом. Если от карбоксильной группы одной аминокислоты отнять группу ОН, а от аминной группы другой — атом водорода, то образуется при этом простейший из пептидов — дипептид и отщепляется молекула воды. Повторяя эту операцию, можно наращивать количество аминокислот и длину белковой цепочки. Однако эта на первый взгляд несложная операция практически бывает очень трудно осуществимой: аминокислоты весьма неохотно соединяются друг с другом. Приходится их активировать химически и подогревать.

Вторая сложность заключается в том, что соединяться друг с другом могут не только остатки различных аминокислот, но и две молекулы одной кислоты. При этом строение синтезируемого пептида будет уже отличаться от желаемого. Более того, каждая аминокислота может иметь не две, а несколько боковых химически активных групп (радикалов), способных присоединять аминокислотные остатки.

Чтобы не дать реакции свернуть с заданного пути, необходимо закрыть на время осуществления реакции все реактивноспособные группировки аминокислот, кроме одной, присоединив к ней так называемые защитные группировки. Если этого не сделать, то цепь будет расти не только с обоих концов, но и в бок и аминокислоты уже не удастся соединить в заданной последовательности. А это значит, что не получится белковая молекула с определенными свойствами. Ученые нашли выход из положения: стали применять вещества, защищающие боковые реактивноспособные группировки от нежелательных реакций. Но существующие методы еще далеко не совершенны. Чтобы получить инсулин, необходимый больным диабетом, состоящий из пятидесяти одной аминокислоты, химикам потребовалось около трех лет напряженной работы, при этом было произведено двести двадцать три реакции, а желаемого вещества они получили лишь сотую долю процента. Но упорный труд ученых увенчался уже некоторым успехом. Большие достижения на пути синтеза белка получены советскими учеными.

Искусственное получение белка имеет первостепенное значение в проблеме создания синтетической белковой пищи для человечества и сельскохозяйственных животных. Это даст возможность получения всех необходимых при составлении пищевых рационов аминокислот, более дешевых, чем естественные белки.

Нужный белок можно получить с помощью живых организмов. Это один из более доступных способов синтеза необходимых белков. Неоценимую услугу в разрешении этой проблемы оказали одноклеточные организмы. В настоящее время уже начато промышленное получение белков микробиологическим путем. Все микроорганизмы имеют белковую плазму, и многие из них можно употреблять в пищу. Широко известны кормовые дрожжи, выращиваемые на сахаристых отходах сельского хозяйства. Имеются также многие виды микроорганизмов, развивающихся на углеводородах. Существуют микробы — пожиратели метана, парафинов и т. д. Французский ученый Шампанья предложил выращивать кормовые дрожжи на фракциях нефти и применять полученные таким образом белки в пищевом рационе, в частности в кондитерском производстве.

Нуклеиновые кислоты

В протоплазме клеток, кроме белков, углеводов и жиров, содержится еще одно очень сложное органическое вещество. Его впервые выделил ученый Мишер еще в 1870 году из ядер клеток и поэтому назвал нуклеиновой кислотой (нуклес — ядро). Несколько позже нуклеиновую кислоту обнаружили и в цитоплазме клеток. Многие десятилетия на эти кислоты ученые не обращали серьезного внимания. Только в пятидесятые годы нашего века нуклеиновые кислоты стали изучать комплексными современными методами.

Нуклеиновые кислоты, как и белки, очень сложно устроены. Их молекулярный вес бывает значительно больше, чем у самых сложных белков. Недавно была обнаружена нуклеиновая кислота, молекулярный вес которой составлял более миллиарда, а длина такой молекулы достигает 50–60 миллимикрон. Обычно длина молекулы нуклеиновых кислот составляет около 5 миллимикрон, тогда как самые крупные белковые молекулы имеют молекулярный вес от нескольких сот тысяч до десяти миллионов, а длина их составляет десятые доли миллимикрона (0,1–0,2).

В настоящее время выделено и изучено два вида нуклеиновых кислот: рибонуклеиновая (сокращенно РНК) и дезоксирибонуклеиновая (ДНК)[9].

Три тайны жизни - i_013.jpg

Две полинуклеотидные цепи с парами оснований, связанных водородными мостиками в молекуле ДНК.

Кислоты эти состоят из отдельных звеньев, или мономеров. У белков такими звеньями являются аминокислоты, а у нуклеиновых кислот — нуклеотиды. В состав каждого нуклеотида входят азотистые основания — пиримидиновые и пуриновые, остатки фосфорной кислоты (фосфат) и сахара. В состав азотистых оснований входят четыре вещества: аденин, цитозин, гуанин, тимин. Но обе нуклеиновые кислоты различаются между собой по сложности строения, молекулярному весу и химическому составу. Рибонуклеиновая кислота имеет две химические особенности: во-первых, вместо азотистого основания тимина в нуклеотиды РНК входит урацил, а углевод пентоза (дезоксирибоза С5Н10О4) заменен в РНК на рибозу (С5Н10О5), которая содержит на один атом кислорода больше. Молекулярный вес ДНК, как правило, больше, чем у РНК.

Подобно аминокислотам в белковой молекуле нуклеотиды способны образовывать длинные цепи, соединяясь друг с другом в любой последовательности. Особенно длинные цепочки образуют нуклеотиды ДНК.

Наиболее крупные молекулы ДНК можно видеть в электронный микроскоп. Но чтобы изучить их внутреннюю структуру, потребовалась огромная изобретательность. Только с помощью специальных физических методов рентгено-структурного анализа в сочетании с теоретическими исследованиями удалось определить внутреннюю структуру молекулы ДНК.

вернуться

9

Латинская приставка «де», или «дес», означает «лишать».

8
{"b":"572895","o":1}