Литмир - Электронная Библиотека

Слова Эйнштейна в 1907 году

Тот факт, что Эйнштейн, в качестве доказательства своих теорий, не один раз подчеркивал, что они основаны на подходе Ньютона, лишний раз говорит о том авторитете, которым пользовалась теория гравитации Ньютона в XX веке. Во введении к одной из своих работ 1916 года, которая подробно рассказывала об общей теории относительности, Эйнштейн писал:

«Посредством этих уравнений, которые от условий общей теории относительности следуют методом чистой математики, получаем в первом приближении теорию тяготения Ньютона и во втором – объяснение движения перигелия планеты Меркурий, открытого Леверье. Эти факты должны, по моему мнению, считаться убедительными доказательствами теории».

Переход от теории тяготения Ньютона к теории относительности Эйнштейна не был таким же революционным, как переход от птолемеевой астрономии к астрономии Коперника. Как говорил Эйнштейн, гравитация Ньютона – это хорошее приближение к пониманию Вселенной, которая нас окружает. В действительности же речь идет об отличном приближении, если ограничиться Солнечной системой, на знаниях о которой построил Ньютон свою теорию. Это приближение настолько эффективно, что и по сей день мы используем его для описания траекторий искусственных спутников и космических кораблей или в расчетах сопротивления при строительстве подвесных мостов.

Когда Эйнштейн представил свою общую теорию относительности в 1915 году, она была не более чем объяснением космоса, полученным с помощью математических расчетов, начиная с физического принципа эквивалентности: силы гравитационного взаимодействия пропорциональны массе тела. В этот момент общая теория относительности имела не слишком прочную опору: да, в ее основе лежала теория тяготения Ньютона, и да, новая теория объясняла отклонение перигелия Меркурия, но это было достаточно скудной поддержкой для идеи, которой суждено было произвести революцию в научном мире. Кроме этого, можно было опираться на состоятельность Эйнштейна как ученого, однако этот аргумент не является научным.

Подтверждение общей теории относительности произошло благодаря тому, что ее прогнозы подтверждались экспериментально. Один из таких прогнозов устанавливает, что свет искривляется под воздействием гравитационного поля, или, иначе говоря, наличие материи искривляет пространство, и в этом искривленном пространстве углы в треугольниках, например, в сумме уже не составляют 180 градусов. Физические принципы и математический подход к этим принципам позволили Эйнштейну рассчитать искривление, вызванное воздействием массы Солнца на лучи света, посылаемые дальними звездами. В конце весны 1919 года англичане отправили в Гвинейский залив экспедицию во главе с Артуром С. Эддингтоном для наблюдения за полным солнечным затмением. После нескольких месяцев расчетов и проверок 6 ноября 1919 года Эддингтон пришел к заключению, что оценки Эйнштейна совпадают с наблюдениями. Газета Times вышла на следующий день со звучным заголовком: «Революция в науке: новая теория Вселенной низвергает идеи Ньютона». Это превратило Эйнштейна, до того дня известного лишь в научных кругах, в популярную фигуру, равную по масштабу английскому ученому, которого он «низверг».

Новость, однако, имела неоспоримый политический налет: прошел год после окончания Первой мировой войны, и лондонская Times «низвергла» Ньютона, самого восхваляемого из всех английских ученых, в пользу немца Эйнштейна. Конечно, Эйнштейн родился в Германии, был членом Прусской академии наук, однако сами немцы своим его не считали. В 1901 году он получил швейцарское гражданство и решительно стоял на позициях пацифизма во время войны. В 1918 году он писал: «По рождению я еврей, по гражданству – швейцарец, а по образу мыслей я человек, и только человек, без привязанности к какому-либо государству или национальному сообществу». Многое было сказано о том, был ли Эддингтон полностью объективен в своих выводах; неспроста же он заявил: «Это лучшее, что могло случиться для научных отношений между Англией и Германией». Но все эти подробности лишь подчеркивают политическую остроту новости.

Нечасто случается, что наука входит в сферу политики, и тот факт, что причиной этому стали работы и личность Ньютона – ученого, которого не было в живых уже почти 200 лет, – лишний раз говорит о его авторитете.

ГЛАВА 3 Математик и маг

Достижения Ньютона в математике известны меньше его работ по физике, однако они также достойны уважения. Самое значительное из них – анализ бесконечно малых, идея, появившаяся во время его первых лет в Кембридже. А помимо математики и физики, ученого крайне увлекали алхимия и толкование Библии.

Ньютон приехал в Кембридж в начале лета 1661 года, и там началось его научное образование. В то время программа обучения в университете веками не менялась и опиралась на аристотелеву модель. Так что Кембридж нельзя было назвать площадкой научного новаторства, однако там были очень хорошие библиотеки.

Таким образом, своим образованием Ньютон обязан не столько лекциям, сколько научным книгам и трактатам. Он довольно рано серьезно проштудировал «Геометрию» Декарта, впервые опубликованную в 1637 году как приложение к «Рассуждению о методе». Юноша начал с изучения первых десяти страниц. Он останавливался каждый раз, когда у него скапливалось определенное количество вопросов, и снова возвращался к началу. Этот цикл повторялся, пока Ньютон не приходил к полному пониманию изложенного, затем он двигался дальше, а когда после нескольких новых страниц у него вновь накапливалось непонимание, опять возвращался в начало. В конце концов, попытка за попыткой, Ньютон изучил это сложнейшее произведение французского философа.

Позже, во время создания анализа бесконечно малых, эти знания сослужили Ньютону отличную службу.

После трех лет, проведенных в Кембридже, Исаак вернулся в Вулсторп: университет был вынужден закрыться в связи с эпидемией чумы. Ньютон пробыл дома почти 20 месяцев в 1665 и 1666 годах. Это время стало исключительно плодотворным и даже получило определение anni mirabiles (год чудес) Ньютона: анализ бесконечно малых, механика, гравитация, теория цвета, разработка бинома, который теперь носит его имя, – и это далеко не все идеи, обдуманные в этот удивительный период.

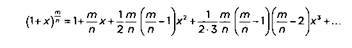
БИНОМ НЬЮТОНА

В своем самом распространенном значении термин «бином» означает любое выражение, состоящее из двух слагаемых. Ньютон создал простую формулу в виде ряда, позволяющую рассчитать результат возведения любого бинома в степень. Согласно ей:

Ньютон. Закон всемирного тяготения. Самая притягательная сила природы - _28.jpg

Например, возьмем m = 1 и n = 2. Формула позволяет извлечь квадратный корень из числа, основанный на бесконечном ряде:

Ньютон. Закон всемирного тяготения. Самая притягательная сила природы - _29.jpg

С помощью приведенной выше формулы Ньютон смог разложить на слагаемые большую часть элементарных функций: обратных тригонометрических (арксинус, арккосинус и арктангенс) и тригонометрических (синус, косинус и тангенс); аналогичным образом он рассчитал логарифмические и экспоненциальные функции. Формула для расчета бинома, открытая, по словам самого Ньютона, в 1665 году, стала ключевым моментом в создании и последующем развитии анализа бесконечно малых.

АНАЛИЗ БЕСКОНЕЧНО МАЛЫХ

Из всех математических открытий Ньютона самым значительным и повлекшим огромное количество научных достижений стал, без сомнения, анализ бесконечно малых, хотя очень важны и другие его математические работы, например сделанные в сфере аналитической геометрии или вычислительной математики.

15
{"b":"565257","o":1}