Литмир - Электронная Библиотека

х= 12 л выпивки или 12 кг закуски.

Следовательно:

1) Было закуплено 12 л выпивки и 12 кг закуски.

2) Стоимость выпивки равна 12 х 20 = 240 у. д. ед., стоимость закуски – 12 х 10 = 120 у.д.ед.

3) Всего потрачено 240 + 120 = 360 у. д. ед.

113. Обозначим через х фактическую цену продажи партии товара. При этом цена его покупки будет . Если бы товар был куплен на 30 % дешевле, цена покупки составила . Продажа этого товара по цене на 60 % дороже цены покупки была бы равна в этом случае

Менеджмент. Учебник - _397.jpg

Итак, условие задачи можно записать следующим образом:

Менеджмент. Учебник - _398.jpg

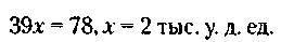
откуда

Менеджмент. Учебник - _399.jpg

Следовательно:

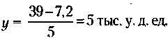
1) Партия товара была продана за 200 тыс. у. д. ед., а единица товара стоила

Менеджмент. Учебник - _400.jpg

2) Цена покупки партии товара равна

Менеджмент. Учебник - _401.jpg

114. Обозначим через х сумму, выделенную фирмой для закупки компьютеров, через у – равные количества компьютеров обоих видов (при первом варианте закупки); через z – количество компьютеров вида «МА» и w – вида «МБ» (при втором варианте закупки).

При этом условие задачи можно записать так: первый вариант закупки:

Менеджмент. Учебник - _402.jpg

второй вариант закупки:

Менеджмент. Учебник - _403.jpg

Из уравнения (1) следует, что общее количество закупленных компьютеров по первому варианту равно:

Менеджмент. Учебник - _404.jpg

Из уравнения (2) следует, что общее количество закупленных компьютеров по второму варианту равно:

Менеджмент. Учебник - _405.jpg

Менеджмент. Учебник - _406.jpg

По второму, более выгодному, варианту может быть закуплено компьютеров больше, чем по первому, на

Менеджмент. Учебник - _407.jpg

Иными словами, при закупке по второму варианту фирма дополнительно (по сравнению с первым вариантом) бесплатно получает на каждые 120 компьютеров еще один.

115. Обозначим через х, у, z количество купленных компьютеров, телефонов и столов соответственно.

Тогда условие задачи можно записать так:

Менеджмент. Учебник - _408.jpg

или после умножения левой и правой частей на 4:

Менеджмент. Учебник - _409.jpg

Вычитая (2) из (1), получим:

Менеджмент. Учебник - _410.jpg

откуда

Менеджмент. Учебник - _411.jpg

Из (3) следует, что, во-первых, х может быть равен только 2, так как z и x должны быть целыми положительными числами, во-вторых, х не может быть равен 1, так как при этом z становится равным 53, что противоречит условию (всего куплено 30 предметов), и, в-третьих, х не может быть больше 2, так как при этом z становится отрицательным.

Итак, х = 2 единицам.

Из (3) следует, что z = 90 – 37 x 2=16 единиц, из (2) следует, что у = 30 – 2 – 16 =12 единиц.

116. Обозначим через х и у стоимость единиц товара А и Б соответственно. Тогда условие задачи можно записать так:

Менеджмент. Учебник - _412.jpg

Решим систему из двух уравнений с двумя неизвестными, для чего умножим правую и левую часть уравнения (1) на 7, а уравнения (2) на 5:

Менеджмент. Учебник - _413.jpg

Вычитая второй результат из первого, получим:

Менеджмент. Учебник - _414.jpg

Из (1) следует, что

Менеджмент. Учебник - _415.jpg

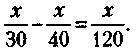
117. Обозначим через х и у соответствующее количество компонентов «Радость» и «Сладость» в 50 литрах коктейля. Тогда условие задачи можно будет записать так:

Менеджмент. Учебник - _416.jpg

Решим систему из двух уравнений с двумя неизвестными. Подставляя из (2) в (1), получим:

Менеджмент. Учебник - _417.jpg

откуда

Менеджмент. Учебник - _418.jpg

Из (2) следует, что

Менеджмент. Учебник - _419.jpg

Следовательно, в коктейле

Менеджмент. Учебник - _420.jpg

напитка «Радость»

Менеджмент. Учебник - _421.jpg

182
{"b":"210536","o":1}