2. Для использования методологии «шесть сигма» целевое значение контролируемого параметра и допустимые отклонения также должны быть заданы заранее, что не всегда возможно в проектах организационных изменений.
3. Решения о повышении эффективности процессов принимается только на основе поддающейся проверке информации, без допущений, предположений и факторов неопределенности. Подход неявно предполагает, что мы исключаем из рассмотрения все сложные факторы, которые не можем выразить в количественных показателях.
4. Методология «шесть сигма» сосредоточена на жестком исполнении процесса, его соответствию установленным нормам. Но это противоречит инновациям, которые, по существу, являются отклонением от нормы. Инновационный подход означает отклонения в производственном процессе, избыточность, необычные решения, недостаточную проработку – то есть все то, с чем борется «шесть сигма».
5. Методологию «шесть сигма» нельзя использовать для прогнозирования будущего эффекта от внедрения ИТ-системы.
Энтропийный метод оценки эффективности информационной системы
Наиболее актуальную количественную метрику для оценки эффективности ИТ-системы можно предложить на основании теории сложности. Сегодня существует значительное количество методов измерения сложности, но ни одно из них не является общепринятым (подробнее это рассмотрено в книге Мелани Митчел[83]). Это связано с тем, что теория сложности до сих пор находится в весьма ранней стадии своего становления.
Тем не менее, применительно к поставленной задаче теория сложности дает возможность построить систему измерения эффективности. Воспользуемся следующим определением:
Система является сложной, если в ней не хватает информации для эффективного описания текущего и прогнозирования будущего состояний.
Это означает, что законы функционирования системы и управления ею неизвестны. Соответственно, в таких системах всегда должна быть подсистема принятия решения на основе неполной информации.
Согласно определению ISO/ГОСТ[84], ИС – это система обработки информации, работающая совместно с организационными ресурсами, такими как люди, технические средства и финансы, которые обеспечивают и распределяют информацию. При этом обычно основной мотивацией к внедрению ИС, поддерживающей операционные процессы, является сокращение затрат на их выполнение. Согласно подходу, сформулированному во второй и третьей главах, основная цель организации, ведущей деятельность в непредсказуемой среде, – снижение неопределенности, что в конечном итоге и должно приводить к снижению затрат. Это коррелирует с точкой зрения новой институциональной теории, согласно которой взаимодействие агентов внутри фирмы эффективнее, чем взаимодействие на рынке, так как фирмы стремятся снизить неопределенность и, соответственно, транзакционные издержки[85]. Поскольку корпоративная ИС, по-прежнему понимаемая как сочетание технических и организационных ресурсов, является инструментом обеспечения такого внутрифирменного (а в современных условиях и межфирменного) взаимодействия, можно считать, что цель ее создания и развития – снижение неопределенности, которое, в свою очередь, ведет к снижению операционных затрат.
Неопределенность состояния системы характеризуется информационной энтропией.
Информационная энтропия — это мера неопределенности или непредсказуемости информации о системе.
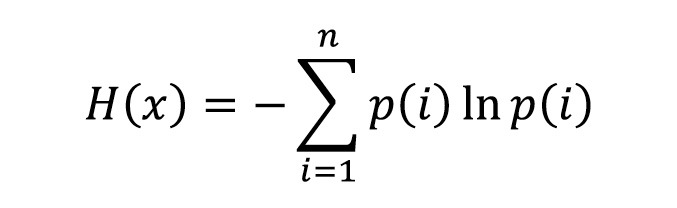
Пусть система реагирует на некоторое воздействие событием x, которое может иметь n возможных состояний xi , (i=1,…,n), а p(i) – вероятность конкретного состояния xi . Тогда, согласно классической формуле, информационная энтропия этой системы будет равна:
Использование энтропийных методов при проектировании новых моделей бизнес-процессов получило уже достаточно широкое распространение. Исследована информационная энтропия типовых моделей бизнес-процессов (последовательный, параллельный, цикл)[86], предложен метод сравнительной оценки существующей и проектируемой моделей бизнес-процесса на основе энтропии результатов их имитационного моделирования[87]. В книге Ивери Прангишвили рассмотрены некоторые энтропийные модели бизнес-процессов предприятий[88]. В работе[89] исследована адаптивность сетевых организационных структур на базе энтропии сети. Все эти методы опираются на свойства информационной энтропии:
1. Неотрицательность H(x)≥0.
2. Ограниченность H(x)≤ln n, где n – количество возможных состояний системы.
3. Если x, y независимы, то H(xy)=H(x)+H(y).
4. Если x, y зависимы, то H(xy)=H(x)+H(y|x)=H(y)+H(x|y).
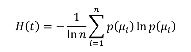
Первое и второе из перечисленных свойств позволяют построить метрику эффективности транзакционного (управленческого) процесса на основе энтропии его параметра. Пусть µ – некий характерный параметр процесса (например, время выполнения) и в зависимости от различных случайных факторов этот параметр может принимать значения μi, i=1, … , n, где n – количество возможных результатов процесса. Если за период времени t процесс выполнялся N раз, предлагаемая метрика будет иметь вид:
где p(μi ) – доля процессов с исходом μi в общем числе процессов, выполненных за указанный период времени.
Известно, что максимальным значением энтропии H(x)=ln n обладает равномерно распределенная случайная величина, а минимальным H(x)=0 величина, которая всегда принимает одно и то же значение (т.е. постоянная). Соответственно, состоянию наименьшей информированности о бизнес-процессе, когда все его возможные результаты равновероятны, соответствует значение H(t)=1, состоянию полной определенности, когда возможен только один результат, значение H(t)=0. Тем самым фиксируя изменение значения H(t) до, во время и после внедрения ИС можно судить о степени ее эффективности.
Отметим, что введение нормирующего множителя
в формулу делает метрику универсальной и позволяет использовать ее как для общей оценки зрелости исследуемого бизнес-процесса (чем ближе его метрика к 0, тем более предсказуемы его исходы), так и даже для сравнения эффективности различных процессов. Для лучшего понимания введенной метрики рассмотрим таблицу 5.1, в строках которой приведено количество исходов с результатом μi для различных опытов.


Для равномерно распределенной величины значение введенной метрики равно 1 независимо от количества испытаний (опыты 1 и 2). Из опытов 2–9 очевидно, что с уменьшением количества возможных вариантов, которые может принимать величина n, значение предложенной метрики также уменьшается, что соответствует сокращению неопределенности, связанной с возможными результатами процесса. Также отметим, что предложенная метрика одинакова для смещенных результатов (см. опыты 5 и 10). Это означает, что данная метрика не оценивает «качество» процесса с точки зрения соответствия его результатов некому целевому значению (в отличие от метода «шесть сигма»), а только его неопределенность.
Третье и четвертое свойства энтропии позволяют обобщить предложенную метрику на случай, когда ИС поддерживает одновременно несколько независимых или зависимых бизнес-процессов.
Пример использования энтропийного метода
В качестве примера использования предложенной метрики рассмотрим измерение эффективности бизнес-процесса (и соответствующей ИС) оплаты поставщикам, реализованного на НПО «Сатурн». Как следует из рис. 5.4, данный бизнес-процесс является одним из группы асинхронных процессов планирования и осуществления финансовых операций, взаимодействующих через план движения денежных средств. Информационная система в момент исследования поддерживала только те действия, которые на рисунке закрашены серым цветом.