Литмир - Электронная Библиотека

Менеджмент. Учебник - _373.jpg

Следовательно, в результате первой уценки цена домика будет установлена:

Менеджмент. Учебник - _374.jpg

а в результате второй:

Менеджмент. Учебник - _375.jpg

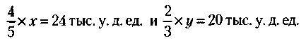
109. Обозначая через х стоимость грузовой автомашины, а через у стоимость станка, купленного компаньоном А, нетрудно установить, что стоимость легковой автомашины равна у, а стоимость станка, приобретенного компаньоном Б, составляет х – 2.

Из условия задачи также следует, что х + у = 24 и суммарная стоимость автомашины тоже равна 24 тыс. у. д. ед.

Следовательно, если бы легковая автомашина была в три раза дороже грузовой, то они должны были бы стоить соответственно 18 и 6 тыс. у. д. ед. и равенство затрат компаньонов можно было бы записать так:

Менеджмент. Учебник - _376.jpg

Откуда

Менеджмент. Учебник - _377.jpg

Итак:

1) Стоимость покупок: станок, купленный компаньоном А, – 17 тыс. у. д. ед., купленный компаньоном Б, – 5 тыс. у. д. ед.; стоимость грузовой автомашины – 7 тыс. у. д. ед., легковой – 17 тыс. у. д. ед.

2) Всего было потрачено: компаньоном А 17 + 7 = 24 тыс. у. д. ед., компаньоном Б 5 + 17 = 22 тыс. у. д. ед.

110. Обозначим через х торговую наценку (в долях от 1), через у – стоимость товара без наценки и через z – сумму комиссионных агенту по продаже. Тогда условие задачи можно записать так:

Менеджмент. Учебник - _378.jpg

Величину торговой наценки найдем из (1):

Менеджмент. Учебник - _379.jpg

Менеджмент. Учебник - _380.jpg

2) Из (2) следует, что стоимость оставшегося товара без торговой наценки (товар не продан) равна:

Менеджмент. Учебник - _381.jpg

а стоимость проданного товара без учета торговой наценки –

Менеджмент. Учебник - _382.jpg

Отсюда прибыль равна:

Менеджмент. Учебник - _383.jpg

3) Из условий задачи:

Менеджмент. Учебник - _384.jpg

Откуда z = 18 тыс. у. д. ед., а в процентах

Менеджмент. Учебник - _385.jpg

111. Обозначим через х стоимость всех кроватей, через у – всех туалетных столиков, а через z – стоимость одной кровати. Тогда условия покупки первой партии товара можно записать так:

Менеджмент. Учебник - _386.jpg

Если бы в первой партии было решено приобрести только туалетные столики, то выражение (*) приобрело бы следующий вид:

Менеджмент. Учебник - _387.jpg

Умножение левой части равенства на учитывает долю столиков, дополняющую покупаемое в первой партии количество до общего , а умножение на – увеличение количества столиков, пропорциональное уменьшению цены каждого.

Следовательно,

Менеджмент. Учебник - _388.jpg

откуда у = 30.

Подставляя это значение в (*), получим х = 30.

Обозначим через т стоимость одной кровати. Тогда один столик будет стоить z.

При этом исходя из условия задачи будет иметь место соотношение

Менеджмент. Учебник - _389.jpg

Подставляя значения х и у и решая относительно z, получим:

Менеджмент. Учебник - _390.jpg

Следовательно:

1) Общая стоимость закупленных кроватей и столиков в первой партии равна соответственно – из (*):

Менеджмент. Учебник - _391.jpg

а во второй партии:

Менеджмент. Учебник - _392.jpg

2) Стоимость кровати равна 3 тыс. у. д. ед., а стоимость туалетного столика

Менеджмент. Учебник - _393.jpg

3) Количество кроватей и столиков, закупленных в первой и второй партиях, соответственно равно:

в первой партии – кроватей = 2 единицы, столиков = 5 единиц; во второй партии – кроватей = 8 единиц, столиков =10 единиц.

Всего 10 кроватей и 15 столиков.

112. Обозначим через х общий объем выпивки в литрах или равный ему вес закуски в килограммах. Тогда суммарная стоимость выпивки будет 20х у. д. ед., а закуски – 10х у. д. ед. и общие затраты составят:

Менеджмент. Учебник - _394.jpg

Если бы эти затраты были равными для выпивки и закуски, то и на одно, и на другое пришлось бы по у. д. ед. Исходя из этого, условие задачи можно записать так:

Менеджмент. Учебник - _395.jpg

откуда

Менеджмент. Учебник - _396.jpg

181
{"b":"210536","o":1}