Литмир - Электронная Библиотека

Менеджмент. Учебник - _315.jpg

77. 0,80 х 0,80 х 0,60 - 0,38, т. е. 38 %.

78. Отгадывание 6 цифр из 49 допускает только одно правильное решение – ни в одной из шести вычеркнутых цифр нельзя ошибиться. При отгадывании пяти номеров разрешается допустить ошибку в одном (любом) из шести «правильных» номеров. При этом «правильный» номер заменяется одним из «неправильных», которых насчитывается 49 - 6 = 43. Число таких замен равно количеству пар чисел в диапазоне от 1 до 49. Так, цифра 1 может быть заменена на 7, 8, 9 и т. д., вплоть до 49. То же самое с цифрой 2 и т. д. до 6. Вот как это выглядит:

Менеджмент. Учебник - _316.jpg

Число таких пар замен равно 6 х 43 = 258. Следовательно, вероятность отгадать 5 цифр равна:

Менеджмент. Учебник - _317.jpg

1) Аналогичным путем рассчитывается вероятность отгадать 4 цифры:

Менеджмент. Учебник - _318.jpg

больше, чем 5 номеров.

2) 3 цифры: чем 5 номеров.

Менеджмент. Учебник - _319.jpg

79. В соответствии с правилами теории статистических решений необходимо свести условие задачи в следующую таблицу:

Менеджмент. Учебник - _320.jpg
Менеджмент. Учебник - _321.jpg

Наилучшим решением признается такое, при котором сумма произведений (время на число голосов) будет минимальной. В данном случае это решение «прямо».

80. В соответствии с теорией статистических решений общий результат Энди равен 0,5 х 50 + 0,5 х (-10) = 20 долларам. Поскольку этот результат положителен, решение Энди должно быть: «Вперед, за должником».

81. Задача решается методами теории игр с использованием принципа «рассчитывай на худшее». Условие задачи сводится в следующую таблицу:

Менеджмент. Учебник - _322.jpg

Вначале для каждого из решений находится худший результат, который записывается справа от таблицы. Затем из худших результатов выбирается лучший. В данном случае это 1000 у. д. ед. Решение, соответствующее этому результату, – «вернуться домой» является наилучшим.

82. Задача решается методами теории игр с использованием принципа «рассчитывай на худшее». Условие задачи сводится в следующую таблицу:

Менеджмент. Учебник - _323.jpg

При составлении таблицы мы рассуждали так. Если день рождения у Марины не сегодня и вы не принесете подарка, то положение будет нейтральным. Если у нее не день рождения и вы примчитесь с букетом, то максимум, чем вы рискуете, это подвергнуться проверке на трезвость. Если у нее действительно день рождения и вы вовремя вспомнили об этом, то заслужите искреннюю благодарность. Если же в этом случае вы не принесете ничего – вы человек пропащий.

Выражая результаты в очках, вы вынуждены пользоваться произвольными числами. Это, однако, не должно вас смущать: важно, чтобы они не противоречили жизненному опыту. Так, отсутствие подарка в день рождения не менее чем в 10 раз хуже противоположной ситуации (в этом нетрудно убедиться экспериментально).

Из таблицы по правилам, приведенным в решении задачи 81, находится лучший из худших результатов и соответствующее ему решение – «с цветами».

83. Обозначая среднюю скорость автомобиля через х, а расстояние между городами – l, можем записать, чему будет равно время, затраченное на поездку туда и обратно:

Менеджмент. Учебник - _324.jpg

откуда х = 48 км/ч.

84. Задача решается методами теории статистических решений. Условие задачи сводится в следующую таблицу:

Менеджмент. Учебник - _325.jpg

Цифры, оценивающие ожидаемый результат, получены из следующих соображений:

– при полете самолетом в случае тумана агент не потеряет день работы, который принесет 1500 у. д. ед., и получит у иногороднего клиента заказ по телефону, что даст еще 500 у. д. ед., итого 2000 у. д. ед.;

– если при полете самолетом будет ясная погода, агент успеет получить 1500 у. д. ед. дома и 3000 – от иногороднего клиента, итого 4500 у. д. ед.;

– в случае поездки поездом независимо от погоды агент получит у иногороднего клиента заказ на 3000 у. д. ед.

Расчеты, приведенные справа от таблицы, показывают, что наибольший среднеожидаемый результат соответствует решению «лететь самолетом».

85. Обозначим годовой доход Д, годовой страховой взнос Вс. Тогда по условию задачи можно написать:

Менеджмент. Учебник - _326.jpg

Откуда

Менеджмент. Учебник - _327.jpg

86. Обозначая прибыль ПР, выплаты страховых премий в год Всп, а затраты на организацию страховой деятельности Зсд, по условию задачи можно написать:

Менеджмент. Учебник - _328.jpg

Менеджмент. Учебник - _329.jpg

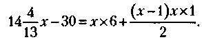
87. Обозначая искомое дневное задание через х и применяя формулу суммы членов арифметической прогрессии, можно записать условие задачи следующим образом:

Менеджмент. Учебник - _330.jpg

Отсюда следует, после преобразований, квадратное уравнение:

Менеджмент. Учебник - _331.jpg

Отсюда

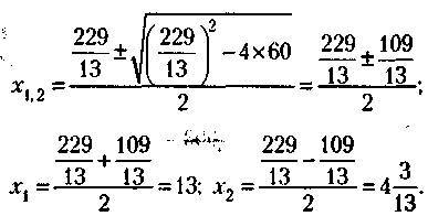
Менеджмент. Учебник - _332.jpg

Поскольку дневное задание – количество деталей – должно быть целым числом, искомое решение х1 = 13 деталей.

88. По формуле теории вероятностей

178
{"b":"210536","o":1}